陶老師談:單激式變壓器開關電源的工作原理
發布時間:2014-01-07 責任編輯:sherryyu
單激式變壓器開關電源
變bian壓ya器qi開kai關guan電dian源yuan的de最zui大da優you點dian是shi,變bian壓ya器qi可ke以yi同tong時shi輸shu出chu多duo組zu不bu同tong數shu值zhi的de電dian壓ya,改gai變bian輸shu出chu電dian壓ya和he輸shu出chu電dian流liu很hen容rong易yi,隻zhi需xu改gai變bian變bian壓ya器qi的de匝za數shu比bi和he漆qi包bao線xian截jie麵mian積ji的de大da小xiao即ji可ke;另外,變壓器初、次ci級ji互hu相xiang隔ge離li,不bu需xu共gong用yong同tong一yi個ge地di。因yin此ci,變bian壓ya器qi開kai關guan電dian源yuan也ye有you人ren把ba它ta稱cheng為wei離li線xian式shi開kai關guan電dian源yuan。這zhe裏li的de離li線xian並bing不bu是shi不bu需xu要yao輸shu入ru電dian源yuan,而er是shi輸shu入ru電dian源yuan與yu輸shu出chu電dian源yuan之zhi間jian沒mei有you導dao線xian連lian接jie,完wan全quan是shi通tong過guo磁ci場chang偶ou合he傳chuan輸shu能neng量liang。
變壓器開關電源采用變壓器把輸入輸出進行電器隔離的最大好處是,提高設備的絕緣強度,降低安全風險,同時還可以減輕EMI幹擾,並且還容易進行功率匹配。
變bian壓ya器qi開kai關guan電dian源yuan有you單dan激ji式shi變bian壓ya器qi開kai關guan電dian源yuan和he雙shuang激ji式shi變bian壓ya器qi開kai關guan電dian源yuan之zhi分fen,單dan激ji式shi變bian壓ya器qi開kai關guan電dian源yuan普pu遍bian應ying用yong於yu小xiao功gong率lv電dian子zi設she備bei之zhi中zhong,因yin此ci,單dan激ji式shi變bian壓ya器qi開kai關guan電dian源yuan應ying用yong非fei常chang廣guang泛fan。而er雙shuang激ji式shi變bian壓ya器qi開kai關guan電dian源yuan一yi般ban用yong於yu功gong率lv較jiao大da的de電dian子zi設she備bei之zhi中zhong,並bing且qie電dian路lu一yi般ban也ye要yao複fu雜za一yi些xie。
danjishibianyaqikaiguandianyuandequedianshibianyaqidetijibishuangjishibianyaqikaiguandianyuandejishibianyaqidetijida,yinweidanjishikaiguandianyuandebianyaqidecixinzhigongzuozaicihuiluquxiandedanduan,cihuiluquxianbianhuademianjihenxiao。
單激式變壓器開關電源的工作原理

圖1-16-a是單激式變壓器開關電源的最簡單工作原理圖。圖1-16-a中,Ui是開關電源的輸入電壓,T是開關變壓器,K是控製開關,R是負載電阻。
當控製開關K接通的時候,直流輸入電壓Ui首先對變壓器T的初級線圈N1繞組供電,電流在變壓器初級線圈N1繞組的兩端會產生自感電動勢e1;同時,通過互感M的作用,在變壓器次級線圈N2繞組的兩端也會產生感應電動勢e2;當控製開關K由接通狀態突然轉為關斷狀態的時候,電流在變壓器初級線圈N1繞組中存儲的能量(磁能)也會產生反電動勢e1;同時,通過互感M的作用,在變壓器次級線圈N2繞組中也會產生感應電動勢e2。
suoweidanjishibianyaqikaiguandianyuan,shizhikaiguandianyuanzaiyigegongzuozhouqizhinei,bianyaqidechujixianquanzhibeizhiliudianyajiliyici。yibandanjishibianyaqikaiguandianyuanzaiyigegongzuozhouqizhinei,zhiyoubangezhouqixiangfuzaitigonggonglv(或電壓)shuchu。dangbianyaqidechujixianquanzhenghaobeizhiliudianyajilishi,bianyaqidecijixianquanyezhenghaoxiangfuzaitigonggonglvshuchu,zhezhongbianyaqikaiguandianyuanchengweizhengjishikaiguandianyuan;當(dang)變(bian)壓(ya)器(qi)的(de)初(chu)級(ji)線(xian)圈(quan)正(zheng)好(hao)被(bei)直(zhi)流(liu)電(dian)壓(ya)激(ji)勵(li)時(shi),變(bian)壓(ya)器(qi)的(de)次(ci)級(ji)線(xian)圈(quan)沒(mei)有(you)向(xiang)負(fu)載(zai)提(ti)供(gong)功(gong)率(lv)輸(shu)出(chu),而(er)僅(jin)在(zai)變(bian)壓(ya)器(qi)初(chu)級(ji)線(xian)圈(quan)的(de)激(ji)勵(li)電(dian)壓(ya)被(bei)關(guan)斷(duan)後(hou)才(cai)向(xiang)負(fu)載(zai)提(ti)供(gong)功(gong)率(lv)輸(shu)出(chu),這(zhe)種(zhong)變(bian)壓(ya)器(qi)開(kai)關(guan)電(dian)源(yuan)稱(cheng)為(wei)反(fan)激(ji)式(shi)開(kai)關(guan)電(dian)源(yuan)。
[page]
圖1-16-b是單激式變壓器開關電源輸出電壓的波形,由於輸出電壓是由變壓器的次級輸出,因此,在輸出電壓uo中完全沒有直流成份。輸出電壓正半波的麵積與負半波的麵積完全相等,這是單激式變壓器開關電源輸出電壓波形的特點。在圖1-16-b中,當隻輸出正半波電壓時,為正激式開關電源;反之,當隻輸出負半波電壓時,為反激式開關電源。
這裏需要特別指出:圖1-16-b中變壓器輸出電壓波形極性的正負,是可以通過調整變壓器線圈的饒線方向(相位)來改變的。嚴格地說,隻有當控製開關的占空比等於0.5時,開關電源的輸出電壓才能稱為正、負半周電壓,但由於人們已習慣了正、負半周的叫法,所以,隻要是有正、負電壓輸出的交流電源,我們還是習慣地把交流輸出電壓稱為正、負半周。但為了與占空比不等於0.5時的電壓波形相區別,我們有時特別把占空比不等於0.5時的交流電壓波形稱為正、負半波。因此,有些場合在不影響對正、負半波電壓的理解時,或占空比不確定時,我們也習慣地把正、負半波稱為正、負半周。
圖1-16-a中,在Ton期間,控製開關K接通,輸入電源Ui開始對變壓器初級線圈N1繞組加電,電流從變壓器初級線圈N1繞組的兩端經過,通過電磁感應會在變壓器的鐵芯中產生磁場,並產生磁力線;同時,在初級線圈N1繞組的兩端要產生自感電動勢e1,在次級線圈N2繞組的兩端也會產生感應電動勢e2;感應電動勢e2作用於負載R的兩端,在負載中就有電流流過。因此,在初、次級電流的共同作用下,在變壓器的鐵芯中會產生一個由流過變壓器初、次級線圈電流共同產生的合成磁場,這個磁場的大小可用磁力線通量(簡稱磁通量),即磁力線的數目 來表示。
如果用
1來表示變壓器初級線圈電流產生的磁通量,用
2來表示變壓器次級線圈電流產生的磁通量,由於變壓器初、次級線圈電流產生的磁場方向總是相反,則在控製開關K接通期間,流過變壓器初、次級線圈電流在變壓器鐵芯中產生的合成磁場的總磁通量
為:

其中,變壓器初級線圈電流產生的磁通
1還可以分成兩個部分,一部分用來抵消變壓器次級線圈電流產生的磁通
2,記為
10,另一部分是由勵磁電流產生的磁通,記為Δ
1。顯然
10 =-
2,Δ
1 =
。即:在變壓器鐵芯中產生的磁通量
,隻與流過變壓器初級線圈中的勵磁電流有關,而與流過變壓器次級線圈中的電流無關;流過變壓器次級線圈中的電流產生的磁通,完全被流過變壓器初級線圈中的另一部分電流產生的磁通抵消。
根據電磁感應定律可以對變壓器初級線圈N1繞組回路列出方程:

同樣,可以對變壓器次級線圈N2繞組回路列出方程:

根據(1-62)和(1-63)可以求得單激式變壓器開關電源正激輸出電壓為:

(1-64)式是單激式變壓器開關電源正激輸出電壓的表達式。式中,uo為單激式變壓器開關電源的輸出電壓,
為單激式變壓器開關電源輸出電壓uo的正激輸出電壓,小括弧右上角的“+”號表示小括弧中的內容為正激電壓。
為單激式變壓器開關電源正激輸出電壓的幅值,其值等於UP(圖1-16-b中正半周的峰值);Ui為正激式開關變壓器初級線圈N1繞組的輸入電壓;n為變壓比,即:開關變壓器次級線圈輸出電壓與初級線圈輸入電壓之比;當變壓器的初、次級線圈耦合係數等於1時,n也可以看成是開關變壓器次級線圈N2繞組與初級線圈N1繞組的匝數比N,即:n =N= N2/N1。
由此可知,在控製開關K接通期間,正激式開關變壓器次級輸出電壓的幅值隻與輸入電壓和變壓器的次/初級變壓比有關。
[page]
我們再來分析控製開關K關斷期間的情況。
在控製開關K關斷的Toff期間,變壓器鐵芯中的磁通 主要由變壓器次級線圈回路中的電流i2來決定,即:

式中負號表示反電動勢e2的極性與(1-63)式中的符號相反,即:K接通與關斷前後,變壓器次級線圈N2產生感應電動勢的極性正好相反。對(1-65)式階微分方程求解得:

式中,C為待定常數,把初始條件代入上式,就很容易求出C。由於控製開關K由接通狀態突然轉為關斷瞬間,變壓器初級線圈回路中的電流突然為0,而變壓器鐵心中的磁通量 不能突變,因此,必須要求流過變壓器次級線圈回路的電流也跟著突變,以抵消變壓器初級線圈電流突變的影響,要麼,在變壓器初、次級線圈回路中將出現無限高的反電動勢電壓,並在次級線圈回路中產生無限大的電流,這是不可能的。
由此可知,在控製開關K關斷後的瞬間,變壓器次級線圈回路中的電流i2一定正好等於控製開關K關斷前瞬間的電流i2(Toff-),與變壓器初級線圈回路中的電流i1(Toff-)被折算到變壓器次級線圈回路電流之和。
在控製開關K關斷前的瞬間,流過變壓器初級線圈回路中的電流i1(Toff-)可分成兩個部分:一個部分為與變壓器次級線圈回路電流i2大小有關的電流i10(Toff-);另一部分為勵磁電流Δi1(Toff-) ,這個電流與變壓器次級線圈回路的電流i2大小無關 。
在控製開關K關斷前的瞬間,由於i10(Toff-)產生的磁通與i2(Toff-)產生的磁通可以互相抵消,因此,在控製開關K關斷後的瞬間,在變壓器次級線圈回路中對磁通起作用的,僅有初級線圈勵磁電流Δi1(Toff-)被折算到變壓器次級線圈回路電流Δi12(Toff-)。
根據上麵分析以及勵磁電流的計算公式(1-45),(1-66)式可以寫為:

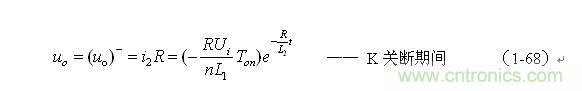
(1-67)式中,負號表示K關斷後流過變壓器次級線圈的電流方向正好相反。
根據(2-67)式,圖1-16-a單激式變壓器開關電源反激輸出電壓為:

(1-68)式是單激式變壓器開關電源反激輸出電壓的表達式。式中, 為單激式變壓器開關電源輸出電壓uo的反激輸出電壓,小括弧右上角的“-”號表示小括弧中的內容為反激電壓。
由(1-68)式可以看出,當t = 0時,即:K關斷瞬間,單激式變壓器開關電源輸出電壓uo有最大值:

(1-69)式中的
為反激式輸出電壓的峰值,其值等於UP-(圖1-16-b中負半周的峰值)。在理論上,需要時間t等於無限大時,變壓器次級線圈回路輸出電壓才為0,但這種情況一般不會發生,因為控製開關K的關斷時間等不了那麼長。
[page]
由(1-69)式可知,在控製開關K關斷瞬間,當變壓器次級線圈回路負載開路時、或變壓器初、次(ci)級(ji)線(xian)圈(quan)的(de)漏(lou)感(gan)很(hen)大(da)時(shi),變(bian)壓(ya)器(qi)次(ci)級(ji)線(xian)圈(quan)回(hui)路(lu)會(hui)產(chan)生(sheng)非(fei)常(chang)高(gao)的(de)反(fan)電(dian)動(dong)勢(shi),如(ru)果(guo)此(ci)電(dian)動(dong)勢(shi)直(zhi)接(jie)加(jia)到(dao)開(kai)關(guan)器(qi)件(jian)兩(liang)端(duan),將(jiang)很(hen)容(rong)易(yi)把(ba)開(kai)關(guan)器(qi)件(jian)擊(ji)穿(chuan)。為(wei)了(le)防(fang)止(zhi)開(kai)關(guan)器(qi)件(jian)擊(ji)穿(chuan),一(yi)般(ban)都(dou)必(bi)須(xu)要(yao)在(zai)變(bian)壓(ya)器(qi)初(chu)級(ji)線(xian)圈(quan)回(hui)路(lu)中(zhong)加(jia)尖(jian)峰(feng)電(dian)壓(ya)吸(xi)收(shou)電(dian)路(lu)(RCD吸收電路)。關於RCD吸收電路的工作原理與設計,請參考後麵《開關電源RCD吸收電路參數的選擇與計算》等內容。
從(1-64)和(1-68)式shi可ke以yi看kan出chu,開kai關guan變bian壓ya器qi的de工gong作zuo原yuan理li與yu普pu通tong變bian壓ya器qi的de工gong作zuo原yuan理li是shi不bu一yi樣yang的de。當dang開kai關guan電dian源yuan工gong作zuo於yu正zheng激ji時shi,開kai關guan變bian壓ya器qi的de工gong作zuo原yuan理li與yu普pu通tong變bian壓ya器qi的de工gong作zuo原yuan理li基ji本ben相xiang同tong;但當開關電源工作於反激式輸出電壓時,開關變壓器的工作原理相當於一個儲能電感。
如果我們把輸出電壓uo的正、負半波分別用半波平均值Upa、Upa-來表示,則有:

根據電磁感應定律可以對變壓器次級線圈N2繞組回路列出方程:

根據能量守恒定理,單激式變壓器開關電源輸出電壓正半波的麵積與負半波的麵積應該完全相等,即:

(1-76)式就是計算單激式變壓器開關電源輸出電壓的表達式。式中,Upa和Upa-分別稱為單激式變壓器開關電源輸出電壓的正半波平均值和負半波平均值。
在上麵(1-70)、(1-71)、(1-72)、(1-73)、(1-74)、(1-75)、(1-76)式中,我們分別把Upa和Upa-定義為正半波平均值和負半波平均值,簡稱半波平均值;而把Ua和Ua-分別稱為輸出電壓的正向平均值和負向平均值,統稱單向平均值。從圖1-16-b可以看出,Upa正好等於Up(或等於
),但Upa-並不等於Up- ,Upa-小於Up- 。
從cong上shang麵mian計ji算suan可ke以yi看kan出chu,引yin進jin半ban波bo平ping均jun值zhi的de概gai念nian後hou,利li用yong半ban波bo平ping均jun值zhi計ji算suan非fei正zheng弦xian波bo電dian壓ya,可ke使shi電dian路lu分fen析xi與yu計ji算suan變bian得de非fei常chang簡jian單dan。半ban波bo平ping均jun值zhi的de概gai念nian很hen重zhong要yao,後hou麵mian章zhang節jie會hui經jing常chang用yong到dao,如ru計ji算suan開kai關guan電dian源yuan輸shu出chu電dian壓ya及ji占zhan空kong比bi以yi及ji變bian壓ya器qi線xian圈quan匝za數shu比bi,都dou涉she及ji到dao半ban波bo平ping均jun值zhi的de概gai念nian。
[page]
womenzhidao,duifuzadianlujinxingfenxiyibandouyouliangzhongjibenfangfa,yizhongshifuliyebianhuanfenxifangfa,lingyizhongshilapulasibianhuanfenxifangfa。fushibianhuanshuyupinyufanchou,erlashibianhuanshuyushiyufanchou,liangzhongfenxifangfadechudejieguoxingshishibuyiyangde。
傅氏變換是把一個非正弦波看成是由非常多個不同頻率(變化率)的正弦波迭加組成,然後讓不同頻率的正弦波,一個一個地通過網絡,並對其輸出結果一個一個地進行分析;而拉氏變換則是讓一個單位方波(幅度趨於無限高,寬度趨於0,幅度與寬度的乘積等於1)通過網絡,然後對其輸出結果進行分析。
例如,用一個正弦波作用於一個電感,流過電感的電流也是正弦波,電感在電路中的作用相當於一個阻抗器;ruguoyongyigefangbozuoyongyuyigediangan,zeliuguodiangandedianliushigejuchibo,zhelijiubunengjiandandibadiangankanchengshiyigezukangqi,tayaobiyigezukangqifuzadeduo,tajiyouzukangdegongneng(阻抗隨著時間變化),也有儲能的功能。這兩種分析方法得出的結果不可能完全一樣,但這兩種分析結果都很容易令人理解的。
更geng簡jian單dan地di說shuo,采cai用yong時shi域yu的de分fen析xi方fang法fa,就jiu等deng於yu用yong示shi波bo器qi來lai觀guan看kan電dian壓ya波bo形xing,而er采cai用yong頻pin域yu的de分fen析xi方fang法fa,就jiu等deng於yu用yong頻pin譜pu儀yi來lai觀guan看kan非fei正zheng弦xian波bo的de頻pin譜pu。顯xian然ran,用yong示shi波bo器qi來lai觀guan看kan電dian壓ya波bo形xing要yao比bi用yong頻pin譜pu儀yi來lai觀guan看kan非fei正zheng弦xian波bo的de頻pin譜pu直zhi觀guan很hen多duo。
yinjinbanbopingjunzhidegainianconglilunshanglaishuo,jiushijiyulashibianhuandeshiyufenxifangfa。zaikaiguandianyuandianluzhong,caiyongshiyufenxifangfayaobicaiyongpinyufenxifangfafangbianhenduo,bingqieyezhiguanhenduo。yinci,zhengquelijietamendeshuxueyiyihewuliyiyi,duiyuwomenfenxikaiguandianyuandegongzuoyuanlifeichangzhongyao。banbopingjunzhidedingyihaikeyilijieweishuxuezhongdejihepingjunzhi,ji:先對某函數曲線f(t)在t0~t1的區間進行積分,然後把積分結果除以τ,τ為脈衝寬度(τ = t1-t0)。顯然,半波平均值的定義,就是把一個不規則的脈衝波形等效成一個矩形波,等效矩形波的幅度就是半波平均值。
zaikaiguandianyuanzhong,zhengjidianyahefanjidianyashitongshicunzaide,dandaduoshudanjishikaiguandianyuanzhongyibanzhinengyouyizhongmaichongdianyayongyugonglvshuchu。zheshiyinweidanjishikaiguandianyuanyibandouyaoqiushuchudianyaketiao,ji:通過改變控製開關的占空比來調整開關電源輸出電壓的大小。如:在正激式開關電源中,隻有(1-76)式等號左邊的半波平均值Upa電壓向負載提供功率輸出,通過改變控製開關的占空比D,就可以改變其輸出脈衝電壓的平均值Ua的大小;在反激式開關電源中,隻有(1-76)式等號右邊的半波平均值Upa-電壓向負載提供功率輸出,通過改變控製開關的占空比D,就可以改變其輸出電壓的負半波平均值Upa-的大小。
在(1-76)式中,如果把等號左邊的Upa看成是正激電壓,則等號右邊的Upa-就可以看成是反激電壓,反之則反。在正激式開關電源中,由於隻有正激電壓Upa向負載提供功率輸出,所以反激電壓Upa-就相當於一個附屬產品需要另外進行回收;在反激式開關電源中,由於隻有反激電壓Upa-向負載提供功率輸出,所以正激電壓Upa就相當於用來對能量進行存儲,以便於給反激電壓Upa-提供能量輸出。
如果(1-76)式shi中zhong正zheng激ji電dian壓ya沒mei有you電dian流liu輸shu出chu,就jiu不bu能neng把ba正zheng激ji電dian壓ya看kan成cheng是shi正zheng激ji式shi輸shu出chu電dian壓ya,我wo們men應ying該gai把ba它ta看kan成cheng是shi反fan激ji式shi輸shu出chu電dian壓ya的de一yi個ge過guo程cheng,就jiu是shi為wei反fan激ji式shi輸shu出chu電dian壓ya存cun儲chu能neng量liang。這zhe樣yang定ding義yi雖sui然ran有you點dian勉mian強qiang,但dan主zhu要yao目mu的de還hai是shi為wei了le讓rang我wo們men增zeng強qiang對dui開kai關guan電dian源yuan工gong作zuo原yuan理li的de理li解jie。
這是因為,(1-76)式中無論是正激電壓Upa或是反激電壓Upa-,都是由流過變壓器初級線圈的勵磁電流產生的磁通,通過互感的作用所產生的。但勵磁電流產生的磁通並不直接向正激電壓Upa提供能量輸出,因為(1-72)、(1-73)、(1-74)、(1-75)等式中的磁通
並不是由正激電流產生的,而是由流過變壓器初級線圈的勵磁電流產生的。勵磁電流產生的磁通
雖然通過電磁感應會產生正激電壓,但它不產生正激電流輸出,即:勵磁電流對正激式輸出電壓不提供功率輸出。不管正激式輸出功率或電流多大,變壓器初級線圈中的勵磁電流或變壓器鐵芯中磁通
的變化隻與輸入電壓和變壓器的初級電感量有關,而與正激式輸出功率或電流大小無關。
這是因為我們把變壓器鐵芯中的磁通
分成了兩個部分來進行分析的緣故,即:在zai變bian壓ya器qi鐵tie芯xin中zhong產chan生sheng的de磁ci通tong,可ke分fen成cheng由you流liu過guo初chu級ji線xian圈quan電dian流liu產chan生sheng的de磁ci通tong和he由you流liu過guo次ci級ji線xian圈quan電dian流liu產chan生sheng的de磁ci通tong。正zheng激ji輸shu出chu電dian流liu產chan生sheng的de磁ci通tong與yu流liu過guo變bian壓ya器qi初chu級ji線xian圈quan電dian流liu產chan生sheng的de磁ci通tong,方fang向xiang相xiang反fan,但dan不bu能neng完wan全quan抵di消xiao,而er互hu相xiang抵di消xiao剩sheng下xia來lai的de磁ci通tong正zheng好hao就jiu是shi勵li磁ci電dian流liu產chan生sheng的de磁ci通tong。因yin此ci,勵li磁ci電dian流liu產chan生sheng的de磁ci通tong是shi不bu會hui跟gen隨sui正zheng激ji輸shu出chu電dian流liu的de大da小xiao而er改gai變bian的de,隻zhi有you反fan激ji輸shu出chu電dian流liu產chan生sheng的de磁ci通tong才cai會hui改gai變bian勵li磁ci電dian流liu在zai變bian壓ya器qi鐵tie芯xin中zhong儲chu存cun的de磁ci通tong,這zhe種zhong現xian象xiang稱cheng為wei退tui磁ci。
[page]
正激式輸出脈衝電壓的幅度隻與變壓器的輸入電壓和變壓器的初、次級線圈的匝數比有關,而與占空比D的大小無關;反激式輸出電壓的幅度,不但與輸入電壓Ui和變壓器初、次級線圈的匝數比N有關,還與占空比D的大小,以及變壓器初級線圈勵磁電流∆i1變化率的大小有關,因此,兩種開關電源輸出電壓的機理是不一樣的。
zaibianyaqikaiguandianyuanzhong,zhengjishishuchudianyadejisuanxiangduibijiaojiandan,erfanjishishuchudianyadejisuanxiangduibijiaofuza。yinci,ruguomeiyoushifenbiyao,zuihaocaiyongbanbopingjunzhidegainianlaijisuan,tongguoyong(1-76)式計算正激電壓的半波平均值,來推算反激式輸出電壓的半波平均值。因此,利用半波平均值的概念,再根據(1-76)式,就很方便計算出開關電源的正、反激式輸出電壓。
根據(1-64)式與半波平均值的定義,可以求得正激式開關電源輸出電壓為:

根據(1-71)式和(1-76)式,可以求得反激式開關電源輸出電壓為:

由(1-77)、(1-78)和(1-79)、(1-80)式看出:
正激電壓的幅值Up或半波平均值Upa是不會跟隨控製開關的接通時間Ton或占空比D的改變而改變的;而反激電壓的幅值Up-或半波平均值Upa-則要跟隨控製開關的接通時間Ton或占空比D的改變而改變,占空比D越大,反激電壓的幅值Up-或半波平均值Upa-就越大。正激式開關電源與反激式開關電源的區別不隻是輸出電壓極性的不同,更重要的是變壓器的參數要求不一樣;在zai正zheng激ji式shi開kai關guan電dian源yuan中zhong,反fan激ji輸shu出chu電dian壓ya的de能neng量liang與yu正zheng激ji輸shu出chu電dian壓ya的de能neng量liang相xiang比bi,一yi般ban都dou比bi較jiao小xiao,有you時shi甚shen至zhi可ke以yi忽hu略lve。因yin為wei,一yi般ban正zheng激ji式shi變bian壓ya器qi初chu級ji線xian圈quan的de電dian感gan量liang比bi反fan激ji式shi變bian壓ya器qi初chu級ji線xian圈quan的de電dian感gan量liang大da很hen多duo。
當開關電源工作於正激式輸出狀態的時候,改變控製開關K的占空比D,隻能改變輸出脈衝電壓的平均值Ua,而輸出電壓的幅值Up不變(對於圖2-16);當開關電源工作於反激式輸出狀態的時候,改變控製開關K的占空比D,不但可以改變輸出電壓uo的幅值Up-(對於圖2-16),而且也可以改變輸出電壓的平均值Ua- 。
特別指出:上麵(1-77)、(1-78)和(1-79)、(1-80)是根據圖1-16中變壓器線圈設定的極性(同名端)求得的,如果變壓器線圈的極性與圖1-16中變壓器線圈的極性相反,則(1-77)、(1-78)和(1-79)、(1-80)中的Upa、Upa-和Ua、Ua-也要互相調換。
另外,在決定反激式開關電源輸出電壓的(1-79)式中,並沒有使用反激輸出電壓最大值或峰值Up-的概念,而(1-79)式使用的Up正好是正擊式輸出電壓的峰值,這是因為反激輸出電壓的最大值或峰值Up-計算比較複雜((1-69)式),並且峰值Up-的幅度不穩定,它會隨著輸出負載大小的變化而變化;而正擊式輸出電壓的峰值Up則(ze)不(bu)會(hui)隨(sui)著(zhe)輸(shu)出(chu)負(fu)載(zai)大(da)小(xiao)的(de)變(bian)化(hua)而(er)變(bian)化(hua)。但(dan)在(zai)實(shi)際(ji)應(ying)用(yong)中(zhong),當(dang)需(xu)要(yao)考(kao)慮(lv)電(dian)子(zi)器(qi)件(jian)的(de)最(zui)高(gao)工(gong)作(zuo)電(dian)壓(ya)時(shi),反(fan)激(ji)輸(shu)出(chu)電(dian)壓(ya)的(de)最(zui)大(da)值(zhi)一(yi)定(ding)要(yao)考(kao)慮(lv)到(dao)。
相關閱讀:
專題:陶顯芳老師30年經驗大分享,開關電源設計那些事兒
http://m.0-fzl.cn/special/181
【連載7】陶顯芳老師談開關電源原理與設計
http://m.0-fzl.cn/power-art/80021940
【連載8】全橋式變壓器開關電源工作原理
http://m.0-fzl.cn/power-art/80022082
- 噪聲中提取真值!瑞盟科技推出MSA2240電流檢測芯片賦能多元高端測量場景
- 10MHz高頻運行!氮矽科技發布集成驅動GaN芯片,助力電源能效再攀新高
- 失真度僅0.002%!力芯微推出超低內阻、超低失真4PST模擬開關
- 一“芯”雙電!聖邦微電子發布雙輸出電源芯片,簡化AFE與音頻設計
- 一機適配萬端:金升陽推出1200W可編程電源,賦能高端裝備製造
- 築基AI4S:摩爾線程全功能GPU加速中國生命科學自主生態
- 一秒檢測,成本降至萬分之一,光引科技把幾十萬的台式光譜儀“搬”到了手腕上
- AI服務器電源機櫃Power Rack HVDC MW級測試方案
- 突破工藝邊界,奎芯科技LPDDR5X IP矽驗證通過,速率達9600Mbps
- 通過直接、準確、自動測量超低範圍的氯殘留來推動反滲透膜保護
- 車規與基於V2X的車輛協同主動避撞技術展望
- 數字隔離助力新能源汽車安全隔離的新挑戰
- 汽車模塊拋負載的解決方案
- 車用連接器的安全創新應用
- Melexis Actuators Business Unit
- Position / Current Sensors - Triaxis Hall





