大牛獨創(五):反激式開關電源設計方法及參數計算
發布時間:2013-12-16 責任編輯:eliane
【導讀】學習完上一節的變壓器磁學部分的計算,接下來最後一節我們將討論關於繞組線徑的選取,其中5.7章節RCD鉗位電路的設計是未完成的,筆者至今沒有很好的計算方法,大家如果有好的方法歡迎留言探討,相互學習。
5.6繞組線徑的選取
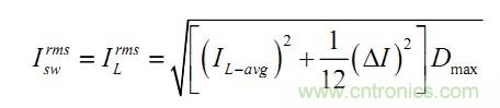
由於繞組的損耗來自銅線內阻造成的發熱,所以銅線截麵積應該按照繞組的有效值電流來算。對於初級繞組,其電流波形和開關管電流波形一致,所以其有效值電流和開關管有效值電流一樣,有以下公式計算:

根據散熱條件、銅線長度的不同,通常將銅線的電流密度選取在4-10A/mm2。由於變壓器繞組通常處於密閉環境中,一般將電流密度取在4-6A/mm2。有了這一參數,我們就可以根據銅線的有效值電流選取線徑了。
5.5.3中計算得到初級線圈有效值電流為0.256A,取電流密度為5A/mm2,則所需的導線截麵積為:

genjudierjiedetuidao,womendezhicijiraozudianliuhechujiraozudianliuzhijianfucongzabiguanxi,jicijiraozudianliudepingjunzhihebianhualiangdengyuchujiraozudianliupingjunzhihebianhualiangden倍,n為初次級匝比,而連續模式下次級電流的占空比等於1減去初級電流占空比,即有如下關係成立:

將以上關係式帶入初級繞組電流有效值的計算公式中得到次級繞組電流有效值關係式如下:

前期回顧:
大牛獨創(四):反激式開關電源設計方法及參數計算
大牛獨創(三):反激式開關電源設計方法及參數計算
大牛獨創(二):反激式開關電源設計方法及參數計算
大牛獨創(一):反激式開關電源設計方法及參數計算
[page]
對(dui)於(yu)電(dian)流(liu)較(jiao)大(da)時(shi),如(ru)果(guo)選(xuan)用(yong)單(dan)股(gu)線(xian)徑(jing)較(jiao)粗(cu)的(de)銅(tong)線(xian),由(you)於(yu)高(gao)頻(pin)電(dian)流(liu)下(xia)的(de)趨(qu)膚(fu)效(xiao)應(ying),會(hui)造(zao)成(cheng)電(dian)流(liu)集(ji)中(zhong)在(zai)導(dao)線(xian)邊(bian)緣(yuan),造(zao)成(cheng)銅(tong)線(xian)的(de)實(shi)際(ji)有(you)效(xiao)截(jie)麵(mian)積(ji)減(jian)小(xiao),內(nei)阻(zu)增(zeng)大(da),銅(tong)線(xian)損(sun)耗(hao)增(zeng)大(da)。這(zhe)種(zhong)情(qing)況(kuang)下(xia),一(yi)般(ban)選(xuan)用(yong)兩(liang)股(gu)或(huo)兩(liang)股(gu)以(yi)上(shang)的(de)線(xian)徑(jing)較(jiao)細(xi)的(de)銅(tong)線(xian)並(bing)繞(rao),已(yi)減(jian)小(xiao)趨(qu)膚(fu)效(xiao)應(ying)的(de)影(ying)響(xiang)。采(cai)用(yong)多(duo)線(xian)並(bing)繞(rao)的(de)另(ling)一(yi)個(ge)原(yuan)因(yin)是(shi),當(dang)銅(tong)線(xian)線(xian)徑(jing)過(guo)粗(cu)時(shi)。繞(rao)製(zhi)難(nan)度(du)會(hui)增(zeng)加(jia)。實(shi)際(ji)情(qing)況(kuang)下(xia),直(zhi)徑(jing)超(chao)過(guo)1mm的銅線繞製起來就比較麻煩了。
對於上述計算得到的銅線截麵積,如果我們選用AWG25線(銅線直徑0.4mm,外徑約0.46mm),那麼單股的銅截麵積為:

那麼大概需要五股這樣的銅線並繞。
5.7RCD鉗位電路的設計
開關管關斷瞬間,由於變壓器和PCB線路漏感無法耦合到次級,將在初級感應出一個很高的電壓尖峰,尖峰電壓和輸入直流電壓、次級反射電壓一起加在開關管上,為了防止尖峰電壓擊穿開關管,必須采取相應措施將這個尖峰電壓鉗位在一定的範圍內。
如圖七所示的R4、C5和D3,當開關關斷瞬間產生漏感尖峰時,尖峰電壓和次級反射電壓疊加,使得D3正偏導通,此時由於C4上的電壓不能突變;在開關閉合期間,D3是反偏的,此時存儲在C5中的部分能量通過R4釋放,因此初級側的電壓被鉗位在一個固定的值附近。
鉗(qian)位(wei)電(dian)路(lu)產(chan)生(sheng)的(de)功(gong)耗(hao)等(deng)於(yu)鉗(qian)位(wei)電(dian)容(rong)上(shang)的(de)電(dian)壓(ya)消(xiao)耗(hao)在(zai)鉗(qian)位(wei)電(dian)阻(zu)上(shang)的(de)功(gong)耗(hao),而(er)電(dian)容(rong)上(shang)的(de)電(dian)壓(ya)等(deng)於(yu)次(ci)級(ji)反(fan)射(she)電(dian)壓(ya)和(he)漏(lou)感(gan)能(neng)量(liang)導(dao)致(zhi)的(de)電(dian)壓(ya)變(bian)化(hua)量(liang),於(yu)是(shi)可(ke)以(yi)得(de)到(dao)下(xia)式(shi):

漏感的能量全部消耗在鉗位電路中的電阻上,因此有如下關係式:(暫無)
[page]
其中VC為電容上的平均電壓,T為開關周期。加上鉗位電路後,開關管關斷瞬間及整個關斷期間開關管承受的電壓為輸入直流電壓加上電容上電壓VC(忽略鉗位電路中二極管壓降),而VC等於次級反射電壓加上漏感能量導致的電容上升高的電壓。
前麵確定占空比時,我們說過,一般會為MOS管的電壓應力留20%左右的餘量,對於600V的開關管,我們留下了120V的餘量。鉗位電路加入後,漏感能量導致的電容上升高的電壓要占據餘量的一部分。
5.8輸出二極管的選取
輸出二極管為肖特基二極管或快恢複二極管,廣義上說,肖特基二極管也屬於快恢複二極管的一種。對於所承受的反偏電壓小於100V的情況,可以選用優先選用肖特基二極管,對於所承受的反偏電壓大於100V的情況,一般選用快恢複二極管。
shuchuerjiguangenjuqitongguodepingjundianliuhefanpianshichengshoudedianyalaixuanqu。zaidiyijiejibenfanjishibianhuanqideyuanlizhongyijingdechu,shuchuerjiguandepingjundianliudengyufuzaipingjundianliu。duiyutuqizhongzuidafuzaidianliu2A的情況,輸出二極管的最大平均整流電流理論上大於2A即可。
考(kao)慮(lv)到(dao)二(er)極(ji)管(guan)在(zai)高(gao)速(su)電(dian)流(liu)信(xin)號(hao)的(de)作(zuo)用(yong)下(xia),開(kai)關(guan)損(sun)耗(hao)比(bi)較(jiao)嚴(yan)重(zhong),加(jia)上(shang)第(di)三(san)節(jie)討(tao)論(lun)到(dao)的(de)二(er)極(ji)管(guan)上(shang)的(de)出(chu)現(xian)的(de)振(zhen)蕩(dang),會(hui)進(jin)一(yi)步(bu)加(jia)大(da)二(er)極(ji)管(guan)的(de)損(sun)耗(hao),所(suo)以(yi)在(zai)實(shi)際(ji)應(ying)用(yong)中(zhong),往(wang)往(wang)選(xuan)擇(ze)最(zui)大(da)平(ping)均(jun)整(zheng)流(liu)電(dian)流(liu)比(bi)最(zui)大(da)負(fu)載(zai)電(dian)流(liu)大(da)數(shu)倍(bei)的(de)輸(shu)出(chu)二(er)極(ji)管(guan),以(yi)減(jian)小(xiao)二(er)極(ji)管(guan)的(de)溫(wen)升(sheng)。
zaidierjiezhongtaolunguo,kaiguanguanbiheshi,shuchuerjiguanfanpianjiezhi,cishierjiguanshangchengshoudezuidafanpiandianyaweishuchudianyajiashangzuidachujifanshedianya,ruxiashi:

那麼這裏可以選取3A/40V或以上型號的肖特基二極管。圖七中所示的SK34即3A/40V的肖特基二極管。
相關閱讀:
PCB布局該這麼做!150W LED驅動電源拆解學習
http://m.0-fzl.cn/power-art/80021947
由簡到難,大師教你一步一步設計開關電源
http://m.0-fzl.cn/power-art/80021972
大盤點:詳解五種開關電源PWM反饋控製模式
http://m.0-fzl.cn/power-art/80021961
特別推薦
- 噪聲中提取真值!瑞盟科技推出MSA2240電流檢測芯片賦能多元高端測量場景
- 10MHz高頻運行!氮矽科技發布集成驅動GaN芯片,助力電源能效再攀新高
- 失真度僅0.002%!力芯微推出超低內阻、超低失真4PST模擬開關
- 一“芯”雙電!聖邦微電子發布雙輸出電源芯片,簡化AFE與音頻設計
- 一機適配萬端:金升陽推出1200W可編程電源,賦能高端裝備製造
技術文章更多>>
- 築基AI4S:摩爾線程全功能GPU加速中國生命科學自主生態
- 一秒檢測,成本降至萬分之一,光引科技把幾十萬的台式光譜儀“搬”到了手腕上
- AI服務器電源機櫃Power Rack HVDC MW級測試方案
- 突破工藝邊界,奎芯科技LPDDR5X IP矽驗證通過,速率達9600Mbps
- 通過直接、準確、自動測量超低範圍的氯殘留來推動反滲透膜保護
技術白皮書下載更多>>
- 車規與基於V2X的車輛協同主動避撞技術展望
- 數字隔離助力新能源汽車安全隔離的新挑戰
- 汽車模塊拋負載的解決方案
- 車用連接器的安全創新應用
- Melexis Actuators Business Unit
- Position / Current Sensors - Triaxis Hall
熱門搜索
微波功率管
微波開關
微波連接器
微波器件
微波三極管
微波振蕩器
微電機
微調電容
微動開關
微蜂窩
位置傳感器
溫度保險絲
溫度傳感器
溫控開關
溫控可控矽
聞泰
穩壓電源
穩壓二極管
穩壓管
無焊端子
無線充電
無線監控
無源濾波器
五金工具
物聯網
顯示模塊
顯微鏡結構
線圈
線繞電位器
線繞電阻



