大牛獨創(二):反激式開關電源設計方法及參數計算
發布時間:2013-12-06 來源:rj44444 責任編輯:cicy
【導讀】shangyijiewomenxuexideshifanjibianhuanqimanzudejibenguanxishi,jiexialaijixuxuexigelishuchudefanjishibianhuanqihelixianshifanjibianhuanqideshejijijisuan。benwenshiwangyougenjuzijisuoxuezhishiheshijijingyansuode,ruyoubudang,huanyingzhizheng!希望對學習開關電源設計的朋友們有所幫助。
2.隔離輸出的反激式變換器電壓和電流關係
如果將圖一中的電感換成耦合電感,使輸入和輸出加在不同的繞組上,得到圖四a所示的電路。為了方便討論,我們假設L1和L2的線圈匝比為n,耦合係數為1。當開關閉合時,電源輸入端向電感L1中存儲能量,根據同名端的關係,L2中感應出上正下負的電壓,二極管D反偏。在開關關斷前的一瞬間,L1中的電流上升到最大值,在開關關斷瞬間,L1與輸入端沒有通路,為了阻止磁通量的突變,L2上的電壓反向,使得輸出二極管正偏導通,存儲在磁芯中的磁場能轉移到輸出電容和負載中。

圖四:隔離輸出的反激變換器原理圖
圖四ageichudedianlujiushilixianshifanjibianhuanqidechuxingle,zaishijiyingyongzhong,womenwangwangbakaiguanguanfangzaidianyuanshurudefuduan,bingqieshuchuweishangzhengxiafukanqilaiyebijiaoxiguan,yushidedaoletusib所示的反激式變換器基本結構。
首先我們討論圖四b所示電路中L1和L2中的電流,圖五給出了相應的波形圖。開關關斷瞬間,磁通量不能突變,所以L2中的電流等於關斷前一瞬間L1電流值的n倍(n為L1和L2線圈匝比)。開關閉合瞬間,為了阻止磁通量突變,L1中電流等於閉合前一瞬間L2中電流的1/n.。又因為在開關閉合期間和開關斷開期間L1和L2中電流都是線性變化的,所以我們可以得出如下的關係式:

從上麵的關係式進一步得到:

閱讀上一節:http://m.0-fzl.cn/power-art/80021928
[page]
上麵式子中的n=N1/N2,其中N1為L1的線圈匝數,N2為L2的線圈匝數。

圖五:隔離輸出的反激式變換器初次級電感電流波形
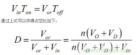
接下來討論L1和L2的電壓關係,圖六給出了相應的波形圖。開關閉合期間,根據同名端和匝比的關係,L2上感應出上負下正的電壓,大小為Vin/n;開關關斷期間,L2上的電壓等於輸出電壓加上二極管電壓正向壓降,極性為上正下負,設這個電壓為VL2,則根據同名端和匝比關係,L1上的感應電壓為nVL2,極性變為上負下正。我們把這個電壓叫做次級反射電壓Vor。

圖六:隔離輸出的反激變換器輸入輸出電壓波形
前(qian)麵(mian)提(ti)到(dao),為(wei)了(le)維(wei)持(chi)變(bian)換(huan)器(qi)的(de)穩(wen)定(ding)工(gong)作(zuo),開(kai)關(guan)閉(bi)合(he)期(qi)間(jian)電(dian)感(gan)上(shang)電(dian)壓(ya)與(yu)閉(bi)合(he)時(shi)間(jian)的(de)乘(cheng)積(ji)應(ying)等(deng)於(yu)開(kai)關(guan)斷(duan)開(kai)期(qi)間(jian)電(dian)感(gan)上(shang)電(dian)壓(ya)與(yu)斷(duan)開(kai)時(shi)間(jian)的(de)乘(cheng)積(ji)。對(dui)於(yu)耦(ou)合(he)電(dian)感(gan),我(wo)們(men)計(ji)算(suan)時(shi)將(jiang)開(kai)關(guan)閉(bi)合(he)和(he)斷(duan)開(kai)期(qi)間(jian)的(de)電(dian)壓(ya)全(quan)部(bu)這(zhe)算(suan)到(dao)初(chu)級(ji)來(lai)計(ji)算(suan)的(de)話(hua),就(jiu)有(you)如(ru)下(xia)關(guan)係(xi):

bunankanchu,duiyudangshurudianyazuidishi,zhankongbizuida。zaifanjishikaiguandianyuanzhong,zuidazhankongbishiyigehenzhongyaodecanshu,duiyulianxumoshidefanjishibianhuanqi,yibanqingkuangxia,zuidazhankongbixiandingzai0.5以內,超過0.5的話,容易出現次諧波振蕩。
[page]
不可忽略的是,實際工程中L1不可能和L2形成理想的全耦合,L1中有少量的磁通不能完全耦合到L2中,等效為L1上串聯一個電感量較小的電感,也就是常說的漏感Lleak。在開關斷開瞬間,這部分不能耦合到L2中的磁通也不能突變,於是Lleak試圖通過將電壓反向來續流,此時開關閉合,沒有續流通道,於是Lleak上感應出一個很高的尖峰電壓Vpk,這個電壓和上麵的反射電壓方向相同。在開關斷開的瞬間,電源輸入電壓、次(ci)級(ji)反(fan)射(she)電(dian)壓(ya)和(he)漏(lou)感(gan)尖(jian)峰(feng)電(dian)壓(ya)一(yi)起(qi)加(jia)在(zai)開(kai)關(guan)管(guan)上(shang),由(you)於(yu)漏(lou)感(gan)尖(jian)峰(feng)電(dian)壓(ya)通(tong)常(chang)很(hen)高(gao),能(neng)夠(gou)瞬(shun)間(jian)造(zao)成(cheng)開(kai)關(guan)管(guan)的(de)損(sun)壞(huai),實(shi)際(ji)電(dian)路(lu)中(zhong)一(yi)般(ban)要(yao)進(jin)行(xing)鉗(qian)位(wei)處(chu)理(li)。
3.離線式反激變換器的電路原理
圖七給出了一個輸出5V/2A的電源適配器用到的離線式反激變換器完整的原理圖,主芯片型號為RM6203(西安亞成微電子),芯片內部集成了完整的控製電路和一個800V的高壓功率BJT。下麵我們以這個電路為例分析外圍電路的基本作用,對於使用其他控製芯片的電路,原理上大同小異。

圖七:輸出5V/2A的離線式反激變換器
輸入的交流市電經過保險絲F1後進入由C3和T2構成的共模濾波器,濾除電網中的共模幹擾信號,然後經過D2全橋整流和電容C6濾波後得到較為平坦的直流電。直流電通過R2和R5加在內部開關功率管的基極,向基極注入電流,開關管的集電極(也就是芯片的OC引腳)有電流流過,初級繞組開始有電流流過。同時直流電通過R2和R5向電容C8開始充電,當C8上的電壓達到IC工作的啟動電壓時,IC開始工作。
IC進入正常工作後,在開關關斷期間,輔助供電繞組Na上感應出的電壓使D5導通,輔助繞組為IC供電,並將部分能量儲存在電容C8中,待下一周期開關導通期間,電容為IC供電。
圖七電路中,R4、C5和D3並聯在變壓器的初級繞組上,這就是常見的一種吸收漏感尖峰的電路結構,RCD吸收電路。當開關管關斷瞬間,初級線圈的漏感以及PCB線路的寄生電感感應出很高的尖峰電壓時,D3會正偏導通,由於電容C5上的電壓不能突變,於是尖峰電壓被箝位在一定的範圍內,保護開關管不被損壞。開關斷開期間C5上增加的能量會在開關閉合期間消耗在R4上,防止C5上的電壓不斷升高。
圖七中的電容C10用於設置IC內部的振蕩器工作頻率,C1並聯在初次級之間用於減小差模幹擾。R10和R11接在開關管發射極和初級地之間,當次級電流增大時,由第二節推出的關係可知,初級開關的峰值電流也會成比例增加,導致R10和R11上的電壓升高,IC通過檢測這個電壓判斷次級是否出現過流或者短路,如果是,IC將執行相應的保護動作。
[page]
接下來我們看次級電路。次級繞組Ns輸出後的基本結構和第二節討論的完全一致,增加的輸出LC濾波器L1和C7用於減小紋波,並聯在輸出二極管上的RC電路用於吸收輸出二極管上的尖峰。

圖八:輸出二極管的波形
在高速開關下,二極管導通瞬時,電流變化率很大,在導通瞬間,二極管呈現較大的正向壓降(如圖八b),又由於二極管結電容、次級漏感和PCB線路寄生電感的存在,二極管上可能會會出現振蕩(如圖八c)。正(zheng)向(xiang)電(dian)壓(ya)過(guo)衝(chong)或(huo)者(zhe)電(dian)壓(ya)的(de)振(zhen)蕩(dang)都(dou)會(hui)導(dao)致(zhi)二(er)極(ji)管(guan)的(de)損(sun)耗(hao)增(zeng)加(jia),在(zai)輸(shu)出(chu)電(dian)流(liu)較(jiao)大(da)時(shi),這(zhe)一(yi)損(sun)耗(hao)遠(yuan)遠(yuan)超(chao)過(guo)二(er)極(ji)管(guan)的(de)導(dao)通(tong)損(sun)耗(hao),造(zao)成(cheng)二(er)極(ji)管(guan)過(guo)熱(re)。為(wei)了(le)一(yi)定(ding)程(cheng)度(du)抑(yi)製(zhi)振(zhen)蕩(dang)或(huo)者(zhe)減(jian)小(xiao)過(guo)衝(chong),通(tong)常(chang)在(zai)二(er)極(ji)管(guan)上(shang)並(bing)聯(lian)RC吸收網絡(圖六所示的R1和C2),引入這一這一電路後,二極管的損耗被部分轉移到電阻上。
最後簡單討論反饋環路。通常的離線式反激變換器使用TL431加光耦的形式作為次級反饋電路。TL431的內部等效電路如圖九所示。它實際上包含了一個電壓基準源和一個誤差放大器。

圖九:TL431內部等效電路
分析圖七所示電路,當某種因素(如電網電壓波動、負載電流的增加等)導致輸出電壓降低時,由R9和R12得到的TL431的REF端電位降低,圖九所示的等效電路中BJT的基極電流相應減小,從而集電極電流減小,流過TL431陰極的電流也減小,光耦的輸入電流(即發光二極管電流)隨之減小,最終導致連接初級部分的光耦輸出端(光敏三極管集電極)電(dian)流(liu)減(jian)小(xiao),集(ji)電(dian)極(ji)電(dian)位(wei)升(sheng)高(gao)。至(zhi)此(ci),次(ci)級(ji)電(dian)壓(ya)減(jian)小(xiao)的(de)信(xin)號(hao)反(fan)饋(kui)到(dao)了(le)初(chu)級(ji),初(chu)級(ji)通(tong)過(guo)監(jian)測(ce)光(guang)耦(ou)輸(shu)出(chu)端(duan)的(de)集(ji)電(dian)極(ji)電(dian)位(wei)的(de)升(sheng)降(jiang)來(lai)判(pan)斷(duan)輸(shu)出(chu)電(dian)壓(ya)是(shi)降(jiang)低(di)還(hai)是(shi)升(sheng)高(gao)。如(ru)果(guo)降(jiang)低(di),初(chu)級(ji)將(jiang)通(tong)過(guo)增(zeng)大(da)開(kai)關(guan)管(guan)的(de)導(dao)通(tong)時(shi)間(jian)(對於PWM模式)或者開關頻率(對於PFM模式)來是輸出電壓穩定;反之亦然。
相關閱讀:
低EMI、高效的零電壓開關反激式開關電源設計
http://m.0-fzl.cn/power-art/80021603
經驗分享:開關電源的常見故障及維修技巧
http://m.0-fzl.cn/power-art/80021622
分享:簡單低成本的開關電源保護電路設計
http://m.0-fzl.cn/cp-art/80021655
反激式變壓器開關電源電路參數計算——陶顯芳老師談開關電源原理與設計
http://m.0-fzl.cn/power-art/80021774
特別推薦
- 噪聲中提取真值!瑞盟科技推出MSA2240電流檢測芯片賦能多元高端測量場景
- 10MHz高頻運行!氮矽科技發布集成驅動GaN芯片,助力電源能效再攀新高
- 失真度僅0.002%!力芯微推出超低內阻、超低失真4PST模擬開關
- 一“芯”雙電!聖邦微電子發布雙輸出電源芯片,簡化AFE與音頻設計
- 一機適配萬端:金升陽推出1200W可編程電源,賦能高端裝備製造
技術文章更多>>
- 算力爆發遇上電源革新,大聯大世平集團攜手晶豐明源線上研討會解鎖應用落地
- 築基AI4S:摩爾線程全功能GPU加速中國生命科學自主生態
- 一秒檢測,成本降至萬分之一,光引科技把幾十萬的台式光譜儀“搬”到了手腕上
- AI服務器電源機櫃Power Rack HVDC MW級測試方案
- 突破工藝邊界,奎芯科技LPDDR5X IP矽驗證通過,速率達9600Mbps
技術白皮書下載更多>>
- 車規與基於V2X的車輛協同主動避撞技術展望
- 數字隔離助力新能源汽車安全隔離的新挑戰
- 汽車模塊拋負載的解決方案
- 車用連接器的安全創新應用
- Melexis Actuators Business Unit
- Position / Current Sensors - Triaxis Hall
熱門搜索




