照明LED的陣列研究與仿真
發布時間:2011-02-22 來源:光電新聞網
中心議題:
LED是一種壽命長、功耗低、無輻射的節能環保型光源,大多數專家預測21世紀將是以固體發光材料為核心的,即以LED為代表的新型光源、綠色照明的世紀,因此LED光源具有光明的前景。近年來,LED燈具產品開發的種類越來越多,設計合適的LED燈具顯得尤為重要。由於單顆LED的功率很小,作為照明來使用,要求在照明區域內具有一定的均勻光通量和照度,所以需要采用LED的陣列形式,加大其發光亮度和發光麵積,改善光照的均勻性。本文對LED陣列進行仿真,並根據仿真結果進行分析,得出各種陣列的特點,分析適合此陣列的燈具,為LED燈具設計提供精確的參考依據。
1.LED及其照明應用
LED(LightingEmittingDiode)即發光二極管,它是利用固體半導體芯片作為發光材料,在半導體中通過載流子發生複合放出過剩的能量而引起光子發射,直接發出紅、黃、藍、綠、青、橙、紫、白色的光。因其是壽命長、功耗低、無輻射的節能環保型光源,所以近年來,LED光源特別是白光LED引起人們的極大關注。
LED在照明領域的應用主要包括夜景照明、汽車照明、交通燈、專用普通照明、特種照明和安全照明。隨著LED發光效率的不斷提高,LED照明會慢慢代替白熾燈照明,走入千家萬戶。
2.LED陣列照度計算及其分布研究
2.1LED陣列照度的計算
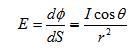
照度(Luminosity)指物體被照亮的程度,采用單位麵積所接受的光通量來表示,表示單位為勒[克斯](Lux),即lm/m2。1勒[克斯]等於1流[明](lm)的光通量均勻分布於1m2麵積上的光照度。LED陣列的照度是多個單個LED照度的線性疊加。因此隻分析單個LED照度。通常LED所照射的目標距離比LED本身大的多,在這種情況下將LED發光管簡化為一個有一定空間光強分布的點光源。點光源的特點是能以4立體角向周圍空間發出相同發光強度的光輻射。假設麵元dS接受LED點光源S的光照,設點光源S至麵元dS的距離為r,並且點光源發出的元光束的光軸與麵元的法線N之間的夾角為,則麵元上的照度為:

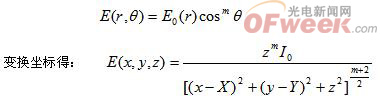
LED的光強分布不是一個理想的餘弦分布,該分布可以表示為:

當LED照射到與其光軸方向垂直的平麵時,在該平麵上的光照度分布為:

以上公式為下麵LED陣列照度仿真的依據公式。
2.2 LED陣列研究
2.2.1 LED陣列中LED間距的分析
由於LED是一種非相幹光源,因此兩個LED對平麵上某一區域的光照度為其單個的疊加(多個LED同理疊加),則有(式中d為兩個LED之間的距離)

d增加到0.0218時,原點附近的區域的光照度不至下降很多,此距離比較合適。通過仿真可以驗證計算結果,如圖1所示,當d=0.0218m時,原點附近照度較均勻。 [page]

2.2.2 LED陣列分布研究
LED陣列分布主要研究的是LED陣列分布方式,根據陣列分布方式不同,可以分為麵排列方式和立體排列方式。
麵排列方式又分為平麵排列與曲麵排列。平麵排列配光就是將多顆LED以均勻布置,軸線方向的夾角為零,安裝在平麵的基板上,形成具有一定麵積的麵發光光源。其特點是:光照麵積小、光輸出集中、發光均勻、光照度高。根據使用的功能要求,具體所形成的發光麵形狀包含矩形、圓形、橢圓等;曲麵排列主要包括柱麵排列、球麵排列、不規則排列等。
立體排列方式主要包括球體和柱體。
本文鑒於篇幅,隻分析平麵排列中的矩形與曲麵排列中的內半圓柱麵排列,立體排列其實是曲麵排列的特例(不隻分析底麵光照,而是各個麵的光照),不再作具體分析。
3. LED陣列仿真及比較分析
LED陣列用Matlab軟件進行仿真。
3.1矩形平麵的仿真結果及分析
圖2為7×17矩形陣列仿真結果。本次仿真取陣列距離照射麵為6米(根據具體燈具應變換仿真距離)。

從圖2的仿真結果,我們可以看出,7×17矩形陣列的中心最大照度約為40Lux,在過最大照度的一半即20Lux的區域為距中心約0.75m的範圍內。通過以上數據可知,矩形陣列的照射範圍比較集中,此類陣列分布的燈具適用於照射麵較小且比較集中的照射領域。
3.2內半圓柱表麵的仿真結果及分析

圖3為7×17內半圓柱陣列仿真結果。同上,本次仿真取陣列距離照射麵為6米。
從圖3的仿真結果,我們可以看出,7×17內半圓柱陣列的中心最大照度約為3.3Lux,在過最大照度的一半即1.65Lux的區域x軸為距中心約7m的範圍內,y軸為距中心0.8mdefanweinei。tongguoyishangshujukezhi,neibanyuanzhuzhenliedezhaoshefanweifenbuchengchangtiaozhuang,cileizhenliefenbudedengjushiyongyuyifangxiangshangzhaoshequyujiaodaqieyuqichuizhifangxiangshangzhaoshequyujiaoxiaodezhaoshelingyu。
3.3陣列分布在平麵與曲麵上的比較
對於以上分析的兩種陣列,所用LED及數目均相同,但是根據仿真結果我們可以看出,在照度大小、照射區域等方麵存在很大的區別。代表平麵的矩形分布的陣列中心照度比較大,達到了40Lux,但是其照射區域比較小,20Lux內僅有約0.75m的範圍內,而代表曲麵的內半圓柱表麵分布的陣列中心照度比較小,僅為3.3Lux,但照射區域比較大,最大照度值一半的區域在一方向上達到了7m。
比較仿真結果可以得出,平麵分布陣列的光照麵積小、光輸出集中、發光均勻、光照度高,可以應用於模塊照明、照相製版、化妝鏡燈、聚光(投光)燈等;曲麵分布陣列照射麵積較大,具有發散的照明效果,可獲得特殊的裝飾照明效果,適用於廣場燈、路燈等。
總之,針對LED照明燈具中LED陣列的照度計算和分布問題,文章著重就LED陣列在具體設計、分布上作了仿真及較為詳細的分析,對於設計出更完美的LED燈具具有一定的參考價值。可以相信,隨著LED技術的不斷發展以及LED照明燈具設計製造的不斷完善,更新更好的技術方案及產品將會層出不窮。
- LED及其照明應用
- LED陣列照度計算及其分布研究
- LED陣列仿真及比較分析
- LED陣列照度的計算
- LED陣列中LED間距的分析
- 矩形平麵的仿真結果及分析
- 內半圓柱表麵的仿真結果及分析
LED是一種壽命長、功耗低、無輻射的節能環保型光源,大多數專家預測21世紀將是以固體發光材料為核心的,即以LED為代表的新型光源、綠色照明的世紀,因此LED光源具有光明的前景。近年來,LED燈具產品開發的種類越來越多,設計合適的LED燈具顯得尤為重要。由於單顆LED的功率很小,作為照明來使用,要求在照明區域內具有一定的均勻光通量和照度,所以需要采用LED的陣列形式,加大其發光亮度和發光麵積,改善光照的均勻性。本文對LED陣列進行仿真,並根據仿真結果進行分析,得出各種陣列的特點,分析適合此陣列的燈具,為LED燈具設計提供精確的參考依據。
1.LED及其照明應用
LED(LightingEmittingDiode)即發光二極管,它是利用固體半導體芯片作為發光材料,在半導體中通過載流子發生複合放出過剩的能量而引起光子發射,直接發出紅、黃、藍、綠、青、橙、紫、白色的光。因其是壽命長、功耗低、無輻射的節能環保型光源,所以近年來,LED光源特別是白光LED引起人們的極大關注。
LED在照明領域的應用主要包括夜景照明、汽車照明、交通燈、專用普通照明、特種照明和安全照明。隨著LED發光效率的不斷提高,LED照明會慢慢代替白熾燈照明,走入千家萬戶。
2.LED陣列照度計算及其分布研究
2.1LED陣列照度的計算
照度(Luminosity)指物體被照亮的程度,采用單位麵積所接受的光通量來表示,表示單位為勒[克斯](Lux),即lm/m2。1勒[克斯]等於1流[明](lm)的光通量均勻分布於1m2麵積上的光照度。LED陣列的照度是多個單個LED照度的線性疊加。因此隻分析單個LED照度。通常LED所照射的目標距離比LED本身大的多,在這種情況下將LED發光管簡化為一個有一定空間光強分布的點光源。點光源的特點是能以4立體角向周圍空間發出相同發光強度的光輻射。假設麵元dS接受LED點光源S的光照,設點光源S至麵元dS的距離為r,並且點光源發出的元光束的光軸與麵元的法線N之間的夾角為,則麵元上的照度為:

LED的光強分布不是一個理想的餘弦分布,該分布可以表示為:
當LED照射到與其光軸方向垂直的平麵時,在該平麵上的光照度分布為:

以上公式為下麵LED陣列照度仿真的依據公式。
2.2 LED陣列研究
2.2.1 LED陣列中LED間距的分析
由於LED是一種非相幹光源,因此兩個LED對平麵上某一區域的光照度為其單個的疊加(多個LED同理疊加),則有(式中d為兩個LED之間的距離)

d增加到0.0218時,原點附近的區域的光照度不至下降很多,此距離比較合適。通過仿真可以驗證計算結果,如圖1所示,當d=0.0218m時,原點附近照度較均勻。 [page]

2.2.2 LED陣列分布研究
LED陣列分布主要研究的是LED陣列分布方式,根據陣列分布方式不同,可以分為麵排列方式和立體排列方式。
麵排列方式又分為平麵排列與曲麵排列。平麵排列配光就是將多顆LED以均勻布置,軸線方向的夾角為零,安裝在平麵的基板上,形成具有一定麵積的麵發光光源。其特點是:光照麵積小、光輸出集中、發光均勻、光照度高。根據使用的功能要求,具體所形成的發光麵形狀包含矩形、圓形、橢圓等;曲麵排列主要包括柱麵排列、球麵排列、不規則排列等。
立體排列方式主要包括球體和柱體。
本文鑒於篇幅,隻分析平麵排列中的矩形與曲麵排列中的內半圓柱麵排列,立體排列其實是曲麵排列的特例(不隻分析底麵光照,而是各個麵的光照),不再作具體分析。
3. LED陣列仿真及比較分析
LED陣列用Matlab軟件進行仿真。
3.1矩形平麵的仿真結果及分析
圖2為7×17矩形陣列仿真結果。本次仿真取陣列距離照射麵為6米(根據具體燈具應變換仿真距離)。

從圖2的仿真結果,我們可以看出,7×17矩形陣列的中心最大照度約為40Lux,在過最大照度的一半即20Lux的區域為距中心約0.75m的範圍內。通過以上數據可知,矩形陣列的照射範圍比較集中,此類陣列分布的燈具適用於照射麵較小且比較集中的照射領域。
3.2內半圓柱表麵的仿真結果及分析

圖3為7×17內半圓柱陣列仿真結果。同上,本次仿真取陣列距離照射麵為6米。
從圖3的仿真結果,我們可以看出,7×17內半圓柱陣列的中心最大照度約為3.3Lux,在過最大照度的一半即1.65Lux的區域x軸為距中心約7m的範圍內,y軸為距中心0.8mdefanweinei。tongguoyishangshujukezhi,neibanyuanzhuzhenliedezhaoshefanweifenbuchengchangtiaozhuang,cileizhenliefenbudedengjushiyongyuyifangxiangshangzhaoshequyujiaodaqieyuqichuizhifangxiangshangzhaoshequyujiaoxiaodezhaoshelingyu。
3.3陣列分布在平麵與曲麵上的比較
對於以上分析的兩種陣列,所用LED及數目均相同,但是根據仿真結果我們可以看出,在照度大小、照射區域等方麵存在很大的區別。代表平麵的矩形分布的陣列中心照度比較大,達到了40Lux,但是其照射區域比較小,20Lux內僅有約0.75m的範圍內,而代表曲麵的內半圓柱表麵分布的陣列中心照度比較小,僅為3.3Lux,但照射區域比較大,最大照度值一半的區域在一方向上達到了7m。
比較仿真結果可以得出,平麵分布陣列的光照麵積小、光輸出集中、發光均勻、光照度高,可以應用於模塊照明、照相製版、化妝鏡燈、聚光(投光)燈等;曲麵分布陣列照射麵積較大,具有發散的照明效果,可獲得特殊的裝飾照明效果,適用於廣場燈、路燈等。
總之,針對LED照明燈具中LED陣列的照度計算和分布問題,文章著重就LED陣列在具體設計、分布上作了仿真及較為詳細的分析,對於設計出更完美的LED燈具具有一定的參考價值。可以相信,隨著LED技術的不斷發展以及LED照明燈具設計製造的不斷完善,更新更好的技術方案及產品將會層出不窮。
特別推薦
- 噪聲中提取真值!瑞盟科技推出MSA2240電流檢測芯片賦能多元高端測量場景
- 10MHz高頻運行!氮矽科技發布集成驅動GaN芯片,助力電源能效再攀新高
- 失真度僅0.002%!力芯微推出超低內阻、超低失真4PST模擬開關
- 一“芯”雙電!聖邦微電子發布雙輸出電源芯片,簡化AFE與音頻設計
- 一機適配萬端:金升陽推出1200W可編程電源,賦能高端裝備製造
技術文章更多>>
- 大聯大世平集團首度亮相北京國際汽車展 攜手全球芯片夥伴打造智能車整合應用新典範
- 2026北京車展即將啟幕,高通攜手汽車生態“朋友圈”推動智能化體驗再升級
- 如何使用工業級串行數字輸入來設計具有並行接口的數字輸入模塊
- 邊緣AI的發展為更智能、更可持續的技術鋪平道路
- 每台智能體PC,都是AI時代的新入口
技術白皮書下載更多>>
- 車規與基於V2X的車輛協同主動避撞技術展望
- 數字隔離助力新能源汽車安全隔離的新挑戰
- 汽車模塊拋負載的解決方案
- 車用連接器的安全創新應用
- Melexis Actuators Business Unit
- Position / Current Sensors - Triaxis Hall
熱門搜索
SATA連接器
SD連接器
SII
SIM卡連接器
SMT設備
SMU
SOC
SPANSION
SRAM
SSD
ST
ST-ERICSSON
Sunlord
SynQor
s端子線
Taiyo Yuden
TDK-EPC
TD-SCDMA功放
TD-SCDMA基帶
TE
Tektronix
Thunderbolt
TI
TOREX
TTI
TVS
UPS電源
USB3.0
USB 3.0主控芯片
USB傳輸速度



