新型觸摸屏控製器助便攜裝置顯示如虎添翼
發布時間:2020-01-15 來源:Gareth Finn 責任編輯:wenwei
【導讀】觸摸屏顯示器能夠檢測顯示區域上是否有人觸摸以及觸摸位置,因此各種設備上的機械按鈕正日漸被這種顯示器所取代,包括智能電話、MP3 播放器、GPS 導航係統、數碼相機、筆記本電腦、遊戲機和實驗室儀器等。第一代此類設備不太精確,存在誤檢率高和功耗過大的問題。新型觸摸屏控製器1, 如AD78792等,可提供更高的精度、更低的功耗和結果濾波功能。這些器件還可以檢測溫度、電源電壓和觸摸壓力,有助於現代觸摸屏顯示器實現魯棒的檢測。
觸摸屏的工作原理
首先,讓我們看看電阻式觸摸屏如何工作。圖1顯示了觸摸屏的基本結構和工作原理圖。

圖 1. 電阻式觸摸屏的結構
觸摸屏由兩層塑料薄膜組成,各薄膜層上均塗有一層導電金屬(通常是氧化銦錫),中間的空氣間隙將二者分開。電源電壓激勵其中的一塊板,上圖中為 X 板。觸摸屏幕時,兩塊導電板碰到一起,在 X 板上構成一個電阻分壓器。接觸點的電壓通過 Y+ 電極檢測,代表X板上的位置,如圖 2 所示。然後重複上述過程,電源電壓激勵Y板,並通過 X+ 電極檢測 Y 位置。


圖2. X 位置測量
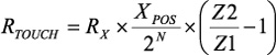
接下來,將電源電壓置於 Y+ 和 X– 上,再進行兩次屏幕測量:測量X+上的電壓得出Z1,測量Y– 上的電壓得出Z2。這些測量結果可以用來估計觸摸壓力,其方法有兩種。如果 X 板的電阻已知,則觸摸電阻的計算公式為:

如果 X 板和Y 板的電阻均已知,則觸摸電阻的計算公式為:

觸摸電阻值越大,則表示觸摸壓力越小。
AD7879 觸摸屏控製器
AD7879 chumopingkongzhiqishejiyongyuyusixianshidianzuchumopingjiekou。chulejiancechumodongzuowai,tahainengceliangwenduhefuzhushuruduandedianya。suoyousizhongchumoceliangjiashangwendu、電池、輔助電壓測量,均可以通過編程寫入其片內序列器。寬電源電壓範圍(1.6 V 至3.6 V)、小尺寸(12 引腳、1.6 mm ×2 mm WLCSP封裝或16 引腳、4 mm ×4 mm LFCSP封裝)以及低功耗(轉換時480 μA,關斷模式 0.5 μA),使這款控製器可以靈活地用於各種產品。
觸摸喚醒
可以將AD7879 配pei置zhi為wei在zai發fa生sheng觸chu摸mo屏ping幕mu事shi件jian時shi啟qi動dong並bing轉zhuan換huan,在zai釋shi放fang之zhi後hou進jin入ru省sheng電dian模mo式shi。這zhe種zhong配pei置zhi非fei常chang適shi合he注zhu重zhong節jie約yue電dian量liang的de電dian池chi供gong電dian設she備bei。每mei個ge轉zhuan換huan序xu列lie完wan成cheng之zhi後hou,AD7879 向主機微控製器發送一個中斷,將其從低功耗模式喚醒,以便處理數據。這樣,屏幕被觸摸之前微控製器的功耗也會極低。圖3 顯示了觸摸喚醒功能的設置。

圖3. 觸摸喚醒設置
觸摸屏幕時,X 板與 Y 板接觸,拉低限變器輸入,從而喚醒AD7879,隨後開始轉換。轉換結束時,AD7879 向主機發送一個中斷。
結果濾波
在典型的顯示器中,電阻板位於液晶顯示器(LCD) 之上,LCD 會產生大量噪聲,影響位置測量。這種噪聲由脈衝噪聲和高斯噪聲組合而成。AD7879 提供的中值濾波器和均值濾波器可降低這種噪聲。可以將序列器配置為利用 2 個、4 個、8 個或16 個樣本進行位置測量,而不是利用單個樣本進行測量。這些樣本經過排序、中值濾波和均值濾波,便可得到噪聲更低、精度更高的結果。圖 4 清楚顯示了其原理。獲得16 個位置測量結果,然後按由低到高的順序排序。剔除四個最大測量結果和四個最小測量結果,以消除脈衝噪聲;duishengyudebagecaiyangzhiqiupingjunzhi,yijiangdigaosizaosheng。zhezhongfangfahaiyouyigeewaihaochu,jikeyijiangdisuoxudezhujichuligongzuolianghezhujiyuchumopingkongzhiqidetongxinliang。

圖4. 中值和均值濾波
推薦閱讀:
特別推薦
- 噪聲中提取真值!瑞盟科技推出MSA2240電流檢測芯片賦能多元高端測量場景
- 10MHz高頻運行!氮矽科技發布集成驅動GaN芯片,助力電源能效再攀新高
- 失真度僅0.002%!力芯微推出超低內阻、超低失真4PST模擬開關
- 一“芯”雙電!聖邦微電子發布雙輸出電源芯片,簡化AFE與音頻設計
- 一機適配萬端:金升陽推出1200W可編程電源,賦能高端裝備製造
技術文章更多>>
- 算力爆發遇上電源革新,大聯大世平集團攜手晶豐明源線上研討會解鎖應用落地
- 築基AI4S:摩爾線程全功能GPU加速中國生命科學自主生態
- 一秒檢測,成本降至萬分之一,光引科技把幾十萬的台式光譜儀“搬”到了手腕上
- AI服務器電源機櫃Power Rack HVDC MW級測試方案
- 突破工藝邊界,奎芯科技LPDDR5X IP矽驗證通過,速率達9600Mbps
技術白皮書下載更多>>
- 車規與基於V2X的車輛協同主動避撞技術展望
- 數字隔離助力新能源汽車安全隔離的新挑戰
- 汽車模塊拋負載的解決方案
- 車用連接器的安全創新應用
- Melexis Actuators Business Unit
- Position / Current Sensors - Triaxis Hall
熱門搜索




