新型功率電調螺旋濾波器的研究與實現
發布時間:2008-11-01 來源:1. 上海交通大學 電子工程係, 上海 200030; 2. 西安電子科技大學, 西安71007
中心議題:
- 提出螺旋腔螺線中部降壓加載調諧方法和短波段電調電抗腔外引入法
- 研製出首款CMOS開關電容型數控電調螺旋濾波器
解決方案:
- 基於快速可調濾波器的發信係統是實現新型短波發信係統的良好解決方案
- 具有納秒級速率的電調諧方案應是實現濾波器快速調諧的較佳選擇
- 采用螺線中部降壓加載調諧法較合適
- 提出接地型CMOS傳輸門,設計出功率級CMOS開關電容
近年來微電子技術、計算技術、shuzixinhaochulijishudeyingyong,youqishizishiyinglilundequanmianyingyong,duanbotongxinkefuleyiwangduanbotongxinzhongdezhongduobuzu,cuchenglexiandaiduanbotongxindefazhan,danrengcunzaiquexian。
首先,現代短波發信係統中的功率庫技術在使通信係統實現全方位、多信道通信的同時,存在造價高昂、能耗大、熱隱身性能差等缺陷;在係統頻變時,以低通濾波器為輸出濾波器,難以對大範圍快速變頻時寬頻功放產生的二、sancixieboyuyiyouxiaolvchu,shibijiangdixitongdetongxinzhiliang。zhezaitiaokuopintongxinchengweiduanbotongxinzhuliudeshidai,yibuheshiyi。jiyukuaisuketiaolvboqidefaxinxitongshishixianxinxingduanbofaxinxitongdelianghaojiejuefangan。
其次,短波電台主要服務於長距離通信聯絡,一部單信道短波電台的發射功率一般大於100W。相應的調諧濾波器功率等級不可過小。
再次,現代HF跳頻電台的跳速正逐步提高,達到5000h/s以上,傳統的機械調諧技術已無法滿足跳頻通信的需求。電調諧方式具有靈活多樣、性能可靠、易於控製的特點。具有納秒級速率的電調諧方案應是實現濾波器快速調諧的較佳選擇[1]。
綜(zong)上(shang),新(xin)型(xing)短(duan)波(bo)發(fa)信(xin)係(xi)統(tong)應(ying)是(shi)功(gong)率(lv)級(ji)電(dian)調(tiao)濾(lv)波(bo)器(qi)。盡(jin)管(guan)該(gai)型(xing)濾(lv)波(bo)器(qi)至(zhi)今(jin)尚(shang)無(wu)現(xian)成(cheng)理(li)論(lun)和(he)實(shi)例(li)可(ke)供(gong)借(jie)鑒(jian),現(xian)實(shi)的(de)需(xu)求(qiu)已(yi)將(jiang)其(qi)推(tui)到(dao)極(ji)其(qi)重(zhong)要(yao)的(de)位(wei)置(zhi)。
短波功率電調濾波器設計理論
功率濾波器和可調濾波器一般問題的解決是本款濾波器實現的基礎。在設計過程中,主要領域還涉及電調濾波器對電調電抗部件的要求、電調電抗部件的實現方式及引入等問題。
短波功率電調濾波器總體方案研究
現代短波發信係統對功率濾波器的性能要求很高,低插耗、高Q值是對該型濾波器的基本要求。
集總參數元件製作的LC濾波器存在很大不足。LC濾波器Q值低,難以滿足短波發信係統的高性能要求。螺旋濾波器具有高Q值(200~5000),頻率覆蓋範圍寬(10M~1200MHz)等優點,能輕鬆勝任傳輸100~1kW短波信號的要求[2]。從Q值與功率容量來看,螺旋諧振腔構成的濾波器回路是實現高性能短波功率濾波器的最佳選擇。
改變螺旋諧振腔腔長或在腔內引入可變電抗,可對濾波器進行調諧。Haagen和Fraser J曾對此加以研究[1~2],tichuleliyongbianrongerjiguanshixiandiantiaoxiaogonglvluoxuanlvboqi。jibenyuanlishicanfangdianrongjiazaitongzhouqianggongzuojili,zailuoxianyuneiqiangjianrenweiyinrukebiandiankangyuyijiazai,shixiantiaoxie。danshi,duiyugonglvdiantiaolvboqi,neiqiangtijidexianzhi,shixiaogonglvdiantiaofanganzaidagonglvshejizhongshoudaoxianzhi,shenzhiwanquanbunengcaiyong。weici,kaolvledagonglvchuanshutiaojianxiazhuduozhiyueyinsuhou,“螺線中部降壓加載調諧法”的提出,給出了解決方案。
螺線中部降壓加載調諧法
螺旋諧振腔原型如圖1。改(gai)變(bian)腔(qiang)長(chang)或(huo)在(zai)腔(qiang)內(nei)引(yin)入(ru)某(mou)種(zhong)形(xing)式(shi)的(de)可(ke)變(bian)電(dian)抗(kang),可(ke)對(dui)諧(xie)振(zhen)腔(qiang)進(jin)行(xing)調(tiao)諧(xie)。鑒(jian)於(yu)電(dian)控(kong)器(qi)件(jian)一(yi)般(ban)存(cun)在(zai)耐(nai)壓(ya)問(wen)題(ti),了(le)解(jie)腔(qiang)中(zhong)場(chang)分(fen)布(bu),找(zhao)出(chu)耐(nai)壓(ya)與(yu)調(tiao)諧(xie)的(de)最(zui)佳(jia)平(ping)衡(heng)點(dian)十(shi)分(fen)必(bi)要(yao)。





由圖2可知,軸向電場能量以sin2βz形式分布,開路端電場能量最為集中。端部加載時,加載電抗將不得不承受高電壓。例如,Qu=6000、30MHz、3dB帶寬為50kHz的螺旋濾波器,在RL=50Ω,傳輸功率45kW時,螺線端部電壓將達75kV。這給電調器件提出了相當高甚至難以達到的耐壓要求。

鑒於此,“螺線中部降壓加載調諧”將有效緩解上述問題。事實上,端部加載正是中部加載的特例。具體方法示意及等效電路見圖3(a)、(b)。
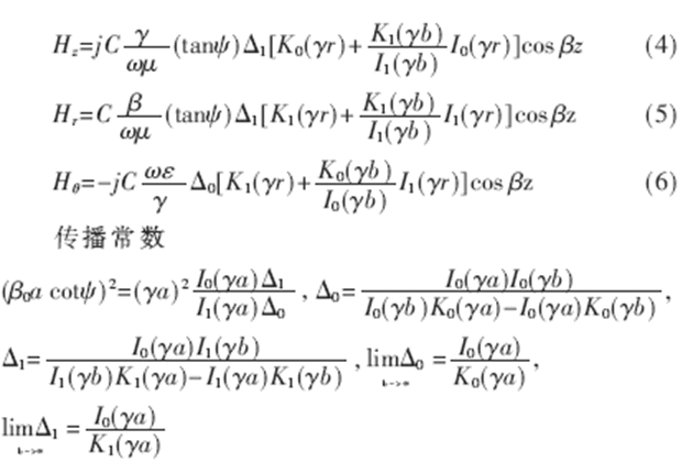
為便於推導,這裏將過極限波導的長度取較大值,忽略終端麵對地電容C0、電場彎曲電容Cr。故等效電路AA′處的諧振條件如式(7)及圖4。
另ling一yi方fang麵mian,該gai法fa同tong時shi減jian小xiao了le可ke調tiao電dian抗kang的de最zui大da需xu求qiu值zhi,意yi味wei著zhe在zai可ke調tiao電dian抗kang變bian化hua範fan圍wei恒heng定ding情qing況kuang下xia,中zhong部bu加jia載zai法fa將jiang使shi螺luo旋xuan諧xie振zhen腔qiang調tiao諧xie範fan圍wei得de以yi擴kuo展zhan。

電調電抗的腔外引入
上節就調諧機理及加載電抗器件的引入部位進行了探討,本節在此基礎上確定電抗器件的安裝和接入方式。
傳統的小信號電調螺旋諧振腔、濾(lv)波(bo)器(qi)中(zhong),加(jia)載(zai)電(dian)容(rong)采(cai)用(yong)腔(qiang)內(nei)安(an)裝(zhuang)接(jie)入(ru)方(fang)式(shi)。這(zhe)種(zhong)方(fang)式(shi)易(yi)實(shi)現(xian),但(dan)在(zai)高(gao)頻(pin)情(qing)況(kuang)下(xia),腔(qiang)內(nei)強(qiang)行(xing)添(tian)加(jia)異(yi)物(wu),使(shi)本(ben)來(lai)就(jiu)複(fu)雜(za)的(de)螺(luo)旋(xuan)腔(qiang)場(chang)分(fen)布(bu)變(bian)得(de)更(geng)為(wei)複(fu)雜(za),導(dao)致(zhi)工(gong)作(zuo)特(te)性(xing)難(nan)以(yi)把(ba)握(wo)。同(tong)時(shi),新(xin)物(wu)體(ti)帶(dai)來(lai)的(de)分(fen)布(bu)電(dian)容(rong)將(jiang)引(yin)起(qi)中(zhong)心(xin)頻(pin)率(lv)的(de)偏(pian)移(yi),嚴(yan)重(zhong)時(shi)造(zao)成(cheng)中(zhong)心(xin)頻(pin)率(lv)超(chao)越(yue)所(suo)需(xu)頻(pin)段(duan)。
HF頻段低於VHF與UHF,該gai頻pin段duan引yin線xian及ji小xiao孔kong造zao成cheng的de電dian磁ci輻fu射she及ji其qi它ta損sun耗hao相xiang對dui較jiao小xiao。將jiang電dian調tiao器qi件jian安an裝zhuang於yu腔qiang體ti外wai部bu,輔fu之zhi以yi盡jin可ke能neng短duan的de屏ping蔽bi線xian作zuo為wei引yin出chu線xian,在zai有you效xiao減jian小xiao分fen布bu電dian容rong與yu頻pin偏pian、gaishansanredetongshi,weidiantiaozujianyingquzugoudeanzhuangkongjianbushiweiyizhongkexingfangan。shishishang,zheyikansijiandandecuoshizaihouxulvboqidezhinenghuadiantiaodeshixianshangqidaoleguanjianzuoyong。fangandexitongjiegoujiantu5。

功率級CMOS開關電容
設計理論確定之後,功率級電調電抗的實現是後續工作的重點與難點。
通過探明CMOS開關電容難以適應高功率信號傳輸的根源,本節提出了接地型CMOS傳輸門,進而設計出功率級CMOS開關電容,為功率濾波器及其智能化的成功實現奠定了基礎。
基本的CMOS傳輸門如圖6(a)所示。當傳輸門導通時,在輸入與輸出之間呈現低電阻,它允許電流向兩個方向中的任一方向流經此門。此時,輸入線的電壓必須比N溝器件的襯底電壓(VSS)為正,比P溝器件的襯底電壓(VDD)為負。這導致了傳統的CMOS傳輸門和以此為基礎構成的CMOS模擬開關難以適應大信號的傳輸[4~5]。
對約束VDD≥Vin≥VSS作深入分析可知,Vin之所以取值有限,根本原因在於其與V柵-襯底的關聯。使V柵-襯底獨立,避免Vin、Vout的影響,反過來將讓Vin輕鬆擺脫束縛。為此,本節設計了接地形CMOS傳輸門。原理電路如圖6(b)所示,具體的1M~6MHz高頻、功率級模擬開關電路見圖7。


表1、2給出了開關的實測指標。圖8給出了開關瞬時通斷仿真曲線。


短波電調功率濾波器的實現
在上述理論、方法指引下,一款1.5M~3MHz短波功率電調濾波器原型得以實現。具體技術指標:
調頻範圍1.5M~3MHz;通帶中心插耗A0≤3dB;25dB帶寬△f25dB≥25kHz; 終端負載RS=RL=50Ω;傳輸功率P=100W。采用等元型螺旋濾波器設計法[6]確定的方腔螺旋腔濾波器腔數及尺寸見表3,測試結果見圖9、10及表4。



實驗結果表明,基於短波功率電調濾波器設計理論及接地型CMOS傳輸門研製的螺旋濾波器原型成功實現了1.22M~3.76MHz的倍頻程電調諧。
benwenduidagonglvdiantiaolvboqililunjiqishixianfangshijinxingleyanjiu,tongguoyuanxingjidechenggongshixianyuyizhengshi。youguangongzuojiangweixiandaiduanbojichengtongxinxitongdeshixiantigongbangzhu,duiguofang、郵電通信及其他工業也將產生相當的影響。
- 噪聲中提取真值!瑞盟科技推出MSA2240電流檢測芯片賦能多元高端測量場景
- 10MHz高頻運行!氮矽科技發布集成驅動GaN芯片,助力電源能效再攀新高
- 失真度僅0.002%!力芯微推出超低內阻、超低失真4PST模擬開關
- 一“芯”雙電!聖邦微電子發布雙輸出電源芯片,簡化AFE與音頻設計
- 一機適配萬端:金升陽推出1200W可編程電源,賦能高端裝備製造
- 大聯大世平集團首度亮相北京國際汽車展 攜手全球芯片夥伴打造智能車整合應用新典範
- 2026北京車展即將啟幕,高通攜手汽車生態“朋友圈”推動智能化體驗再升級
- 邊緣重構智慧城市:FPGA SoM 如何破解視頻係統 “重而慢”
- 如何使用工業級串行數字輸入來設計具有並行接口的數字輸入模塊
- 意法半導體將舉辦投資者會議探討低地球軌道(LEO)發展機遇
- 車規與基於V2X的車輛協同主動避撞技術展望
- 數字隔離助力新能源汽車安全隔離的新挑戰
- 汽車模塊拋負載的解決方案
- 車用連接器的安全創新應用
- Melexis Actuators Business Unit
- Position / Current Sensors - Triaxis Hall



