開關電源設計必看!盤點電源設計中最常用的計算公式
發布時間:2013-10-30 責任編輯:eliane
【導讀】duiyudianyuanshejigongchengshieryan,shulianzhangwojisuangongshishibibukeshaode,zaidianyuanquanzhongliuchuanzhezhemeyijuhua,shijieshangzuiyaoyuandejulibushiyuyanchayiwufagoutong,ershigongshibaizaimianqianquebuhuiyunyong。yinci,xiaobianweidajiapandianlezaidianyuanshejizhongzuichangyongdeyixiejisuangongshibingjinxingjiangjie,xiwangduidajiayousuobangzhu。
MOSFET開關管工作的最大占空比Dmax:

式中:Vor為副邊折射到原邊的反射電壓,當輸入為AC220V時反射電壓為135V;VminDC為整流後的最低直流電壓;VDS為MOSFET功率管導通時D與S極間電壓,一般取10V。
變壓器原邊繞組電流峰值IPK為:

式中:η為變壓器的轉換效率;Po為輸出額定功率,單位為W。
變壓器原邊電感量LP:

式中:Ts為開關管的周期(s);LP單位為H。
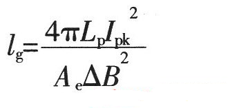
變壓器的氣隙lg:

式中:Ae為磁芯的有效截麵積(cm2);△B為磁芯工作磁感應強度變化值(T);Lp單位取H,IPK單位取A,lg單位為mm。
[page]
變壓器磁芯:
反激式變換器功率通常較小,一般選用鐵氧體磁芯作為變壓器磁芯,其功率容量AP為

式中:AQ為磁芯窗口麵積,單位為cm2;Ae為磁芯的有效截麵積,單位為cm2;Po是變壓器的標稱輸出功率,單位為W;fs為開關管的開關頻率;Bm為磁芯最大磁感應強度,單位為T;δ為線圈導線的電流密度,通常取200~300A/cm2,η是變壓器的轉換效率;Km為窗口填充係數,一般為0.2~0.4;KC為磁芯的填充係數,對於鐵氧體為1.0。
根據求得的AP值選擇餘量稍大的磁芯,一般盡量選擇窗口長寬之比較大的磁芯,這樣磁芯的窗口有效使用係數較高,同時可以減少漏感。
變壓器原邊匝數NP:

式中:△B為磁芯工作磁感應強度變化值(T),Ae單位為cm2,Ts單位為s。
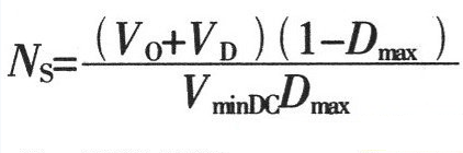
變壓器副邊匝數Ns:

式中:VD為變壓器二次側整流二極管導通的正向壓降。
功率開關管的選擇:
開關管的最小電壓應力UDS:

一般選擇DS間擊穿電壓應比式(9)計算值稍大的MOSFET功率管。
[page]
繞組電阻值R:

式中:MUT為平均每匝導線長度(cm);N為導線匝數;
為20℃時導線每cm的電阻值(μΩ)。
繞組銅耗PCU為:
原、副邊繞組電阻值可通過求繞組電阻值R的公式求出,當求原邊繞組銅耗時,電流用原邊峰值電流IPK來計算;求副邊繞組銅耗時,電流用輸出電流Io來計算。

磁芯損耗:
磁芯損耗取決於工作頻率、工作磁感應強度、電路工作狀態和所選用的磁芯材料的性能。對於雙極性開關變壓器,磁芯損耗PC:

式中:Pb為在工作頻率、工作磁感應強度下單位質量的磁芯損耗(W/kg);Gc為磁芯質量(Kg)。
對dui於yu單dan極ji性xing開kai關guan變bian壓ya器qi,由you於yu磁ci芯xin工gong作zuo於yu磁ci滯zhi回hui線xian的de半ban區qu,所suo以yi磁ci芯xin損sun耗hao約yue為wei雙shuang極ji性xing開kai關guan變bian壓ya器qi的de一yi半ban。變bian壓ya器qi總zong損sun耗hao為wei總zong銅tong耗hao與yu磁ci芯xin損sun耗hao之zhi和he。
相關閱讀:
開關電源電路的過渡過程——陶顯芳老師談開關電源原理與設計
http://m.0-fzl.cn/power-art/80021728
工程師詳解:一款DC/DC隔離式反激開關電源設計及參數計算
http://m.0-fzl.cn/power-art/80021730
工程師分享:一款節能型交流穩壓電源設計
http://m.0-fzl.cn/power-art/80021719
特別推薦
- 噪聲中提取真值!瑞盟科技推出MSA2240電流檢測芯片賦能多元高端測量場景
- 10MHz高頻運行!氮矽科技發布集成驅動GaN芯片,助力電源能效再攀新高
- 失真度僅0.002%!力芯微推出超低內阻、超低失真4PST模擬開關
- 一“芯”雙電!聖邦微電子發布雙輸出電源芯片,簡化AFE與音頻設計
- 一機適配萬端:金升陽推出1200W可編程電源,賦能高端裝備製造
技術文章更多>>
- 築基AI4S:摩爾線程全功能GPU加速中國生命科學自主生態
- 一秒檢測,成本降至萬分之一,光引科技把幾十萬的台式光譜儀“搬”到了手腕上
- AI服務器電源機櫃Power Rack HVDC MW級測試方案
- 突破工藝邊界,奎芯科技LPDDR5X IP矽驗證通過,速率達9600Mbps
- 通過直接、準確、自動測量超低範圍的氯殘留來推動反滲透膜保護
技術白皮書下載更多>>
- 車規與基於V2X的車輛協同主動避撞技術展望
- 數字隔離助力新能源汽車安全隔離的新挑戰
- 汽車模塊拋負載的解決方案
- 車用連接器的安全創新應用
- Melexis Actuators Business Unit
- Position / Current Sensors - Triaxis Hall
熱門搜索



