兩種可控矽整流器的運行原理
發布時間:2015-11-09 責任編輯:echolady
【導讀】工作中是一種常用元器件,尤其是在設計方案中經常用到。尤其是6脈衝可控矽整流器和12脈衝可控矽整流器有什麼不同之處?本文就有小編帶你一起,從原理入手簡析6脈衝可控矽整流器和12脈衝可控矽整流器之間的不同之處。
首先要為大家介紹的是6脈衝可控矽整流器的運行工作原理。這裏所謂的6脈衝,指的是以6個可控矽組成的全橋整流,由於有6個開關脈衝對6個可控矽分別控製,所以我們一般稱之為6脈衝整流。這種6脈衝整流器的基礎結構如圖1所示。

圖1 6脈衝整流器

這裏我們以圖1所示的6maichongzhengliuqiyunxingjiegouweijichu,laiduitadeyunxingtedianjinxingjianyaofenxi。womenzanshihulvesanxiangqiaoshikekongguizhengliudianluhuanxiangguochenghedianliumaidong,jiadingjiaoliucediankangweiling,zhiliudianganweiwuqiongda,yanchichufajiaoa為零,則交流側電流傅裏葉級數展開可以計公式為:
由上文中的公式,我們可以得出以下一個結論,那就是在6脈衝整流器的電流中,含6K(k為正整數)次諧波,即5、7、11、13...等各次諧波,各次諧波的有效值與諧波次數成反比,且與基波有效值的比值為諧波次數的倒數。

圖 2 計算機仿真的6脈衝A相的輸入電壓、電流波形
依據對上文中兩個公式的計算,我們可以得出結論,那就是在12脈衝可控矽整流器運行過程中,兩個整流橋產生的5、7、17、19、...次諧波相互抵消,注入電網的隻有12k次諧波,即11、13、23、25等各次諧波,且其有效值與與諧波次數成反比,而與基波有效值的比值為諧波次數的倒數。

圖3 12脈衝整流器示意圖(由2個6脈衝並聯組成)
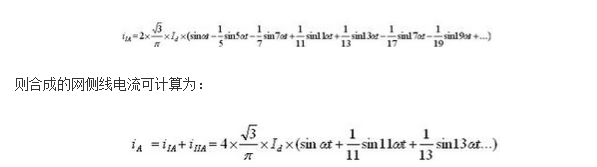
在這種12脈衝的可控矽整流器運行過程中,其本身橋1的網側電流傅立葉級數展開可得出公式為:

由此可見,在12脈衝的可控矽整流器運行過程中,兩個整流橋產生的5、7、17、19、...次諧波相互抵消,注入電網的隻有12k(k為正整數)次諧波,即11、13、23、25等各次諧波,且其有效值與與諧波次數成反比,而與基波有效值的比值為諧波次數的倒數。

圖4 計算機仿真的12脈衝UPSA相的輸入電壓、電流波形
以上就是本文針對兩種可控矽整流器的運行原理,所進行的簡要分析和介紹,希望能夠對各位工程師的研發設計工作有所幫助。
相關閱讀:
判斷可控矽質量的好壞隻需4招
造成可控矽調光LED閃爍的幾點因素
電路設計:可控矽移相電路的設計
特別推薦
- 噪聲中提取真值!瑞盟科技推出MSA2240電流檢測芯片賦能多元高端測量場景
- 10MHz高頻運行!氮矽科技發布集成驅動GaN芯片,助力電源能效再攀新高
- 失真度僅0.002%!力芯微推出超低內阻、超低失真4PST模擬開關
- 一“芯”雙電!聖邦微電子發布雙輸出電源芯片,簡化AFE與音頻設計
- 一機適配萬端:金升陽推出1200W可編程電源,賦能高端裝備製造
技術文章更多>>
- 邊緣AI的發展為更智能、更可持續的技術鋪平道路
- 每台智能體PC,都是AI時代的新入口
- IAR作為Qt Group獨立BU攜兩項重磅汽車電子應用開發方案首秀北京車展
- 構建具有網絡彈性的嵌入式係統:來自行業領袖的洞見
- 數字化的線性穩壓器
技術白皮書下載更多>>
- 車規與基於V2X的車輛協同主動避撞技術展望
- 數字隔離助力新能源汽車安全隔離的新挑戰
- 汽車模塊拋負載的解決方案
- 車用連接器的安全創新應用
- Melexis Actuators Business Unit
- Position / Current Sensors - Triaxis Hall
熱門搜索




