智能大功率直流電源的設計與實現
發布時間:2011-10-26
中心議題:
- 大功率直流電源控製係統工作原理
- 大功率直流電源控製係統工作原理圖
- 通用觸發板簡介
摘 要:本文介紹了以8098單片機作主控單元的大功率直流電源,該係統中采用WATCHDOG的抗幹擾技術和鎖相環(PLL)控製原理,文章闡述了電力係統根據現場情況要求下,如以電力係統對電池充電為例的7種工作方式,並詳細討論了利用軟件實現的PI調節方法。
0 引言
在大功率直流電源中,主電路一般采用晶閘管三相全控橋式整流電路,其關鍵在於如何準確、可靠、穩定地控製晶閘管的導通角。
目前,大功率直流電源現場應用中最為普遍的控製方式大都采用KC或KJ係列小規模集成電路,即采用三相鋸齒波信號和直流控製信號相比較獲得的移相信號。然而,三相鋸齒波信號的斜率、占空比、幅度等與每相的器件參數密切相關,並且比較信號中小的幹擾可能造成較大的相移誤差,因而電路的可靠性和自動平衡能力較差。
利用單片機作為控製電路,根據三相全控橋觸發脈衝之間的邏輯關係,直接產生六相高度均衡的觸發脈衝,可以克服KC、KJxiliedianlujunhengxingchadequedian。danshi,youyuxianchangxitonggongzuozaiqiangdianganraobijiaoyanzhongdechanghe,weilejianxiaoganraokenengyinqichengxuyunxingwenluan,zaochengxitongshikongeryinqizhudianluqijiandesunhuai;另外,為了增強係統的功能,加強人機對話能力,實現顯示、打印、命令輸入、循環檢測、過壓過流保護以及軟件PI調節器等功能,必須采用雙CPU並行工作。但雙CPU並行工作既增加了係統的複雜性,又降低了係統的可靠性和實用性。
為了克服上述局限性,利用8098單片機作主控單元, 並充分利用WATCHDOG的抗幹擾性能,采用以鎖相環(PLL)為基本控製原理的通用觸發板作中間界麵,構成一種智能化的電廠大功率直流後備電源。圖1示出控製係統框圖。

圖1 控製係統框圖
1 係統工作原理
現以電力係統對電池進行強充、浮充為例,說明係統的工作原理。根據現場要求,係統共設有7種工作方式,見圖1。
1)手動方式(M)
係統工作在開環狀態,利用8098的PWM口,經濾波後輸出一個0~5V的控製電壓信號給觸發板,使整流橋相應輸出電壓為0~300V.該方式主要用於係統主電路的檢修和維護。
2)穩壓方式(V)
穩壓方式(V)又稱浮充方式,係統作穩壓源閉環運行。
為增強係統的靈活性和通用性,利用軟件實現PI調節。
[page]
(1)標準數字PI算法
圖2示出帶數字PI調節器的計算機控製係統方框圖。

圖2 典型計算機控製係統方框圖
該數字PI調節器的Z傳遞函數為:
![]()
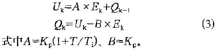
式中:Ki -- 積分係數,Ki= KoT/Ti;T--采樣周期; Ti-- 積分時間常數;Kp-- 比例因子;U(Z)--控製量輸出的z傳遞函數;E(z)- -偏差量的z傳遞函數。
將式(1)展開,可得以下位置式算法:

式中Uo-- 初始值;Uk - - 第k次采樣點獲得的控製量;Ek--第k次采樣點獲得的偏差量;Ej--第j次采樣點的偏差值;k一第k次采樣點。
整理成遞推公式形式:

根據上述遞推公式,可以非常方便地用軟件實現PI調節器。
(2)改進的數字PI算法
標準PI算法一般不能滿足現場要求,比如在開機、停機或大幅度改變設定值時,短時間內係統偏差變化劇烈,容易造成較大的積分積累∑(Ek),使得控製輸出急劇變化,係統超調嚴重,動態性能惡化。
為防止這一現象發生,常用積分分離法、超限削弱積分法和有效偏差法對標準PI算法進行改進,這在隨動係統設計中較為常見。
由於本係統屬於恒值控製係統,要求有軟起和軟停功能,利用上述改進算法已不能滿足要求。為此,采用一種新的恒偏差算法。
恒偏差法和有效偏差法相類似。有效偏差法又叫逆算法。即當控製量Uk越限時,Uk取邊界值Umax或Umin.由該邊界值逆算出偏差值Ek''代替原來的偏差值Ek.然而,在恒偏差法中,是用經過衰減後的Ek''去代替Ek.係統在階躍響應時,實際工作在過阻尼狀態,從而減緩了在起、停時對主電路器件的衝擊。圖3示出兩種算法的階躍輸入響應曲線。其中曲線(a)標準PI算法響應曲線、曲線(b)恒偏差法響應曲線。

圖3 係統階躍響應曲線[page]
(3)PI參數的整定
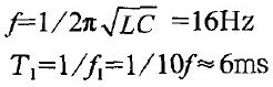
①采樣周期T
由於主電路輸出濾波網絡決定了係統輸出紋波的最大截止頻率f,所以根據香農(Snon)定理可以決定采樣頻率的上限f1 =2f 工程上一般取f1=10f.
由於主電路參數已知,可求得:

其下限T2由8098軟件執行時間決定。若采用12M晶振,平均每條語句執行時間為2us,程序運行大概需要500條語句,那麼T2=1ms.所以:
1ms≤ T≤6ms
最終可通過現場調試來選擇了1的大小。
② 比例因子Kp及積分時間常數Ti工程上常用臨界比例度法,對常數Kp和Tijinxingzhengding。jizaibihuantiaojianxia,xianzanshiqudiaojifenzuoyong,zhujianzengdabilizengyi,zhidaobihuanxitongdadaolinjiewendingzhuangtai,fashengchixuzhendangweizhi。jixiacishidelinjiezengyiKu和振蕩周期Tu ,通過查表得到Kp=和Ti的近似值,然後由整機調試進行修正。
本係統穩壓閉環實驗測定結果為:Ku =6,Tu=12.0ms.
查表可得:Kp=0.45 x Ku=2.7、Ti=Tu÷1.2=10ms.
通過整機調試,可得出遞推公式中參數A 、B的值為:A=3、B=2.
(4)算法
為簡化程序設計,在進行8098軟件編程時,采用無符號數算法。
3)穩流方式(I)
穩流方式又稱強充方式,係統作電流源閉環運行,原理同上,不同的是積分時間常數要小一些,調節速度較快。
實驗數據如下:Tu=6.0ms,Ti=5ms、A=4,B=2.
4)穩壓穩流自動轉換(V/I)
當電池虧電時,係統以強充方式工作,電池電壓逐漸升高。當超過設定值時,改為浮充方式。
即係統能根據負載情況自動選擇充電模式。圖4示出典型的二階段充電曲線。

圖4 蓄電池二階段充電曲線[page]
5)工作方式記憶(M1.M2)
係統可存儲兩組常用數據,即工作方式、電壓電流給定值、穩壓穩流轉換值、過壓過流值。
掉電時還能保護當前的工作記錄。
6)軟起、軟停方式(SS)
anxiagaijian,xitonggongzuozairuantingfangshi。chufabanjiangkongzhimaichongxiangweilazhizuida,ranhoufengsuomaichongshuchu。gaijiandanqi,weiruanqifangshi。kongzhishuchuyouzuixiaomanmanshengzhigeidingzhi。
7)電池檢測方式(TEST)
係統能循環檢測電池電壓,由數碼管進行顯示,也可通過串行口打印輸出,並有報警提示。
2 係統工作流程圖
係統上電後,首先對單片機的外圍接口進行檢查,以確保人機對話通道暢通。然後發出開機信號,對LED、給定寄存器等進行複位,隨後產生頻率為2Hz的方波信號,作為係統的給定輸入。
為進入上述7種工作方式,係統共設有三種途徑。
途徑I為掉電重起方式。即係統在掉電後,能記錄當前工作方式,來電後直接返回到原狀態。
該途徑為係統正常工作時的進入通道。
途徑II、III一般作調試用。途徑II是通過M 、M,進入相應的工作方式,而用戶在設置給定值、轉換值和保護值時要用到途徑III.
係統進入相應工作方式後,可通過中斷方式接受用戶命令,更換當前工作狀態(中斷程序框圖省略)。圖5示出係統工作流程圖。

圖5 係統工作流程圖[page]
3 通用觸發板簡介
晶閘管通用觸發板是以40芯CMOS大規模集成電路為核心,利用鎖相環控製技術(PLL),根據壓控振蕩器(VCO)鎖定的三相同步信號間的邏輯關係設計出的一種晶閘管觸發係統。給定0~5V的直流控製信號,便能產生0°~180°移相範圍的三相、六相或十二相強觸發脈衝。由於采用上述新技術,克服了KC、KJ係列同類產品的諸多缺點,使該觸發板輸出的控製脈衝具有高對稱性、高均衡性。另外,該板的抗幹擾能力和多種附加功能也大大強化了該板的實用性, 因而具有極高的性能價格比,適用於各種整流、逆變、交流側原邊控製等大功率晶閘管控製電路。
該觸發板無需同步變壓器,具有相序自動測控核對能力,並具備缺相保護功能和脈衝禁止接口;通過撥碼開關可提供雙30°、120°寬的高頻調製觸發脈衝。實驗證明,該脈衝可直接驅動1000A以上的晶閘管,是現場應用中晶閘管觸發係統的理想產品。
4 結束語
該係統的特點在於軟件PI調節器的靈活應用。一方麵,可就多種PI算法進行綜合比較,並驗證一些新的算法。另一方麵,基於係統的通用性,可就不同的被控對象給出不同的控製模式和參數。例如100A和500A時的蓄電池,就要有不同的PI調節參數;既使容量相同而生產廠家不同,所要求的參數也不一致,這是由電池內部化學反應速度決定的。
係統的另一個特點是通用觸發板的使用。它介於計算機PI調節器與晶閘管主電路之間,作為一個很好的緩衝界麵,能保證調節失控時係統的安全可靠。另一方麵,8098單片機的WATCHDOG也強化了係統的抗幹擾能力,使得該係統非常適用於現場控製。
- 噪聲中提取真值!瑞盟科技推出MSA2240電流檢測芯片賦能多元高端測量場景
- 10MHz高頻運行!氮矽科技發布集成驅動GaN芯片,助力電源能效再攀新高
- 失真度僅0.002%!力芯微推出超低內阻、超低失真4PST模擬開關
- 一“芯”雙電!聖邦微電子發布雙輸出電源芯片,簡化AFE與音頻設計
- 一機適配萬端:金升陽推出1200W可編程電源,賦能高端裝備製造
- 大聯大世平集團首度亮相北京國際汽車展 攜手全球芯片夥伴打造智能車整合應用新典範
- 2026北京車展即將啟幕,高通攜手汽車生態“朋友圈”推動智能化體驗再升級
- 邊緣重構智慧城市:FPGA SoM 如何破解視頻係統 “重而慢”
- 如何使用工業級串行數字輸入來設計具有並行接口的數字輸入模塊
- 意法半導體將舉辦投資者會議探討低地球軌道(LEO)發展機遇
- 車規與基於V2X的車輛協同主動避撞技術展望
- 數字隔離助力新能源汽車安全隔離的新挑戰
- 汽車模塊拋負載的解決方案
- 車用連接器的安全創新應用
- Melexis Actuators Business Unit
- Position / Current Sensors - Triaxis Hall



