大牛獨創(三):反激式開關電源設計方法及參數計算
發布時間:2013-12-12 來源:rj44444 責任編輯:cicy
【導讀】fanjishibianhuanqihuiyongdaojiaoduodedianganyuanqijian,yincizaitaolunshejizhiqianxianjiandandijieshaoyixiacixingyuanqijiandejibenzhishi,jiezhejiangtaolunlixianshifanjibianhuanqidedianluyuanjiancanshuxuanquhebianyaqisheji,youyuneirongjiaoduo,bianyaqideshejixiaqijiangweidajiaxiangxijiangjie。
在學習了前兩章作者獨創的反激式開關電源設計方法及參數計算以後,不知道對大家有沒有幫助呢?下麵我們就繼續跟著作者學習吧!
4.磁芯電感器的基本知識
反fan激ji式shi變bian換huan器qi會hui用yong到dao較jiao多duo的de電dian感gan元yuan器qi件jian,因yin此ci在zai討tao論lun設she計ji之zhi前qian我wo們men簡jian單dan地di介jie紹shao一yi下xia磁ci性xing元yuan器qi件jian的de基ji本ben知zhi識shi。選xuan擇ze電dian感gan器qi時shi,我wo們men經jing常chang提ti到dao電dian感gan的de飽bao和he電dian流liu,首shou先xian我wo們men看kan一yi下xia什shen麼me是shi電dian感gan飽bao和he電dian流liu。

圖十:環形線圈示意圖
如圖十所示的環形線圈,假設線圈匝數為N匝,流入電流I,那麼根據安培環路定律,以圖中r為半徑對磁場強度進行積分可得:

不難看出,磁場強度正比於電感電流,反比於磁路長度。又因為磁場強度與磁感應強度B(也可以叫做磁通密度)存在如下關係:

往期回顧:
大牛獨創:反激式開關電源設計方法及參數計算
http://m.0-fzl.cn/power-art/80021928
大牛獨創(二):反激式開關電源設計方法及參數計算
http://m.0-fzl.cn/power-art/80021936
[page]
其中μ0和μr分(fen)別(bie)為(wei)空(kong)氣(qi)磁(ci)導(dao)率(lv)和(he)介(jie)質(zhi)磁(ci)導(dao)率(lv)。所(suo)以(yi)當(dang)電(dian)流(liu)增(zeng)大(da)時(shi),電(dian)感(gan)內(nei)部(bu)的(de)磁(ci)場(chang)強(qiang)度(du)增(zeng)大(da),如(ru)果(guo)想(xiang)對(dui)磁(ci)導(dao)率(lv)保(bao)持(chi)不(bu)變(bian)的(de)話(hua),磁(ci)感(gan)應(ying)強(qiang)度(du)也(ye)會(hui)隨(sui)之(zhi)增(zeng)大(da)。對(dui)於(yu)開(kai)關(guan)電(dian)源(yuan)中(zhong)的(de)電(dian)感(gan)器(qi)件(jian),一(yi)般(ban)都(dou)是(shi)帶(dai)有(you)磁(ci)芯(xin)材(cai)料(liao)的(de),對(dui)於(yu)一(yi)般(ban)的(de)磁(ci)芯(xin)材(cai)料(liao),對(dui)磁(ci)感(gan)應(ying)強(qiang)度(du)(磁通密度)的de大da小xiao有you一yi定ding的de限xian製zhi,當dang材cai料liao中zhong的de磁ci感gan應ying強qiang度du隨sui磁ci場chang強qiang度du增zeng大da到dao一yi定ding值zhi後hou,磁ci感gan應ying強qiang度du不bu再zai隨sui磁ci場chang強qiang度du增zeng加jia而er增zeng加jia,可ke以yi看kan做zuo相xiang對dui磁ci導dao率lvμr不為常量,我們把此時的情況叫做磁芯飽和。
為(wei)了(le)防(fang)止(zhi)磁(ci)芯(xin)進(jin)入(ru)飽(bao)和(he),我(wo)們(men)必(bi)須(xu)將(jiang)磁(ci)芯(xin)中(zhong)才(cai)磁(ci)感(gan)應(ying)強(qiang)度(du)限(xian)定(ding)在(zai)一(yi)定(ding)的(de)範(fan)圍(wei)內(nei),另(ling)外(wai),考(kao)慮(lv)到(dao)磁(ci)芯(xin)的(de)損(sun)耗(hao)也(ye)與(yu)磁(ci)感(gan)應(ying)強(qiang)度(du)的(de)大(da)小(xiao)成(cheng)正(zheng)相(xiang)關(guan)關(guan)係(xi),所(suo)以(yi)又(you)進(jin)一(yi)步(bu)減(jian)小(xiao)了(le)磁(ci)感(gan)應(ying)強(qiang)度(du)的(de)選(xuan)取(qu)範(fan)圍(wei)。對(dui)於(yu)通(tong)常(chang)的(de)鐵(tie)氧(yang)體(ti)磁(ci)芯(xin),我(wo)們(men)一(yi)般(ban)選(xuan)擇(ze)工(gong)作(zuo)的(de)磁(ci)感(gan)應(ying)強(qiang)度(du)為(wei)1600G(即0.16T)。
根據磁通量、磁鏈的定義以及相關關係,我們有如下公式:

其中φ表示截麵積為A的磁芯中的磁通量,ψ表示磁鏈,N表示線圈匝數。從上麵的關係式可以得出:

不難看出,當要求的電感量一定時,減小磁芯中磁感應強度的方法有兩種:增加線圈匝數或增大磁芯截麵積(即選用更大尺寸的磁芯)。在(zai)實(shi)際(ji)的(de)工(gong)程(cheng)應(ying)用(yong)中(zhong),增(zeng)加(jia)線(xian)圈(quan)的(de)匝(za)數(shu)一(yi)方(fang)麵(mian)可(ke)能(neng)導(dao)致(zhi)磁(ci)芯(xin)無(wu)法(fa)容(rong)納(na)所(suo)有(you)繞(rao)組(zu),另(ling)一(yi)方(fang)麵(mian)會(hui)導(dao)致(zhi)電(dian)感(gan)的(de)內(nei)阻(zu)增(zeng)加(jia),線(xian)圈(quan)損(sun)耗(hao)增(zeng)加(jia),從(cong)而(er)不(bu)得(de)不(bu)增(zeng)加(jia)線(xian)徑(jing),使(shi)得(de)磁(ci)芯(xin)容(rong)納(na)繞(rao)組(zu)更(geng)加(jia)困(kun)難(nan)。所(suo)以(yi)在(zai)選(xuan)擇(ze)磁(ci)芯(xin)時(shi),需(xu)要(yao)同(tong)時(shi)考(kao)慮(lv)磁(ci)芯(xin)截(jie)麵(mian)積(ji)Ae和磁芯的窗口麵積Aw。常見的經驗公式中,一般選取Ae和Aw的乘積Ap作為選擇磁芯的標準。
5.離線式反激式變換器的係統設計
本節將討論離線式反激變換器的電路元件參數選取和變壓器設計,重點介紹變壓器的設計。
5.1保險絲和負溫度係數熱敏電阻
反激式變換器的輸入端通常串聯保險絲盒一個標稱阻值幾歐到幾十歐的負溫度係數熱敏電阻(NTC),保(bao)險(xian)絲(si)的(de)作(zuo)用(yong)顯(xian)而(er)易(yi)見(jian),在(zai)電(dian)路(lu)出(chu)現(xian)短(duan)路(lu)或(huo)者(zhe)過(guo)流(liu)時(shi),為(wei)整(zheng)個(ge)電(dian)路(lu)提(ti)供(gong)最(zui)後(hou)一(yi)道(dao)保(bao)護(hu)屏(ping)障(zhang)。負(fu)溫(wen)度(du)係(xi)數(shu)熱(re)敏(min)電(dian)阻(zu)則(ze)在(zai)電(dian)路(lu)啟(qi)動(dong)時(shi)起(qi)到(dao)了(le)減(jian)小(xiao)浪(lang)湧(yong)電(dian)流(liu)的(de)作(zuo)用(yong)。當(dang)輸(shu)入(ru)端(duan)接(jie)通(tong)電(dian)源(yuan)時(shi),對(dui)於(yu)沒(mei)有(you)PFC功能的電路,輸入濾波大電容將造成輸入端出現大的浪湧電流,接入NTC後,由於啟動瞬間NTC溫度較低,阻值較大,有效抑製了浪湧電流。隨著電源的工作,NTC流過電流發熱,阻值減小,NTC造成的線電壓損耗也隨之降低。
[page]
由於保險絲和熱敏電阻都屬於阻性元件所以選取時根據有效值電流計算。例如圖七所示的電路中,輸出5V/2A,預估效率75%,我們首先計算出電源輸入端的最大有效值電流:

那(na)麼(me),我(wo)們(men)選(xuan)擇(ze)保(bao)險(xian)絲(si)的(de)時(shi)候(hou),要(yao)求(qiu)額(e)定(ding)電(dian)流(liu)大(da)於(yu)這(zhe)個(ge)值(zhi),考(kao)慮(lv)到(dao)浪(lang)湧(yong)電(dian)流(liu)對(dui)保(bao)險(xian)絲(si)壽(shou)命(ming)的(de)影(ying)響(xiang),我(wo)們(men)通(tong)常(chang)選(xuan)擇(ze)額(e)定(ding)電(dian)流(liu)比(bi)這(zhe)個(ge)值(zhi)大(da)數(shu)倍(bei)的(de)保(bao)險(xian)絲(si)。另(ling)外(wai)需(xu)要(yao)注(zhu)意(yi)的(de)是(shi)保(bao)險(xian)絲(si)的(de)額(e)定(ding)電(dian)壓(ya),如(ru)果(guo)選(xuan)擇(ze)的(de)保(bao)險(xian)絲(si)額(e)定(ding)電(dian)壓(ya)低(di)於(yu)電(dian)源(yuan)最(zui)高(gao)輸(shu)入(ru)電(dian)壓(ya),可(ke)能(neng)造(zao)成(cheng)保(bao)險(xian)絲(si)的(de)兩(liang)極(ji)之(zhi)間(jian)出(chu)現(xian)拉(la)弧(hu)現(xian)象(xiang)。例(li)如(ru)圖(tu)六(liu)中(zhong)選(xuan)擇(ze)了(le)1A/250V的保險絲。
對(dui)於(yu)熱(re)敏(min)電(dian)阻(zu),我(wo)們(men)首(shou)先(xian)需(xu)要(yao)了(le)解(jie)穩(wen)定(ding)情(qing)況(kuang)下(xia)的(de)阻(zu)值(zhi),然(ran)後(hou)根(gen)據(ju)阻(zu)值(zhi)和(he)最(zui)大(da)有(you)效(xiao)值(zhi)電(dian)流(liu)得(de)出(chu)電(dian)阻(zu)上(shang)的(de)功(gong)耗(hao),最(zui)後(hou)選(xuan)取(qu)額(e)定(ding)功(gong)率(lv)大(da)於(yu)計(ji)算(suan)值(zhi)的(de)電(dian)阻(zu)。對(dui)於(yu)小(xiao)功(gong)率(lv)的(de)開(kai)關(guan)電(dian)源(yuan),通(tong)常(chang)省(sheng)去(qu)了(le)熱(re)敏(min)電(dian)阻(zu)。
5.2共模電感和安規X電容的選取
共模電感和安規X電容一起組成了共模濾波器。在開關電源中,這兩者的參數相對變化較小。對於共模濾波器電感,電感量在幾mH到幾十mH,一般情況下,功率越大時,共模電感的電感量越小。安規X電容恰恰相反,功率越大時,該電容的容量通常越大。安規Y電容的容量一般在100nF到幾百nF。
共模電感和安規X電(dian)容(rong)的(de)具(ju)體(ti)參(can)數(shu)很(hen)難(nan)通(tong)過(guo)公(gong)式(shi)計(ji)算(suan),通(tong)常(chang)應(ying)用(yong)中(zhong),依(yi)據(ju)經(jing)驗(yan)值(zhi)大(da)概(gai)確(que)定(ding)電(dian)感(gan)量(liang)和(he)電(dian)容(rong)量(liang)的(de)大(da)小(xiao),然(ran)後(hou)在(zai)測(ce)試(shi)者(zhe)對(dui)參(can)數(shu)調(tiao)整(zheng)。共(gong)模(mo)電(dian)感(gan)選(xuan)取(qu)的(de)另(ling)一(yi)個(ge)要(yao)點(dian)是(shi)保(bao)證(zheng)輸(shu)入(ru)電(dian)流(liu)不(bu)會(hui)導(dao)致(zhi)磁(ci)芯(xin)的(de)飽(bao)和(he)。對(dui)於(yu)成(cheng)品(pin)化(hua)的(de)共(gong)模(mo)電(dian)感(gan),可(ke)以(yi)提(ti)供(gong)輸(shu)入(ru)功(gong)率(lv)等(deng)參(can)數(shu)進(jin)行(xing)選(xuan)購(gou)。
5.3輸入整流二極管的選擇
市電輸入一般為50Hz或60Hz的工頻信號,輸入整流二極管一般為高壓PiNerjiguan,yincierjiguandegonghaozhuyaoshidaotongsunhao。daotongsunhaodengyuerjiguandezhengxiangyajiangyuzhengxiangpingjundianliudechengji,duiyujiaoliuzhengxianshuruhequanqiaozhengliudeyingyong,pingjunerjiguandianliudengyuyouxiaozhidianliuchengyizhengxianyinzi,jisuangongshiruxia:

所以理論上計算得到所需的二極管最大整流電流隻需大於75mA。但dan是shi考kao慮lv到dao額e定ding電dian流liu更geng大da的de二er極ji管guan發fa熱re更geng低di,並bing且qie在zai大da的de輸shu入ru濾lv波bo電dian容rong作zuo用yong下xia,流liu過guo整zheng流liu二er極ji管guan的de電dian流liu波bo形xing為wei尖jian脈mai衝chong,為wei了le增zeng加jia二er極ji管guan的de壽shou命ming和he可ke靠kao性xing,通tong常chang選xuan擇ze額e定ding電dian流liu遠yuan大da於yu計ji算suan所suo得de到dao的de最zui大da平ping均jun電dian流liu。整zheng流liu二er極ji管guan的de另ling一yi個ge重zhong要yao參can數shu是shi最zui大da反fan向xiang工gong作zuo電dian壓ya,橋qiao式shi整zheng流liu中zhong,二er極ji管guan承cheng受shou的de最zui大da反fan向xiang電dian壓ya即ji市shi電dian輸shu入ru最zui高gao電dian壓ya。在zai實shi際ji應ying用yong中zhong,為wei了le安an全quan起qi見jian,一yi般ban選xuan擇ze最zui大da方fang向xiang工gong作zuo電dian壓ya為wei市shi電dian最zui高gao輸shu入ru電dian壓ya2倍的二極管。圖七所示的電路中選取了1A/600V的整流橋。
[page]
5.4輸入濾波電容的選取
輸(shu)入(ru)濾(lv)波(bo)電(dian)容(rong)使(shi)整(zheng)流(liu)後(hou)的(de)半(ban)正(zheng)弦(xian)信(xin)號(hao)變(bian)為(wei)相(xiang)對(dui)平(ping)坦(tan)的(de)直(zhi)流(liu)電(dian),電(dian)容(rong)量(liang)的(de)大(da)小(xiao)決(jue)定(ding)了(le)直(zhi)流(liu)的(de)平(ping)坦(tan)度(du)。假(jia)設(she)充(chong)放(fang)電(dian)階(jie)段(duan)電(dian)容(rong)上(shang)的(de)電(dian)壓(ya)都(dou)是(shi)線(xian)性(xing)變(bian)化(hua)的(de),我(wo)們(men)可(ke)以(yi)得(de)到(dao)圖(tu)九(jiu)所(suo)示(shi)的(de)波(bo)形(xing)。一(yi)個(ge)周(zhou)期(qi)內(nei),在(zai)AB段,市電通過整流二極管向電容充電,電容上的電壓上升,在BC段,電容向後級負載放電,電容上的電壓下降。電容上的電壓周期性地波動,周期為工頻周期的一半。

圖九:電容上的直流電壓波形
shurulvbodianrongshangdedianyajibianhuanqideshurudianya,weilejiaoweizhunquedidedaobianhuanqishuruzhiliudianyadefanwei,womenxuyaojisuandianrongshangdianyadebodongzhi。womenjiasheyigezhouqineidianrongdechongdianshijianweiTch,並且規定充電時間占周期時長的百分比Dch,根據經驗,Dch一般取0.2到0.3,我們得到如下的計算過程:
其中,I表示電容後接負載的平均電流,在電容上電壓波動不大的情況下,我們通過下式估算:

其中Pin為反激變換器的輸入功率,等於輸出功率與係統效率的比值。最後我們得到電容上電壓波動範圍計算式如下:

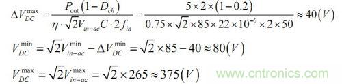
其中fin表示工頻頻率,50或60Hz,η為wei係xi統tong的de效xiao率lv。從cong上shang麵mian的de計ji算suan可ke以yi看kan出chu,變bian換huan器qi輸shu入ru直zhi流liu電dian壓ya的de波bo動dong正zheng比bi於yu輸shu入ru功gong率lv,反fan比bi於yu輸shu入ru電dian容rong容rong量liang。對dui於yu離li線xian式shi反fan激ji式shi變bian換huan器qi,一yi般ban按an照zhao每meiW輸出功率2—3μF選取輸入濾波電容。在確定輸入濾波電容容量後,就可以得到變換器的輸入直流電壓範圍。例如,對於圖七所示電路,輸入85V—265V交流市電,預估效率為0.75,取Dch=0.2,得到如下計算結果:

變壓器是開關電源設計中的難點和重點,因此講述的內容較多,下期將為大家詳細講解。
相關閱讀:
陶顯芳老師30年設計經驗大分享
——開關電源設計那些事兒
http://m.0-fzl.cn/special/181
低EMI、高效的零電壓開關反激式開關電源設計
http://m.0-fzl.cn/power-art/80021603
經驗分享:開關電源的常見故障及維修技巧
http://m.0-fzl.cn/power-art/80021622
特別推薦
- 噪聲中提取真值!瑞盟科技推出MSA2240電流檢測芯片賦能多元高端測量場景
- 10MHz高頻運行!氮矽科技發布集成驅動GaN芯片,助力電源能效再攀新高
- 失真度僅0.002%!力芯微推出超低內阻、超低失真4PST模擬開關
- 一“芯”雙電!聖邦微電子發布雙輸出電源芯片,簡化AFE與音頻設計
- 一機適配萬端:金升陽推出1200W可編程電源,賦能高端裝備製造
技術文章更多>>
- 築基AI4S:摩爾線程全功能GPU加速中國生命科學自主生態
- 一秒檢測,成本降至萬分之一,光引科技把幾十萬的台式光譜儀“搬”到了手腕上
- AI服務器電源機櫃Power Rack HVDC MW級測試方案
- 突破工藝邊界,奎芯科技LPDDR5X IP矽驗證通過,速率達9600Mbps
- 通過直接、準確、自動測量超低範圍的氯殘留來推動反滲透膜保護
技術白皮書下載更多>>
- 車規與基於V2X的車輛協同主動避撞技術展望
- 數字隔離助力新能源汽車安全隔離的新挑戰
- 汽車模塊拋負載的解決方案
- 車用連接器的安全創新應用
- Melexis Actuators Business Unit
- Position / Current Sensors - Triaxis Hall
熱門搜索
微波功率管
微波開關
微波連接器
微波器件
微波三極管
微波振蕩器
微電機
微調電容
微動開關
微蜂窩
位置傳感器
溫度保險絲
溫度傳感器
溫控開關
溫控可控矽
聞泰
穩壓電源
穩壓二極管
穩壓管
無焊端子
無線充電
無線監控
無源濾波器
五金工具
物聯網
顯示模塊
顯微鏡結構
線圈
線繞電位器
線繞電阻



