RTC生產注意事項及停振理論分析
發布時間:2024-05-22 責任編輯:lina
【導讀】晶振外置的RTC應用電路一般由RTC芯片、外置32k晶振、負載電容組成,最常見的電路原理圖大致如下,其中U1為RTC芯片,Y1為32k晶振,C1、C2為晶振負載電容。
晶振外置的RTC應用電路一般由RTC芯片、外置32k晶振、負載電容組成,最常見的電路原理圖大致如下,其中U1為RTC芯片,Y1為32k晶振,C1、C2為晶振負載電容。

生產中,引起RTC停振的原因大致如下:
1、當焊接晶振采用烙鐵手工焊接方式時,可能因為烙鐵溫度過高,碰觸到晶振本體而導致晶振內部石英晶片融化。
2、晶振內部石英晶片很薄,對來自外部的劇烈機械振動異常敏感,尤其是不可超聲波清洗與焊接。市麵上的一般超聲波設備頻率與32k晶振頻率接近,容易引起晶振晶片共振而損壞晶振。 3、有些廠家的生產員工在清洗晶振時,使用硬毛刷暴力拖拽晶振引腳,容易使其拉斷,造成晶振接觸不良與漏氣,導致RTC不走時。 4、有些廠家即使沒有洗板工序,同樣也會有停振現象出現,問題可能出現在設計PCB時晶振引腳過於接近,在焊接時,引腳周圍聚集鬆香或雜質過多,可能引起晶振並聯電阻過小而停振。 5、有(you)些(xie)工(gong)程(cheng)師(shi)在(zai)排(pai)版(ban)晶(jing)振(zhen)時(shi),會(hui)把(ba)晶(jing)振(zhen)本(ben)體(ti)接(jie)地(di),此(ci)時(shi)本(ben)地(di)接(jie)地(di)焊(han)盤(pan)不(bu)宜(yi)過(guo)大(da),不(bu)然(ran)焊(han)接(jie)時(shi)會(hui)因(yin)焊(han)盤(pan)吸(xi)熱(re)過(guo)多(duo),更(geng)多(duo)熱(re)量(liang)傳(chuan)送(song)到(dao)晶(jing)振(zhen)內(nei)部(bu),導(dao)致(zhi)晶(jing)振(zhen)損(sun)壞(huai)。 6、晶振排版布線時,晶振與RTC芯片距離不宜過長,應使晶振緊挨著RTC芯片。 7、晶振與負載電容共同維持了RTC的振蕩,當匹配電容過大時,同樣會出現晶振停振,我司推薦的負載電容一般不超過20pF。
RTC停振理論分析
RTC內部振蕩器電路如下圖所示:

除了石英晶振外,mp、mn、Rf、C1、C2器件全部集成於芯片之中,考慮到OSCIN和OSCOUT引腳到地的等效電阻R1、R2,上圖的等效電路結構如下圖:

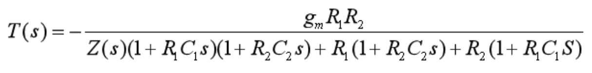
其s域的傳輸函數為:

取T(s)函數的實部為nRes(稱為振蕩負阻),並將C0、 L0、R0、Rf、gm1、C1、C2合適的參數代入,並假設R1=R2,以R1、R2為變量,畫出R1、R2和nRes的關係圖如下:

為了保證晶振可靠的振蕩,一般要求振蕩負阻大於5倍的晶振內串聯電阻R0。興威帆的RTC充分考慮了設計冗餘,在外置諧振電容值合適的情況下,能穩定可靠地振蕩工作。
文章來源:興威帆
免責聲明:本文為轉載文章,轉載此文目的在於傳遞更多信息,版權歸原作者所有。本文所用視頻、圖片、文字如涉及作品版權問題,請聯係小編進行處理。
推薦閱讀:
- 噪聲中提取真值!瑞盟科技推出MSA2240電流檢測芯片賦能多元高端測量場景
- 10MHz高頻運行!氮矽科技發布集成驅動GaN芯片,助力電源能效再攀新高
- 失真度僅0.002%!力芯微推出超低內阻、超低失真4PST模擬開關
- 一“芯”雙電!聖邦微電子發布雙輸出電源芯片,簡化AFE與音頻設計
- 一機適配萬端:金升陽推出1200W可編程電源,賦能高端裝備製造
- 如何使用工業級串行數字輸入來設計具有並行接口的數字輸入模塊
- 邊緣AI的發展為更智能、更可持續的技術鋪平道路
- 每台智能體PC,都是AI時代的新入口
- IAR作為Qt Group獨立BU攜兩項重磅汽車電子應用開發方案首秀北京車展
- 構建具有網絡彈性的嵌入式係統:來自行業領袖的洞見
- 車規與基於V2X的車輛協同主動避撞技術展望
- 數字隔離助力新能源汽車安全隔離的新挑戰
- 汽車模塊拋負載的解決方案
- 車用連接器的安全創新應用
- Melexis Actuators Business Unit
- Position / Current Sensors - Triaxis Hall





