【幹貨】非常經典的22個開關電源設計問題!
發布時間:2017-05-03 責任編輯:wenwei
【導讀】隨著電力電子技術的發展和創新,使得開關電源技術也在不斷地創新。目前,開關電源以小型、輕量和高效率的特點被廣泛應用幾乎所有的電子設備,是當今電子信息產業飛速發展不可缺少的一種電源方式。
問題一:我們小功率用到最多的反激電源,為什麼我們常常選擇65K或者100K(這些頻率段附近)作為開關頻率?有哪些原因製約了?或者哪些情況下我們可以增大開關頻率?或者減小開關頻率?
開關電源為什麼常常選擇65K或者100K左右範圍作為開關頻率,有的人會說IC廠家都是生產這樣的IC,當然這也有原因。每個電源的開關頻率會決定什麼?
應該從這裏去思考原因。還會有人說頻率高了EMC不好過,一般來說是這樣,但這不是必然,EMC與頻率有關係,但不是必然。想象我們的電源開關頻率提高了,直接帶來的影響是什麼?當然是MOSkaiguansunhaozengda,yinweidanweishijiankaiguancishuzengduole。ruguopinlvjianxiaolehuidailaishenme?kaiguansunhaoshijianxiaole,danshiwomendechunengqijiandanzhouqitigongdenengliangjiuyaozengduo,shibixuyaodebianyaqicixingyaogengda,chunengdianganyaogengdale。xuanquzai65K到100K左右就是一個比較合適的經驗折中,電源就是在折中合理化折中進行。
jiaruzaiteshuqingxingxia,shurudianyabijiaodi,kaiguansunhaoyijinghenxiaole,buzaihuzhediankaiguansunhaoma,nawomenjiukeyitigaokaiguanpinlv,qidaojianxiaocixingqijiantijidemude。
關鍵:如何選擇合適IC的開關頻率?主流IC的開關頻率為什麼是大概是這麼一些範圍?
開關頻率和什麼有關,說的是普遍情況,不是想鑽牛角尖好多IC還有什麼不同的頻率。更多的想發散大家思維去注意到這些問題!
我這裏想說的普遍情況,主要想提的是開關頻率和什麼有關,如何去選擇合適開關頻率,為什麼主流IC以及開關頻率是這麼多,注意不是一定,是普遍情況,讓新手區理解一般行為,當然開關電源想怎麼做都可以,要能合理使用。
1、你是如何知道一般選擇65或者100KHZ,作為開關電源的開關頻率的?(調研普遍的大廠家主流IC,這二個會比較多,當然也有一些在這附近,還有一些是可調的開關頻率)
2、又是如何在工作中發現開關電源開關頻率確實工作在65KHZ,或100KHZ的。(從設計角度考量,普遍電源使用這個範圍)
3、有兩張以上的測試65KHZ100KHZ頻率的圖片說明嗎?(何止二張圖片,毫無意義)
4、你是否知道開關電源可以工作在1.5HZ.(你覺得這樣談有必要,工作沒有什麼不可以,純熟鑽牛角尖,做技術切記鑽牛角尖,那你能談談為什麼普遍電源不工作在1.5HZ,說這個才有意義,你做出1.5HZ的電源純屬毫無意義的事情)
提醒:做技術人員切記鑽牛角尖,咱們不是校園研究派,是需要將理論與實踐現結合起來,做出來的產品才是有意義的產品!
問題二:LLC中zhong為wei什shen麼me我wo們men常chang在zai二er區qu設she計ji開kai關guan頻pin率lv?一yi區qu和he三san區qu為wei什shen麼me不bu可ke以yi?有you哪na些xie因yin素su製zhi約yue呢ne?或huo者zhe如ru果guo選xuan取qu一yi區qu和he三san區qu作zuo為wei開kai關guan頻pin率lv會hui有you什shen麼me後hou果guo呢ne?
LLC的原理是利用感性負載隨開關頻率的增大而感抗增大,來進行調節輸出電壓的,也就是PFM調製。並且MOS管開通損耗ZVS比ZCS小,一區是容性負載區,自然不可取。那麼三區,開關頻率大於諧振頻率,這個仍是感性負載區,按道理MOS實現ZVS沒有問題,確實如此。但是我們不能忽略副邊的輸出二極管關斷。也就是原邊MOS管關斷時,諧振電流並沒有減小到和勵磁電流相等,實現副邊整流二極管軟關斷。這也是我們通常也不選擇三區的原因。
我們不能隻按前人的經驗去設計,而要知道隻所以這樣設計是有其必然的道理的!
問題三:當我們反激的占空比大於50%會帶來什麼?好的方麵有哪些?不好的方麵有哪些?
反激的占空比大於50%意味著什麼,占空比影響哪些因素?第一:占空比設計過大,首先帶來的是匝比增大,主MOS管的應力必然提高。一般反激選取600V或650V以下的MOS管,成本考慮。占空比過大勢必承受不起。
第二點:很重要的是很多人知道,需要斜坡補償,否則環路震蕩。不過這也是有條件的,右平麵零點的產生需要工作在CCM模式下,如果設計在DCM模式下也就不存在這一問題了。這也是小功率為什麼設計在DCM模式下的其中一個原因。當然我們設計足夠好的環路補償也能克服這一問題。
當然在特殊情形下也需要將占空比設計在大於50%,單位周期內傳遞的能量增加,可以減小開關頻率,達到提升效率的目的,如果反激為了效率做高,可以考慮這一方法。
問題四:反激電源如果要做到一定的效率,需要從哪些方麵著手?準諧振?同步整流?
fanjideyidalieshijiushixiaolvwenti,gaishanxiaolvyounaxietujingkeyisikaodene?jianxiaosunhaoshibirande,sunhaodedianyoukaiguanguan,bianyaqi,shuchuzhengliuguan,zheshizhuyaodesangebufen。
開關管我們知道反激主要是PWM調製的硬開關居多,開關損耗是我們的一大難點,好在軟開關的出現看到了希望。反激無法向LLC那樣做到全諧振,那隻能朝準諧振去發展(部分時間段諧振),這樣的IC也有很多問世,我司用的較多是NCP1207,通過在MOS管關斷後,下一次開通前1腳檢測VCC電壓過零後,然後在一個設定時間後開通下一周期。
變壓器的損耗如何做到最小,完美使用的變壓器後麵問題會涉及到。
同步整流一般在輸出大電流情況下,副邊整流流二極管,哪怕用肖特基損耗依然會很大,這時候采用同步整流MOS替代肖特基二極管。有些人會說這樣成本高不如用LLC,或者正激呢,當然沒有最好的,隻有更合適的。
本人隻是點醒一些思考方向以及自己做項目中的理解
問題五:電源的傳導是怎麼形成的?傳導的途徑有哪些?常用的手段?電源的輻射受哪些東西影響?怎麼做大功率的EMC。
電源傳導測量方式是通過接收輸入端口L,N,PE來自電源內部的高頻幹擾(一般150K到30M)。
解決傳導必須弄清楚通過哪些途徑減弱端口接收到的幹擾。



如圖:一般有二種模式:L,N差模成分,以及通過PE地回路的共模成分。有些頻率是差共模均有。
通過濾波的方式:一般采用二級共模搭配Y電容來濾去,選擇的方式技巧也很重要,布板影響也很大。一般靠近端口放置低U電感,最好是鎳鋅材質,專門針對高頻,繞線方式采用雙線並繞,減少差模成分。後級一般放置感量較大,在4MH到10MH附近,隻是經驗值,具體需要與Y電容搭配。X電容濾差模也需要靠近端口,一般放在二級共模中間。放置Y電容,電容布板時走線需要加粗,不可外掛,否則效果很差。(這些隻是輸入濾波網絡上做文章)
當然也可以從源頭上下手,傳導是輻射耦合到線路中的結果,減弱了開關輻射也能對傳導帶來好處。影響輻射的幾處一般有MOS管開通速度,整流管導通關斷,變壓器,以及PFC電感等等。這些電路上的設計需要與其他方麵折中不做詳述。
一些經驗技巧:針對大功率的EMC一般需要增加屏蔽,立竿見影,屏蔽的部位一般有幾處選擇:
第一:輸入EMI電路與開關管間屏蔽,這對EMC有很大的作用,很多靠濾波器無效的采用該方法一般很有效果。
第二:變壓器初次級屏蔽,一般設計變壓器若有空間最好加上屏蔽。
第三:散熱器的位置能很好充當屏蔽,合理布板利用,散熱器接地選擇也很重要。
第四:判斷輻射源頭位置,一般有幾個簡單的方法,不一定完全準確,可以參考,輸入線套磁環若對EMC有好處,一般是原邊MOS管,輸出線套磁環若對EMC有效果,一般是副邊輸出整流管,尤其是大於100M的高頻。可以考慮在輸出加電容或者共模電感。
當然還有很多其他的細節技巧,尤其是布板環路方麵的,後麵對LAYOUT會單獨講解。
都是在做大功率EMC處理的一些有效經驗,歡迎交流學習!
問題六:我們選擇拓撲時需要考慮哪些方麵的因素?各種拓撲使用環境及優缺點?
設計電源的第一步不知道大家會想到什麼呢?我(wo)是(shi)這(zhe)麼(me)想(xiang),細(xi)致(zhi)研(yan)究(jiu)客(ke)戶(hu)的(de)技(ji)術(shu)指(zhi)標(biao)要(yao)求(qiu),轉(zhuan)換(huan)為(wei)電(dian)源(yuan)的(de)規(gui)格(ge)書(shu),與(yu)客(ke)戶(hu)溝(gou)通(tong)指(zhi)標(biao),不(bu)同(tong)的(de)指(zhi)標(biao)意(yi)味(wei)著(zhe)設(she)計(ji)難(nan)度(du)和(he)成(cheng)本(ben),也(ye)是(shi)對(dui)我(wo)提(ti)出(chu)的(de)問(wen)題(ti)有(you)很(hen)大(da)的(de)影(ying)響(xiang),選(xuan)擇(ze)拓(tuo)撲(pu)時(shi)根(gen)據(ju)我(wo)們(men)的(de)電(dian)源(yuan)指(zhi)標(biao)結(jie)合(he)成(cheng)本(ben)來(lai)考(kao)慮(lv)的(de),哪(na)常(chang)用(yong)的(de)幾(ji)種(zhong)拓(tuo)撲(pu)特(te)點(dian)在(zai)哪(na)呢(ne)?
這裏主要談隔離式,非隔離式應用有限,當然也是成本最低的。
反激特點:適用在小於150W,理論這麼說,實際大於75W就很少用,不談很特殊的情況。反激的有點成本低,調試容易(相對於半橋,全橋),主要是磁芯單向勵磁,功率由局限性,效率也不高,主要是硬開關,漏感大等等原因。全電壓範圍(85V-264V)效率一般在80%以下,單電壓達到80%很容易。
正激特點:功率適中,可做中小功率,功率一般在200W以下,當然可以做很大功率,隻是不常常這麼做,原因是正激和反激一樣單向勵磁,做大功率磁芯體積要求大,當然采用2個ge變bian壓ya器qi串chuan並bing聯lian的de也ye有you,注zhu意yi隻zhi談tan一yi般ban情qing形xing,不bu誤wu導dao新xin人ren。正zheng激ji有you點dian,成cheng本ben適shi中zhong,當dang然ran比bi反fan激ji高gao,優you點dian效xiao率lv比bi反fan激ji高gao,尤you其qi采cai用yong有you源yuan箝qian位wei做zuo原yuan邊bian吸xi收shou,將jiang漏lou感gan能neng量liang重zhong新xin利li用yong。
半橋:目前比較火的是LLC諧振半橋,中小功率,大功率通吃型。(一般大於100W小於3KW)。特點成本比反激正激高,因為多用了1個MOS管(雙向勵磁)和1個整流管,控製IC也貴,環路設計業複雜(一般采用運放,尤其還要做電流環)。優點:采用軟開關,EMC好,效率極高,比正激高,我做過960W LLC,效率可達96%以上(全電壓)(當然PFC是采用無橋方式)。其它半橋我不推薦,至少我不會去用,比較老的不對稱橋,很難做到軟開關,LLC成熟以前用的多,現在很少用,至少艾默生等大公司都傾向於LLC,跟著主流走一般都不會錯。
全橋:一般用在大於2KW以上,首推移相全橋,特點,雙向勵磁,MOS管應力小,比LLC應力小一半,大功率尤其輸入電壓較高時,一般用移相全橋,輸入電壓低用LLC。成本特別高,比LLC還多用2個MOS。這還不是首要的,主要是驅動複雜,一般的IC驅動能力都達不到,要將驅動放大,采用隔離變壓器驅動,這裏才是成本高的另一方麵。
推挽:應ying用yong在zai大da功gong率lv,尤you其qi是shi輸shu入ru電dian壓ya低di的de大da功gong率lv場chang合he,特te點dian電dian壓ya應ying力li高gao,當dang然ran電dian流liu應ying力li小xiao,大da功gong率lv用yong全quan橋qiao還hai是shi推tui挽wan一yi般ban看kan輸shu入ru電dian壓ya。變bian壓ya器qi多duo一yi個ge繞rao組zu,管guan子zi應ying力li要yao求qiu高gao,當dang然ran常chang提ti到dao的de磁ci偏pian磁ci也ye需xu要yao克ke服fu。這zhe個ge我wo真zhen沒mei用yong過guo,沒mei涉she及ji電dian力li電dian源yuan,很hen難nan用yong到dao它ta的de時shi候hou。
我隻是講一下對照特點,可仔細體會,一旦選擇了合適的拓撲,對性能指標,成本才能最優,歡迎大家賜教!
問題七:考慮電源成本時,我們要從哪裏下手呢?
shejidianyuan,chengbenpinggubibukeshao,muqiankehujiangdianyuandechengbenyadehendi,gedajingzhengduishouwubudouzaidajiagezhan,dajiadounengzuochudianyuanlai,jiukanshuizuodegengbianyi,cainengyingdedingdan,congnaxiefangmianrushouyouliyuwomenchenbenne:
第一:技術指標。電源技術指標越高,成本越高,如果你的電源成本高
了,那你可以打你的性能指標賣點,多了性能要求,電路增多了成本自然高。也是和客戶談話的資本。
第二:wuliaocaigouchengben,weishenmedagongsidianyuanlirungao?wufeishitamenyouzheyouyuedecaigoupingtai,caigouliangda,wuliaochengbendi,dangranchengbengengdi。ruguobukaolvcaigou,zuoweigongchengshibixunongqingchubutongwuliaoduiyingdechengben,birunengyongtiepian,shaoyongchajian,(比如插件電阻比貼片成本高),能用國產,不用台資,能用台資不用日係,這裏的價格差異不菲。(比如日係電容比國產電容價格高幾倍不止!!!當然質量也有差異;)
第三:影響成本的重要器件:變壓器,電感,MOS管,電容,光耦,二極管及其他半導體器件,IC等。不同的變壓器廠家繞出來的變壓器價格差異很大,MOS管應力,熱阻選擇夠用就行,IC方案的成本等等。
其它方麵導致成本問題:器件散熱器,大小合適,多了就是浪費錢。PCB布板,能用單麵板用成雙麵板就是浪費錢,PCB布板工藝,選擇合理的工藝加工成本低,生產效率高。
歡迎大家討論,如何做低成本,提高我們電源的競爭力!
問題八:電源的環路設計,電源哪些部分影響電源的環路?好的環路有哪些指標決定?
電dian源yuan的de環huan路lu設she計ji一yi直zhi是shi一yi個ge難nan點dian,為wei什shen麼me這zhe麼me說shuo,因yin為wei主zhu要yao影ying響xiang的de因yin素su太tai多duo,理li論lun計ji算suan很hen難nan做zuo到dao準zhun確que,仿fang真zhen也ye是shi基ji於yu理li想xiang化hua模mo型xing,在zai這zhe裏li隻zhi談tan關guan於yu環huan路lu設she計ji的de一yi些xie影ying響xiang因yin素su,從cong定ding性xing的de角jiao度du去qu理li解jie環huan路lu以yi及ji怎zen麼me去qu做zuo環huan路lu補bu償chang。
環路是基於輸入輸出波動時,需要通過反饋,環路相應告知控製IC去調節,維持輸出的穩定。電源環路一般都是串聯負反饋,有的是電壓串聯負反饋(CC模式下),有的是電流串聯負反饋(CV模式下)。
那有哪些地方會影響環路呢?電路中的零點以及極點。零點一般會導致增益上升,引起90度相移(右半平麵零點會引起-90度相移)。極點一般會導致增益下降,引起-90duxiangyi,zuobanpingmianjidianhuiyinqixitongzhendang。suoyiwomenxuyaojiezhulingdianjidianbuchangshouduanquhelitiaokongwomendehuanlu。duiyudipinbufen,weilemanzuzugouzengyiyibanyinrulingdianbuchang,duiyugaopinganraoyibanyinrujidianbuchangqudixiao,jianshaogaopinganrao。
環路穩定的原則是:
1.在穿越頻率處(即增益為零dB時的頻率),係統的相位餘量大於45度。
2.在相位達到-180度時增益的餘量大於-12dB.3.避免過快的進入穿越頻率,在進入穿越頻率附近的曲線斜率為-1。
針對一般反激電路:
1.產生零點的有輸出濾波電容 :可以使環路增益上升。(一般在中頻4K左右,對增益有好處,無需補償)
2.若工作在CCM模式下還會產生右半平麵零點。在高頻段,可采用極點補償。這個一般很難補償,盡量避免,讓穿越頻率小於右半平麵零點頻率(15K左右,隨負載變化會變化),選取。
3.負載會產生低頻極點。采用低頻零點去補償。
4.LC濾波器會產生低頻極點,需要采用零點補償。在心中要清楚哪些零極點是利是弊,針對性補償。
補償的電路,針對電源環路來說比較簡單,一般采用對運放采用2型補償,也有的會采用3型補償很少用。
這裏不具體計算了,因為這方麵教科書也很多,主要是理解為什麼是這樣,為什麼這麼做,計算隻是代值而已。歡迎大家指導!
問題九:對各種拓撲的軟開關形式有哪些?軟開關是如何實現的?
軟開關目前使用很頻繁,一來可以提升次效率,二來可以利於EMC。很多拓撲都開始利用軟開關了,就連反激如果為了做高效率也引入了準諧振來實現軟開關,這個在前麵問題已講過。LLC的軟開關在前麵問題也提過實現條件,具體實現過程沒有細講。這裏就分享下我對軟開關的理解。
實現條件及過程:利用軟開關需要二個元素,一個是C一個是L來實現諧振(當然也可以多諧振形式),諧振會產生正弦波,正弦波就能實現過零。如果是串聯諧振屬於電壓諧振,並聯諧振屬於電流諧振。
其次軟開關和硬開關的差異是:硬開關過程中電壓電流有重疊,軟開關要麼電流為零(ZCS)要麼電壓為零(ZVS)。MOS管的軟開關可以利用結電容或者並電容,然後串電感實現串聯ZVS,例如準諧振反激,有源箝位吸收電路,移向全橋的軟開關。也有LC並聯ZCS,不過用的很少,因為MOS管ZVS的損耗小於ZCS。LLC屬於串並聯式,不過我們利用的是ZVS區。(在死區的時候諧振電流過零,上管軟開通前,先給下管結電容充電,上管實現軟開通)
問題十:什麼樣的變壓器才算是最完美適用的?變壓器決定了什麼,影響了什麼?
設計變壓器是各種拓撲的核心點之一,變壓器設計的好壞,影響電源的方方麵麵,有的無法工作,有的效率不高,有的EMC難做,有的溫升高,有的極限情況會飽和,有的安規過不了,需要綜合各方麵的因素來設計變壓器。
設計變壓器從哪裏入手呢?一般來說根據功率來選擇磁芯大小,有經驗的可參考自己設計過的,沒經驗的隻能按照AP算法去算,當然還要留有一定的餘量,最後實驗去檢驗設計的好壞。
一般小功率反激推薦的用的比較多EE型,EF型,EI型,ER型,中大功率PQ的(de)用(yong)的(de)比(bi)較(jiao)多(duo),這(zhe)裏(li)麵(mian)也(ye)有(you)每(mei)個(ge)人(ren)的(de)習(xi)慣(guan)以(yi)及(ji)不(bu)同(tong)公(gong)司(si)的(de)平(ping)台(tai)差(cha)異(yi),功(gong)率(lv)很(hen)大(da)的(de),沒(mei)有(you)適(shi)合(he)的(de)磁(ci)芯(xin),可(ke)以(yi)二(er)個(ge)變(bian)壓(ya)器(qi)原(yuan)邊(bian)串(chuan)副(fu)邊(bian)並(bing)的(de)方(fang)式(shi)來(lai)做(zuo)。
butongtuopuduibianyaqideyaoqiuyebuyiyang,birufanji,xuyaokaolvdeshixuyaogongzuozaishenmemoshixia,ganliangruhetiaojieshizhong。youqishiduolushuchuyidingyaozhuyifuzaitiaozhenglvmanzuxuqiu,ouhedexiaoguoyaohao,birucaiyongbingrao,junyunraozhi,yijifubianzashujinkenengzengduo。MOS管耐壓決定匝比,怎麼選取合適的占空比,選取多大的Bmax(一般小於0.35,當然0.3更好,即時短路也不會飽和太嚴重)有的還需要增加屏蔽來整改EMC,原副邊屏蔽一般加2層,外屏蔽1層就好。
大功率變壓器一般更多的是關注損耗,需要銅損和磁損達到平衡,還要考慮到風冷自然冷,電流密度多大合適,功率稍大(大於150W)的一般電流密度相對取小些(3.5-4.5),功率小的(5.0-7.0)。
還要清楚電源過的什麼安規,擋牆是不是足夠,層間膠帶是否設置合理也是不可以忽視的,一旦要做認證去改變壓器也是影響進度的。
好的變壓器一定兼顧以上的方方麵麵,變壓器的好壞,對整個電源性能至關重要,有好的經驗也歡迎大家分享!
問題十一:我們真的需要到迷戀設計工具,依賴仿真的地步嗎?
電源的設計工具主要用在以下幾個方麵:1.選擇磁芯及設計變壓器 2.環路仿真設計 3.主功率拓撲仿真4.模擬電路仿真 5.熱仿真(針對大功率)6.計算工具(計算書)等等。
對dui於yu新xin人ren來lai說shuo,我wo給gei的de建jian議yi少shao用yong工gong具ju,多duo計ji算suan,自zi己ji把ba握wo設she計ji的de過guo程cheng,因yin為wei工gong具ju是shi人ren做zuo的de,不bu同tong人ren的de設she計ji習xi慣guan差cha異yi,不bu能neng用yong一yi個ge固gu定ding的de設she計ji模mo式shi來lai設she計ji不bu同tong的de電dian源yuan。
有些仿真可以與設計相結合:比如環路設計好後是很難直接滿足設計需求的,仿真可以在試驗前很好驗證,但仿真也不是完全和試驗一樣,至少不會差太遠。
熟練運用Mathcad和Saberyeshibiyaode,zhishihenduowomenxuyaonongqingyuanlidecengmian,bagongjuzhixuyaodangzuojisuanqilaishiyong,gengkuaisufangbiangenggaoxiaolaimanzuwomenshejijiuhao,xiangchunyilaigongjulaishejidianyuan,wuyishizourujidawuqu。dajiazenmerenweine?
問題十二:評判一塊電源板LAYOUT好壞有哪些地方能一陣見血發現?
什麼樣的PCB是一塊好的PCB,至少要滿足以下一個方麵:1.電性能方麵幹擾小,關鍵信號線及底線走的合理,各方麵性能穩定
(前提是電路無缺陷)。2.利於EMC,輻射低,環路走的合理。3.滿足安規,安規距離滿足要求。4.滿足工藝,量產可生產性,以及減小生產成本。5.美觀,布局規則有序(器件不東倒西歪),走線漂亮美觀,不七彎八繞的。
如何才能做到以上幾點,分享我的布板經驗:
1.布局前,了解清楚電源的規格書,電源的規格,有無特殊要求,以及要過的安規標準。
結構輸入條件是不是準確,以及風道的確認,輸入輸出端口的確認,以及主功率流向。
工藝路線選取,根據器件的密度,以及有無特殊器件,選擇相對應工藝路線。
2.bujuzhong,zhuyihelidebuju,baozhengsidahuanlujinkenengxiao,tiqianyupanhouxuzouxianshifouhaozou。bianyaqidebaifangjibenjuedinglezhengtidebuju,yidingyaoshenzhong,fangdaozuijiaweizhi。EMI部(bu)分(fen)的(de)布(bu)局(ju)流(liu)向(xiang)清(qing)晰(xi),與(yu)其(qi)它(ta)主(zhu)功(gong)率(lv)部(bu)分(fen)有(you)清(qing)晰(xi)的(de)隔(ge)離(li)帶(dai)。減(jian)少(shao)受(shou)到(dao)主(zhu)功(gong)率(lv)開(kai)關(guan)器(qi)件(jian)的(de)幹(gan)擾(rao)。各(ge)吸(xi)收(shou)回(hui)路(lu)的(de)麵(mian)積(ji)盡(jin)可(ke)能(neng)小(xiao),散(san)熱(re)器(qi)的(de)長(chang)度(du)以(yi)及(ji)位(wei)置(zhi)要(yao)合(he)理(li),不(bu)擋(dang)風(feng)道(dao)。
3.走線部分,輸入EMI電路的走線是否滿足安規,原副邊距離,輸入輸出對大地的距離都要滿足安規。走線的粗細是否滿足足夠的電流大小,關鍵信號(例如驅動信號,采樣信號,地線是否合理),驅動信號不要幹擾敏感信號(高頻信號);采樣信號是否采樣準確,是否會受到幹擾;地線是否拉得合理(有時需要單點接地,有時需要多點接地跟實際需要有關),主功率地和信號地嚴格區分開,原邊芯片地從采樣電阻取,不要從大電解取(尤其是采樣電阻和大電解地距離遠時),VCC的地前級地回大電解,二級電容地接芯片,反饋信號也單點接IC,地單點接IC。散熱器的地必須接主功率地,不能接信號地等等很多的細節要求。
這隻是我想到什麼寫道什麼,有點亂,但每句話都是重點,值得細細品味,歡迎大家交流學習!
問題十三:電源的元器件你懂多少?MOS管結電容多大,對哪些有影響?RDS跟溫度是什麼關係?肖特基反向恢複電流影響什麼?電容的ESR會帶來哪些影響?
電源中的設計的器件類型很多,主要有半導體器件如:MOS管,三極管,IC,運放,二極管,光耦等;磁性器件:電感,變壓器,磁珠等;電容:Y電容,X電容,瓷片電容,電解電容,貼片電容等;每種器件都有其規格,極限參數。
常規的參數在我們選型很容易把握,例如選取MOS管(guan),耐(nai)壓(ya)參(can)數(shu)肯(ken)定(ding)會(hui)考(kao)慮(lv),額(e)定(ding)電(dian)流(liu)也(ye)會(hui)考(kao)慮(lv),導(dao)通(tong)電(dian)阻(zu)我(wo)們(men)會(hui)考(kao)慮(lv),但(dan)還(hai)有(you)一(yi)些(xie)寄(ji)生(sheng)參(can)數(shu)以(yi)及(ji)一(yi)些(xie)隨(sui)溫(wen)度(du)變(bian)化(hua)特(te)性(xing)的(de)參(can)數(shu)卻(que)很(hen)少(shao)去(qu)注(zhu)意(yi),或(huo)者(zhe)隻(zhi)有(you)在(zai)發(fa)現(xian)問(wen)題(ti)的(de)時(shi)候(hou)才(cai)會(hui)去(qu)找(zhao)。導(dao)通(tong)電(dian)阻(zu)Rds(on)隨溫度升高其阻值是變大的,設計MOS管損耗時要考慮到其工作的環境溫度。結電容影響到我們的開通損耗,也會影響到EMC。
肖特基二極管耐壓,額定電流一般很好注意,有些參數例如導通壓降在溫度升高時會減小,反向恢複時間短,不過漏電流大(尤其是考慮到高溫時漏電流影響就更大了),寄生電感會引起關斷尖峰很高。
電容一個重要參數ESR,在計算紋波時通常會考慮,ESR一般與C的關聯是很大的,不過不同廠家的品質因素影響也是很巨大,一定要具體分清楚。
一般估算公司可參考:ESR=10/(C的0.73次方),電容在高溫時壽命會縮短,低溫時容量會減小,漏電流也會增加等等;
當然器件在特殊情形表現出來的特性差異是值得我們思考的問題,請大家多多思量,對於我們解決特殊情況下的問題非常有幫助。
當然器件在特殊情形表現出來的特性差異是值得我們思考的問題,請大家多多思量,對於我們解決特殊情況下的問題非常有幫助。
問題十四:你對磁性材料了解多少,磁環和磁芯有哪些差異?低磁環和高磁環用在什麼情況?
磁性器件對開關電源的重要性不言而喻,可以說是電源的心髒部位。 磁性材料的種類也繁多,常用來做變壓器的一般是鐵氧體材料,主要是價格便宜,開關頻率最大 能做到1000K,夠一般情況下使用了。鐵氧體磁芯既可以做主變壓器也可以做電感,如PFC電感(一般鐵矽鋁材質居多,性價比高),儲(chu)能(neng)電(dian)感(gan)也(ye)可(ke)以(yi)。當(dang)然(ran)在(zai)要(yao)求(qiu)高(gao)的(de)情(qing)況(kuang)下(xia),尤(you)其(qi)是(shi)大(da)功(gong)率(lv)一(yi)般(ban)用(yong)磁(ci)環(huan),主(zhu)要(yao)是(shi)感(gan)量(liang)可(ke)以(yi)做(zuo)大(da),不(bu)易(yi)飽(bao)和(he),相(xiang)對(dui)鐵(tie)氧(yang)體(ti)磁(ci)芯(xin)來(lai)說(shuo),不(bu)過(guo)缺(que)點(dian)是(shi)價(jia)格(ge)貴(gui),尤(you)其(qi)是(shi)大(da)電(dian)流(liu),繞(rao)製(zhi)工(gong)藝(yi)較(jiao)困(kun)難(nan)。磁(ci)環(huan)也(ye)分(fen)高(gao)U值和低U值,主要也是磁環的材料不同照成,高U環磁環外觀是綠色,一般EMI電路的共模電感選用,感量會相對較大濾低頻,顏色偏灰的是低U環,感量很低,濾高頻。一般為了EMC都是搭配使用效果一般都比較好!
歡迎大家分享磁性器件的應用心得!
問題十五:電源損耗是怎麼分布的?MOS管損耗?變壓器損耗?變壓器除了直流損耗,還有交流損耗怎麼算的?
電源損耗一般集中在以下一些方麵:1.MOS管的開通損耗及導通損耗。2.變壓器的銅損和鐵損;3.副邊整流管的損耗;4.橋式整流的損耗。5.采樣電阻損耗;6.吸收電路的損耗;7.其它損耗:PFC電感損耗,LLC的諧振電感損耗,同步整流的MOS管損耗。等等。。。
針對這些損耗,適當的減小可以提升效率。1.針對MOS管可選用開關速度快的,導通電阻低的,電路上課采用軟開關。2.針對變壓器:選xuan擇ze合he適shi大da小xiao的de磁ci芯xin,磁ci芯xin太tai小xiao損sun耗hao會hui大da,很hen難nan做zuo到dao銅tong損sun和he鐵tie損sun平ping衡heng。尤you其qi是shi銅tong損sun不bu僅jin有you直zhi流liu損sun耗hao還hai有you交jiao流liu損sun耗hao,交jiao流liu損sun耗hao一yi般ban比bi直zhi流liu損sun耗hao還hai大da2倍,因為銅線在高頻下的交流阻抗比直流阻抗大的多,計算時一定要充分估算進去。
問題十六:電源中的熱設計,散熱器是怎麼選擇的?散熱器設計需要考慮什麼?
散熱器的設計是開關電源的一個重點,散熱器主要是針對我們的發熱器件溫升過高,需要采用散熱器來降低熱阻來達到降低溫升的作用!
主要發熱器件:整流橋,MOS管,整流二極管,變壓器,電感等等。
散熱器的大小選擇一般根據損耗的功率,需要的溫升來計算熱阻,根據熱阻來選擇相應麵積的散熱器。

當然也需要一些輔助的方式,比如在器件和散熱片間塗散熱膏,有會有些效果。比較小的空間可采用型材散熱,體積小,散熱麵積大。

特殊器件有特殊的處理:如變壓器可將變壓器底下的PCB板挖空散熱,也可以在變壓器上用導熱泥貼散熱片的方式。電感也可以加銅環散熱等等。。。
歡迎大家針對熱設計討論分析,將我們電源的熱性能提升一個新的高度!
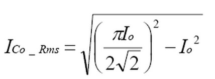
問題十七:LLC的輸出濾波電容怎麼決定的?受哪些因素影響?
輸shu出chu濾lv波bo電dian容rong對dui輸shu出chu紋wen波bo至zhi關guan重zhong要yao,選xuan擇ze合he適shi的de濾lv波bo電dian容rong需xu要yao從cong成cheng本ben及ji紋wen波bo需xu求qiu考kao慮lv,當dang然ran對dui每mei種zhong拓tuo撲pu濾lv波bo電dian容rong的de選xuan取qu都dou是shi按an照zhao輸shu出chu紋wen波bo需xu求qiu,紋wen波bo電dian流liu所suo對dui應ying的deESR值來選取對應的電容,當然電容的容量與ESR的關係跟電容的品質也有著很重要的關係,之前已經討論過其關係式。紋波電壓時我們的需求,一般按照50mv的需求的話,設計留有餘量一般選擇10mv。(考慮到PCB板濾波效果,電容低溫容值降低),紋波電流計算式如下:

問題十八:移相全橋的驅動是什麼實現的?何為移相?移相帶來什麼?
移相全橋目前在中大功率使用中,也是用的很火,受歡迎程度僅次於LLC諧振半橋。之前已經比較過不同拓撲的使用情況,這裏就專門介紹下移相全橋的特點。
移相全橋特點一:驅動比較複雜,導致控製電路複雜,成本很高,原因是移相全橋一般有4個MOS,對驅動能力要求很高,一般IC很難做到,需要對驅動能力通過外置MOS管放大使用,又為了加強可靠性一般采用隔離變壓器來驅動MOS管。
移相全橋特點二:移相,為什麼要移相,移相帶來什麼,跟普通全橋有什麼區別。移相針對的是同一組的MOS管,讓2個MOS管依次導通,可以降低開關損耗。超前臂橋實現ZVS同時,副邊處於續流,原邊電流被二極管分擔,MOS管電流也很小,近似零電流導通,滯後臂橋可以零電壓導通。
移相全橋特點三:工作過程複雜,二個輸出功率狀態(靠原邊提供能量),二個續流狀態(靠副邊電感及電容提供供能量),四個死區(來分別實現每個MOS管軟開通I)
隻是為了給新手了解移相全橋,作為開關電源比較重要的拓撲一部分,它的重點和難點在哪裏。
問題十九:大功率若追求效率,無橋PFC是怎麼實現的?原理是什麼?
很多人都聽說過無橋PFC,不過真正使用起來並不很常見,原因是無橋PFC相比普通有橋PFC效率上固然有提升,一般也就在1-2%,若不是追求高效,一般都不會使用,成本太高。根據無橋PFC的特點,其實整流橋並沒有真正省去不用,隻是當做交流輸入正負半軸的隔離使用,簡單來說相當於普通二個PFC,交流正負半軸各一個,相應的PFC電感也會增加一個,MOS管也會增加一個,驅動IC也會複雜一些,對於大功率為了做高效,檢測電阻用變壓器繞組來做,可以減小損耗。之前接觸過一個960W用無橋PFC+LLC效率達到96.5%,不過最終因為客戶要求輸入電壓交流和直流都能滿足,這時候無橋PFC就不能在直流下發揮很好的作用就否決了。
問題二十:電力電源中為什麼用到三相電?三相三電平是怎麼實現,三電平帶來了什麼?
三相電在電力電源中使用比較多,一般在大功率1KW以上或者上萬W的場合。三相電一般采用三相四線,其中一根是零線,四根線相當於能夠傳輸普通二相電三倍的功率,傳輸功率更大是其最大優勢;其次三相電易於產生,目前最常見的三相異步電機,能簡單方便產生。
三相三電平是怎麼回事呢,因為三相電不能直接給某些用電設備供電,需要轉變成普通的二相電。一般過程,采用三相PFC轉換為直流電,直流電然後逆變成二相交流電。這裏麵就牽涉到三電平技術,三相電PFC整流出來不是普通正負DC,而是三電平,也就是正DC,零,負DC。從這裏也可以看出來采用三電平器件的應力降低,諧波含量低,開關管損耗也低,這樣在高壓大功率場合優勢就非常突出了。
問題二十一:電源中有很多保護電路,你最多能說幾種保護?怎麼去實現?
電源的可靠性離不開保護電路,通常有哪些保護電路呢?
1.輸入欠壓過壓很常用,對交流信號采樣。
2.輸出過壓保護,一旦電源開關能鎖機對電源可靠性也有幫助。
3.guoliubaohu,youdeshicaiyonghengliuzuoguoliu,youdecaiyongxiangonglvlaizuoguoliu,dangranyekeyisuojilaizuo,mudeyigekekaoxing,fangfahenduozhong。zuikekaodebaohuyidingshisuosierbushidage!
4.過溫保護,采用熱敏對變壓器或者是環境溫度等方式檢測,來反饋給到IC鎖機或者打嗝。
5.短路保護,短路可以打嗝,同樣也可以鎖機。
這些是一般電源常用的,有的可以說是必備的保護電路。所以看好規格書選擇合適的IC來做保護功能更方便的保護電路。我用過一款LD7522做反激,這些功能就能很好,可以簡單全部的做出來。
問題二十二:搞電源不懂市場?你搞的電源何去何從?開發出了沒用?替老板賺到錢才有用。
終於到了最後一個問題,電源市場問題一般工程師可能關注的少,注重研發是錯誤。項目成功不是做出來,而是賺到少的錢。
舉個例子:你一年做了三個項目累死累活,賺了100萬,另一個人一年就做了一個項目,比做三個項目輕鬆多了,一年賺了1000萬,老板喜歡哪個?
youderenshuoxiangmuyoubushiwomenxuanze,zenmezhidaozhuanbuzhuanqian,danshizhuanqianxiangmudetedianwomenyaoshuxia,shenmeyangdedianyuanshichangshangbijiaohuoa,niqingchuma?anzhaozijigongsixianyoudemoshilaikaifa,youmeiyouhedagongsideshejichajua。bushishuoxiangmunengbunengzuochulai,ershinengbunengzuiyoudezuochulai,qishizhanzaiyanfajiaoduyejiushiruhexuanzezuiyoutuopu,zuoshengfangan。
你(ni)做(zuo)的(de)項(xiang)目(mu)你(ni)要(yao)對(dui)你(ni)的(de)項(xiang)目(mu)負(fu)責(ze),最(zui)後(hou)項(xiang)目(mu)的(de)結(jie)果(guo)是(shi)什(shen)麼(me)?市(shi)場(chang)反(fan)應(ying)出(chu)來(lai)的(de)問(wen)題(ti)及(ji)結(jie)果(guo)是(shi)值(zhi)得(de)每(mei)一(yi)個(ge)工(gong)程(cheng)師(shi)思(si)考(kao)的(de),如(ru)果(guo)隻(zhi)是(shi)單(dan)純(chun)做(zuo)項(xiang)目(mu)是(shi)沒(mei)有(you)前(qian)途(tu)的(de)!
如(ru)果(guo)隻(zhi)是(shi)一(yi)個(ge)想(xiang)永(yong)遠(yuan)在(zai)底(di)層(ceng)的(de)工(gong)程(cheng)師(shi),那(na)大(da)可(ke)不(bu)必(bi)管(guan),要(yao)有(you)大(da)的(de)格(ge)局(ju)和(he)眼(yan)光(guang)才(cai)對(dui),比(bi)如(ru)我(wo)們(men)公(gong)司(si)哪(na)些(xie)項(xiang)目(mu)能(neng)做(zuo),哪(na)些(xie)項(xiang)目(mu)不(bu)能(neng)做(zuo),不(bu)是(shi)老(lao)板(ban)說(shuo)了(le)算(suan),更(geng)不(bu)是(shi)市(shi)場(chang)說(shuo)了(le)算(suan),研(yan)發(fa)的(de)總(zong)經(jing)理(li)及(ji)技(ji)術(shu)總(zong)監(jian)說(shuo)了(le)算(suan)。技(ji)術(shu)權(quan)威(wei)才(cai)能(neng)決(jue)定(ding)產(chan)品(pin)的(de)質(zhi)量(liang)及(ji)命(ming)運(yun)!這樣出來的項目才是具備競市場爭力的!
布板從抄板開始是誤區!!!
新手學布板從抄板做起就害了新手,隻學其形,不明其意很難融會貫通!第di一yi很hen多duo板ban本ben身shen布bu的de就jiu有you問wen題ti,你ni還hai要yao去qu理li解jie他ta為wei什shen麼me要yao這zhe樣yang,第di二er,布bu板ban不bu是shi千qian篇pian一yi律lv,有you些xie時shi候hou是shi迫po不bu得de已yi的de選xuan擇ze,有you些xie時shi候hou是shi折zhe中zhong布bu法fa,不bu是shi不bu能neng布bu好hao,是shi怎zen麼me在zai現xian有you的de情qing況kuang的de下xia布bu得de更geng合he理li。
建議新手學布板,首先要對原理圖有較深理解,其次對工藝理解,其次對安規理解,其次對EMC理解,這些理解到一定層度,布板就能很好理解,注意是理解不是記憶!
推薦閱讀:
特別推薦
- 噪聲中提取真值!瑞盟科技推出MSA2240電流檢測芯片賦能多元高端測量場景
- 10MHz高頻運行!氮矽科技發布集成驅動GaN芯片,助力電源能效再攀新高
- 失真度僅0.002%!力芯微推出超低內阻、超低失真4PST模擬開關
- 一“芯”雙電!聖邦微電子發布雙輸出電源芯片,簡化AFE與音頻設計
- 一機適配萬端:金升陽推出1200W可編程電源,賦能高端裝備製造
技術文章更多>>
- 貿澤EIT係列新一期,探索AI如何重塑日常科技與用戶體驗
- 算力爆發遇上電源革新,大聯大世平集團攜手晶豐明源線上研討會解鎖應用落地
- 創新不止,創芯不已:第六屆ICDIA創芯展8月南京盛大啟幕!
- AI時代,為什麼存儲基礎設施的可靠性決定數據中心的經濟效益
- 矽典微ONELAB開發係列:為毫米波算法開發者打造的全棧工具鏈
技術白皮書下載更多>>
- 車規與基於V2X的車輛協同主動避撞技術展望
- 數字隔離助力新能源汽車安全隔離的新挑戰
- 汽車模塊拋負載的解決方案
- 車用連接器的安全創新應用
- Melexis Actuators Business Unit
- Position / Current Sensors - Triaxis Hall
熱門搜索
Future
GFIVE
GPS
GPU
Harting
HDMI
HDMI連接器
HD監控
HID燈
I/O處理器
IC
IC插座
IDT
IGBT
in-cell
Intersil
IP監控
iWatt
Keithley
Kemet
Knowles
Lattice
LCD
LCD模組
LCR測試儀
lc振蕩器
Lecroy
LED
LED保護元件
LED背光



