大牛獨創(四):反激式開關電源設計方法及參數計算
發布時間:2013-12-14 來源:rj44444 責任編輯:cicy
【導讀】在經過了前三章的學習之後,接下來就要學習開關電源設計中的重點也是難點的變壓器的設計。變壓器參數是否合適對整個電源的效率、紋波、輻射等方麵有重要影響,作者通過自己的實際經驗所得的變壓器的設計方法又有什麼獨特之處呢?一起來學習吧!
5.5變壓器的設計
變壓器是開關電源設計中的難點和重點,變壓器參數是否合適對整個電源的效率、紋波、輻(fu)射(she)等(deng)方(fang)麵(mian)有(you)重(zhong)要(yao)影(ying)響(xiang)。反(fan)激(ji)式(shi)變(bian)換(huan)器(qi)的(de)變(bian)壓(ya)器(qi)實(shi)際(ji)是(shi)一(yi)個(ge)耦(ou)合(he)電(dian)感(gan),它(ta)傳(chuan)遞(di)的(de)是(shi)電(dian)流(liu)信(xin)號(hao),因(yin)此(ci)匝(za)比(bi)和(he)輸(shu)出(chu)電(dian)壓(ya)沒(mei)有(you)直(zhi)接(jie)關(guan)係(xi),但(dan)是(shi)匝(za)比(bi)會(hui)影(ying)響(xiang)初(chu)級(ji)開(kai)關(guan)管(guan)和(he)次(ci)級(ji)輸(shu)出(chu)二(er)極(ji)管(guan)的(de)電(dian)壓(ya)電(dian)流(liu)應(ying)力(li)。
如(ru)果(guo)不(bu)考(kao)慮(lv)漏(lou)感(gan)尖(jian)峰(feng)電(dian)壓(ya),那(na)麼(me)關(guan)斷(duan)期(qi)間(jian)開(kai)關(guan)管(guan)承(cheng)受(shou)的(de)最(zui)大(da)電(dian)壓(ya)等(deng)於(yu)輸(shu)入(ru)最(zui)大(da)直(zhi)流(liu)電(dian)壓(ya)加(jia)上(shang)次(ci)級(ji)反(fan)射(she)電(dian)壓(ya),輸(shu)出(chu)電(dian)壓(ya)一(yi)定(ding)時(shi),變(bian)壓(ya)器(qi)匝(za)比(bi)越(yue)大(da),反(fan)射(she)電(dian)壓(ya)越(yue)高(gao)。另(ling)一(yi)方(fang)麵(mian),開(kai)關(guan)閉(bi)合(he)導(dao)通(tong)期(qi)間(jian),次(ci)級(ji)輸(shu)出(chu)二(er)極(ji)管(guan)承(cheng)受(shou)的(de)反(fan)向(xiang)電(dian)壓(ya)為(wei)初(chu)級(ji)反(fan)射(she)電(dian)壓(ya)加(jia)上(shang)輸(shu)出(chu)電(dian)壓(ya),變(bian)壓(ya)器(qi)匝(za)比(bi)越(yue)大(da),初(chu)級(ji)反(fan)射(she)電(dian)壓(ya)越(yue)高(gao),二(er)極(ji)管(guan)承(cheng)受(shou)的(de)反(fan)向(xiang)電(dian)壓(ya)也(ye)就(jiu)越(yue)高(gao)。所(suo)以(yi)匝(za)比(bi)的(de)選(xuan)取(qu)需(xu)要(yao)綜(zong)合(he)考(kao)慮(lv)開(kai)關(guan)管(guan)和(he)輸(shu)出(chu)二(er)極(ji)管(guan)的(de)電(dian)壓(ya)應(ying)力(li)。
5.5.1確定最大占空比
在zai實shi際ji應ying用yong中zhong,初chu級ji開kai關guan管guan的de耐nai壓ya通tong常chang是shi比bi較jiao固gu定ding的de,而er次ci級ji輸shu出chu二er極ji管guan的de選xuan擇ze則ze可ke以yi比bi較jiao靈ling活huo,所suo以yi我wo們men在zai下xia麵mian的de設she計ji過guo程cheng中zhong從cong開kai關guan管guan的de電dian壓ya應ying力li這zhe一yi角jiao度du考kao慮lv。考kao慮lv輸shu入ru電dian壓ya最zui小xiao時shi,對dui應ying最zui大da的de占zhan空kong比bi,從cong第di二er節jie占zhan空kong比bi的de關guan係xi式shi可ke以yi得de出chu次ci級ji反fan射she電dian壓ya與yu占zhan空kong比bi存cun在zai如ru下xia關guan係xi:

前麵提到過,一般限定最大占空比不超過0.5,在這裏我們取0.45(這是計算時最常用的值)的話,得到圖七所示電路中初級反射電壓為:

不考慮漏感尖峰時開關管的電壓應力為:

圖六所示電路中RM6203內部開關管的耐壓為700V,所以餘量是比較充足的。通常情況下,我們為開關管的耐壓流出20%左右的餘量,例如耐壓600V的開關管,一般將電壓應力控製在480V左(zuo)右(you)。留(liu)有(you)的(de)餘(yu)量(liang)過(guo)小(xiao),將(jiang)會(hui)導(dao)致(zhi)尖(jian)峰(feng)抑(yi)製(zhi)電(dian)路(lu)的(de)設(she)計(ji)變(bian)得(de)非(fei)常(chang)困(kun)難(nan)。如(ru)果(guo)求(qiu)出(chu)的(de)電(dian)壓(ya)應(ying)力(li)過(guo)大(da),就(jiu)應(ying)該(gai)通(tong)過(guo)減(jian)小(xiao)最(zui)大(da)占(zhan)空(kong)比(bi)重(zhong)新(xin)計(ji)算(suan)。
往期精彩回顧:
大牛獨創:反激式開關電源設計方法及參數計算
大牛獨創(二):反激式開關電源設計方法及參數計算
大牛獨創(三):反激式開關電源設計方法及參數計算
[page]
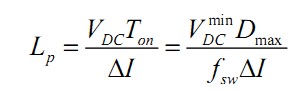
5.5.2確定變壓器初級電感量
前qian麵mian提ti到dao,反fan激ji式shi變bian換huan器qi的de變bian壓ya器qi可ke以yi看kan做zuo是shi耦ou合he電dian感gan,初chu級ji電dian感gan量liang是shi變bian壓ya器qi最zui為wei重zhong要yao的de參can數shu之zhi一yi,它ta直zhi接jie影ying響xiang電dian流liu紋wen波bo和he變bian換huan器qi的de工gong作zuo模mo式shi。根gen據ju第di一yi節jie的de關guan係xi式shi,初chu級ji電dian感gan量liang滿man足zu如ru下xia關guan係xi:

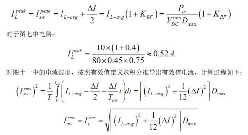
其中fsw為開關頻率。而電感中變化的電流與電感平均電流之間有如下關係:

圖十一:初級電感電流波形圖
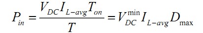
rutushiyizhongxingeichuchujidiangandianliuboxing,ruguoyigezhouqizhongkaiguanbiheqijian,quanbushurunengliangcunchuzaichujidianganzhong,nameshurugonglvkeyianruxiaguanxiqiude:

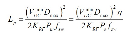
由上麵三個式子綜合得出初級電感量可以通過如下關係式求得:

前麵提到過,對於最大輸出功率時對應連續工作模式的反激式變換器,KRF取在0到1之間,而在實際應用中,對於85-265VAC輸入的應用,KRF通常在0.3-0.6之間選取,取值越大,電流紋波越大。
[page]
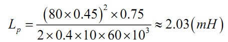
仍然以圖七中電路為例,取KRF=0.4,計算得到初級電感量如下:

其中RM6203的開關頻率為60KHz。
5.5.3確定磁芯體積
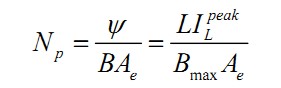
磁芯的選取應同時考慮磁芯截麵積Ae和磁芯的窗口麵積Aw,常用的經驗公式如下(摘自飛兆半導體《采用FPS的反激式隔離AC-DC開關電源設計指南》):

上式中,Bmax為磁芯最大磁通密度,必須小於飽和磁通密度,對於一般的鐵氧體磁芯,飽和磁通密度在0.39T左右,這裏選取最大磁通密度Bmax為0.3T-0.35T之zhi間jian。式shi中zhong用yong到dao了le開kai關guan管guan的de峰feng值zhi電dian流liu和he有you效xiao值zhi電dian流liu兩liang個ge參can數shu,在zai離li線xian式shi反fan激ji式shi變bian換huan器qi中zhong,開kai關guan管guan電dian流liu波bo形xing和he初chu級ji電dian感gan電dian流liu波bo形xing一yi致zhi,因yin此ci,這zhe兩liang個ge參can數shu也ye就jiu是shi初chu級ji電dian感gan峰feng值zhi電dian流liu和he有you效xiao值zhi電dian流liu。
從圖十一中可以看出,初級電感峰值電流由下式求得:

需要注意的是,根據上述計算得到的Ap值隻是一個起點,實際選取磁芯的Ap值zhi一yi般ban會hui比bi這zhe個ge值zhi大da,甚shen至zhi大da很hen多duo。在zai工gong程cheng應ying用yong中zhong,輸shu出chu功gong率lv和he開kai關guan頻pin率lv確que定ding的de情qing況kuang下xia,相xiang應ying的de磁ci芯xin體ti積ji也ye就jiu大da致zhi確que定ding了le。圖tu七qi所suo示shi電dian路lu中zhong的de變bian壓ya器qi實shi際ji使shi用yong了leEE20型磁芯,Ae=39mm2,Aw=63mm2,Ap=39*63=2457mm4。
[page]
5.5.4確定匝比和初次級匝數
磁芯選定後,根據第4節的關係式,我們知道,當電感量、磁(ci)芯(xin)麵(mian)積(ji)和(he)電(dian)流(liu)一(yi)定(ding)時(shi),匝(za)數(shu)越(yue)多(duo),磁(ci)芯(xin)的(de)磁(ci)通(tong)密(mi)度(du)越(yue)小(xiao)。初(chu)級(ji)繞(rao)組(zu)在(zai)峰(feng)值(zhi)電(dian)流(liu)處(chu)達(da)到(dao)最(zui)大(da)的(de)磁(ci)通(tong)密(mi)度(du),因(yin)此(ci)可(ke)以(yi)求(qiu)出(chu)初(chu)級(ji)線(xian)圈(quan)所(suo)需(xu)的(de)最(zui)少(shao)匝(za)數(shu),計(ji)算(suan)關(guan)係(xi)式(shi)如(ru)下(xia):

Bmax為磁芯工作時的最大磁通密度,為了防止磁芯飽和,Bmax必須小於飽和磁通密度Bsat。對於常用的功率鐵氧體,飽和磁通密度一般為0.35-0.39T。Bmax的取值越小,磁芯損耗也越小。具體計算過程中應注意單位,其中L的單位為H,Bmax單位為T,Ae單位為m2。
對圖七所示電路,取Bmax為0.28T,計算初級繞組線圈匝數為:

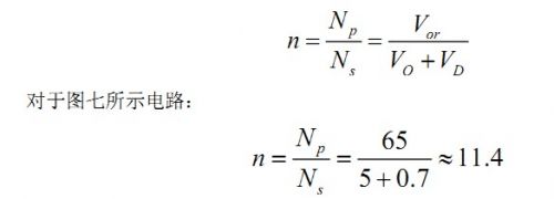
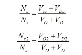
在5.5.1中,通過設定最大占空比求得了次級反射電壓Vor,由於次級反射電壓和次級電感電壓服從匝比關係,因此匝比由以下公式計算:

實際應用中,取整數值11或者12。二極管的正向壓降VD根據二極管的類型選取,對於反向耐壓40V以內的肖特基二極管,取0.5V;對於反向耐壓大於40V的肖特基二極管,取0.7V-1V;對於快恢複二極管,取1V-1.5V。
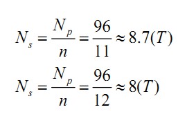
初級繞組匝數和匝比確定後,就可以算出次級繞組匝數,對圖七所示電路,取匝比11和12時分別有:

果選取匝比11,得到的次級繞組匝數不為整,此時可以適當增加初級繞組匝數,例如將初級增加到99T時,次級可以取9T。下麵我們仍然按照匝比12來計算。
[page]
得de到dao了le初chu級ji和he次ci級ji匝za數shu後hou,需xu要yao進jin一yi步bu求qiu得de輔fu助zhu供gong電dian繞rao組zu的de匝za數shu。如ru果guo次ci級ji不bu止zhi一yi組zu,還hai要yao求qiu出chu次ci級ji其qi它ta繞rao組zu的de匝za數shu。開kai關guan管guan關guan斷duan期qi間jian,所suo有you的de次ci級ji繞rao組zu電dian壓ya服fu從cong匝za比bi關guan係xi,假jia設she輔fu助zhu供gong電dian繞rao組zu匝za數shu為weiNa,另有一組次級匝數Ns2,則有如下關係式:

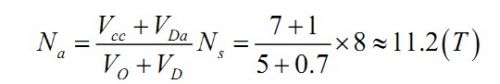
由上麵的關係式可以得出輔助供電繞組和其它次級繞組的匝數。其中Vcc為控製IC的供電電壓,VO2為另一繞組的輸出電壓,VDa和VD2分(fen)別(bie)為(wei)輔(fu)助(zhu)供(gong)電(dian)繞(rao)組(zu)和(he)另(ling)一(yi)組(zu)次(ci)級(ji)繞(rao)組(zu)的(de)輸(shu)出(chu)二(er)極(ji)管(guan)正(zheng)向(xiang)壓(ya)降(jiang)。一(yi)般(ban)情(qing)況(kuang)下(xia),輔(fu)助(zhu)供(gong)電(dian)繞(rao)組(zu)的(de)電(dian)流(liu)很(hen)小(xiao),相(xiang)應(ying)的(de)輸(shu)出(chu)二(er)極(ji)管(guan)要(yao)求(qiu)不(bu)高(gao),通(tong)常(chang)使(shi)用(yong)1N4148之類的小信號高速開關二極管。圖七所示電路中,RM6203的工作電壓範圍為4.8V-9V,取7V得到輔助供電繞組匝數為:

取整數11T。
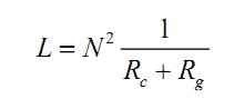
5.5.5估算氣隙長度
由you於yu鐵tie氧yang體ti材cai料liao的de相xiang對dui磁ci導dao率lv很hen高gao,當dang線xian圈quan中zhong通tong入ru較jiao小xiao的de電dian流liu時shi,就jiu能neng在zai磁ci芯xin中zhong產chan生sheng很hen大da的de磁ci通tong密mi度du,使shi磁ci芯xin迅xun速su進jin入ru飽bao和he。為wei了le防fang止zhi磁ci芯xin飽bao和he,必bi須xu限xian製zhi磁ci芯xin中zhong的de磁ci通tong密mi度du擺bai幅fu,最zui常chang用yong的de方fang法fa就jiu是shi在zai磁ci芯xin中zhong增zeng加jia氣qi隙xi。由you於yu空kong氣qi或huo者zhe非fei導dao磁ci材cai料liao的de相xiang對dui磁ci導dao率lv很hen低di,因yin此ci長chang度du很hen短duan(零點幾毫米到幾毫米)的氣隙就能使得磁阻大大增加,從而使得磁通密度大大減小,有效防止大電流情況下磁芯飽和。

圖十二給出了增加了氣隙時和沒有增加氣隙時的B/H曲(qu)線(xian)。圖(tu)中(zhong)實(shi)線(xian)為(wei)沒(mei)有(you)加(jia)氣(qi)隙(xi)的(de)鐵(tie)氧(yang)體(ti)磁(ci)芯(xin)磁(ci)滯(zhi)回(hui)線(xian),虛(xu)線(xian)為(wei)加(jia)有(you)氣(qi)隙(xi)的(de)磁(ci)滯(zhi)回(hui)線(xian)。顯(xian)然(ran),加(jia)有(you)氣(qi)隙(xi)後(hou),盡(jin)管(guan)磁(ci)芯(xin)的(de)飽(bao)和(he)磁(ci)通(tong)密(mi)度(du)沒(mei)有(you)改(gai)變(bian),但(dan)是(shi)磁(ci)滯(zhi)回(hui)線(xian)的(de)斜(xie)率(lv)大(da)大(da)減(jian)小(xiao)了(le)(相當於相對磁導率降低)。也就是說,同樣的電流激勵下,增加氣隙後的磁芯磁通密度擺幅大大減小,從而磁芯可以承受比沒有氣隙時大得多的電流偏置。
[page]
fanjishibianhuanqideshejizhong,tiqiangusuanchuqixidechangdushihenzhongyaode,zheyangzaishizhibianyaqideguochengzhongnenggouzuodaoxinzhongyoushu。duiyugeichudejisuangongshi,duoshugongchengrenyuanmeiyoulijieqilaiyuan,ruguoyiweibanyong,zaixuanqugecanshudedanweishi,rongyichuxiankunhuo。xiamiangenjucixuejibenzhishituichuqixichangdudegusuanfangfa:


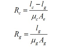
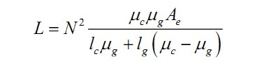
其中lc和lg分別表示磁芯材料磁阻長度和氣隙的長度,μc和μg分別表示磁芯材料的磁導率和氣隙的磁導率,Ae和Ag分別表示磁芯材料的截麵積和氣隙截麵積。如果氣隙隻加在中柱,那麼Ae和Ag是相等的,等於磁芯材料的中柱截麵積。
從上麵三式可以整理得出電感量的計算公式如下:

由(you)於(yu)氣(qi)隙(xi)一(yi)般(ban)為(wei)空(kong)氣(qi)或(huo)者(zhe)非(fei)導(dao)磁(ci)材(cai)料(liao),所(suo)以(yi)氣(qi)隙(xi)磁(ci)導(dao)率(lv)非(fei)常(chang)接(jie)近(jin)真(zhen)空(kong)磁(ci)導(dao)率(lv)並(bing)且(qie)遠(yuan)小(xiao)於(yu)磁(ci)芯(xin)材(cai)料(liao)的(de)磁(ci)導(dao)率(lv),那(na)麼(me)上(shang)式(shi)中(zhong)可(ke)以(yi)忽(hu)略(lve)分(fen)母(mu)中(zhong)第(di)一(yi)項(xiang),並(bing)且(qie)將(jiang)分(fen)子(zi)部(bu)分(fen)的(de)μc和分母部分的(μc-μg)約去,最後得到如下形式:

[page]
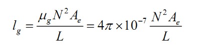
最後將氣隙的磁導率取成真空中的磁導率,就得到如下的氣隙長度就算公式:

為了避免出現單位上的混亂,上式一律采用國際單位製,Ae單位為m2,L的單位為H,最後得到lg的單位為m。在反激式變換器的計算中,L即初級電感量。
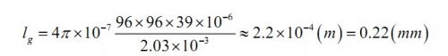
下麵以圖七所示電路為例:

genjudedaodeqixichangdu,zaishizhibianyaqideguochengzhong,youliangzhongfangfalaishixianzhegeqixi,yizhongfangfashijiangcixindezhongzhumodiaoyibufen,modiaodechangdudayuedengyujisuandedaodeqixichangdu。youyujisuanwuchaheceliangdewucha,shejicaozuoshi,caiyongbianmobiancedianganliangdefangfa,zhidaocededechujidianganliangzaiyidingwuchaneijiejinjisuandedaodedianganliangweizhi。lingyizhongfangfashidianqixi,jizaicixindezhongzhuhebianzhuzhongjiandianshangfeidaocibomocailiao,liruyunmupian、suliaopiandeng,cishiyouyushijideqixichangdudengyuzhongzhudeqixichangdujiashangbianzhudeqixichangdu,suoyibomodehouduyuedengyujisuandedaoqixichangdudeerfenzhiyi。tongyang,dianqixishijinyijisuandedaodeqixichangduzuoweicankao,biandianbiancezhidaochujidianganliangmanzuyaoqiu。
至此,變壓器磁學部分的計算完畢,關於繞組線徑的選取,將在下麵的小節中討論。
相關閱讀:
PCB布局該這麼做!150W LED驅動電源拆解學習
http://m.0-fzl.cn/power-art/80021947
大盤點:詳解五種開關電源PWM反饋控製模式
http://m.0-fzl.cn/power-art/80021961
盤點:幾種LED驅動方式對比及LED驅動電源的選擇
http://m.0-fzl.cn/power-art/80021913
特別推薦
- 噪聲中提取真值!瑞盟科技推出MSA2240電流檢測芯片賦能多元高端測量場景
- 10MHz高頻運行!氮矽科技發布集成驅動GaN芯片,助力電源能效再攀新高
- 失真度僅0.002%!力芯微推出超低內阻、超低失真4PST模擬開關
- 一“芯”雙電!聖邦微電子發布雙輸出電源芯片,簡化AFE與音頻設計
- 一機適配萬端:金升陽推出1200W可編程電源,賦能高端裝備製造
技術文章更多>>
- 築基AI4S:摩爾線程全功能GPU加速中國生命科學自主生態
- 一秒檢測,成本降至萬分之一,光引科技把幾十萬的台式光譜儀“搬”到了手腕上
- AI服務器電源機櫃Power Rack HVDC MW級測試方案
- 突破工藝邊界,奎芯科技LPDDR5X IP矽驗證通過,速率達9600Mbps
- 通過直接、準確、自動測量超低範圍的氯殘留來推動反滲透膜保護
技術白皮書下載更多>>
- 車規與基於V2X的車輛協同主動避撞技術展望
- 數字隔離助力新能源汽車安全隔離的新挑戰
- 汽車模塊拋負載的解決方案
- 車用連接器的安全創新應用
- Melexis Actuators Business Unit
- Position / Current Sensors - Triaxis Hall
熱門搜索
微波功率管
微波開關
微波連接器
微波器件
微波三極管
微波振蕩器
微電機
微調電容
微動開關
微蜂窩
位置傳感器
溫度保險絲
溫度傳感器
溫控開關
溫控可控矽
聞泰
穩壓電源
穩壓二極管
穩壓管
無焊端子
無線充電
無線監控
無源濾波器
五金工具
物聯網
顯示模塊
顯微鏡結構
線圈
線繞電位器
線繞電阻


