電路基礎:晶振電路設計方案及建議
發布時間:2016-06-30 責任編輯:wenwei
【導讀】該文將討論晶振電(dian)路(lu)設(she)計(ji)方(fang)案(an),並(bing)解(jie)釋(shi)電(dian)路(lu)中(zhong)的(de)各(ge)個(ge)元(yuan)器(qi)件(jian)的(de)具(ju)體(ti)作(zuo)用(yong),並(bing)且(qie)在(zai)元(yuan)器(qi)件(jian)數(shu)值(zhi)的(de)選(xuan)擇(ze)上(shang)提(ti)供(gong)指(zhi)導(dao)。最(zui)後(hou),就(jiu)消(xiao)除(chu)晶(jing)振(zhen)不(bu)穩(wen)定(ding)和(he)起(qi)振(zhen)問(wen)題(ti),最(zui)後(hou)文(wen)章(zhang)還(hai)將(jiang)給(gei)出(chu)了(le)一(yi)些(xie)建(jian)議(yi)措(cuo)施(shi)。
1 晶振的等效電氣特性
(1) 概念
[1] 晶片,石英晶體或晶體、晶振、石英晶體諧振器
從一塊石英晶體上按一定方位角切下薄片。
[2] 晶體振蕩器
在封裝內部添加IC組成振蕩電路的晶體元件稱為晶體振蕩器。
(2) 晶振等效電路
圖1. 晶振的等效電路
圖1展示了晶振等效的電路。R是ESR串聯等效阻抗,L和C分別是晶振等效電感和等效電容。Cp是晶振的伴身電容,其極性取決於晶振的極性。
圖2是晶振的電抗頻譜線。

圖2. 晶振的電抗頻譜線
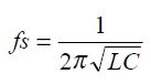
根據圖 2,當晶振工作在串聯諧振狀態下時,電路就似一個純電阻電路,感抗等於容抗(XL=XC)。串聯諧振的頻率為:

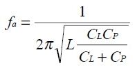
dangjingzhengongzuozaibinglianxiezhenmoshishi,jingzhenbiaoxianweiganxing。gaimoshidegongzuopinlvyoujingzhendefuzaijueding。duiyubinglianxiezhenzhuangtaidejingzhen,jingzhenzhizaoshangyinggaizhidingfuzaidianrongCL。在這種模式下,振動頻率由下式給出

在並聯諧振模式下,電抗線中fs到fa的斜線區域內,通過調整晶振的負載,如圖2,晶振都可以振蕩起來。
2 晶振電路的設計
圖3所示為推薦的晶振振蕩電路圖。這樣的組成可以使晶振處於並聯諧振模式。反相器在芯片內體現為一個AB型放大器,它將輸入的電量相移大約180°後輸出;並且由晶振,R1,C1和C2組成的π型網絡產生另外180°的相移。所以整個環路的相移為360°。這滿足了保持振蕩的一個條件。其它的條件,比如正確起振和保持振蕩,則要求閉環增益應≥1。

圖3. 晶振振蕩器設計電路
反相器附近的電阻Rf產生負反饋,它將反相器設定在中間補償區附近,使反相器工作在高增益線性區域。電阻值很高,範圍通常在500KΩ ~2MΩ內。
圖示的C1,C2就是為晶振工作在並聯諧振狀態下得到加載電容CL的電容。關於最優的加載電容CL的計算公式為:

這裏CS是PCB的漂移電容(stray capacitance),用於計算目的時,典型值為5pf。現在C1和C2選擇出來滿足上麵等式。通常選擇的C1和C2是大致相等的。C1和/或C2的數值較大,這提高了頻率的穩定性,但減小了環路增益,可能引發起振問題。
R1是驅動限流電阻,主要功能是限製反相器輸出,這樣晶振不會被過驅動(over driven)。R1、C1組構成分壓電路,這些元器件的數值是以這樣的方式進行計算的:反相器的輸出接近rail-to-rail值,輸入到晶振的信號是rail-to-rail的60%,通常實際是令R1的電阻值和的C1容抗值相等,即R1 ≈ XC1。這使晶振隻取得反相器輸出信號的一半。要一直保證晶振消耗的功率在廠商說明書規定範圍內。過驅動會損壞晶振。
理想情況下,反相器提供180°相移。但是,反相器的內在延遲會產生額外相移,而這個額外相移與內在延遲成比例。為保證環路全相移為n360°,π 型網絡應根據反相器的延遲情況,提供小於180°的相移。R1的調整可以滿足這一點。使用固定大小的C1和C2,閉環增益和相位可隨R1變化。如果上述兩個條件均得到了滿足,在一些應用中,R1可以忽略掉。
一些芯片內置了全部這些外部器件(Rf, R1, C1, and C2),因此消除了電路設計師的煩惱。這種情況下,隻要把晶振連接在XTAL和XTAL引腳上即可。
提示:
選擇ESR小的晶振,有利於解決起振問題。較小的ESR可以增加環路增益。
在PCB板上縮短線路可以減小漂移電容。這也有利於解決晶振起振和振蕩頻率的問題。
在工作的溫度下和工作的電壓範圍內經常性測試一下電路,以確保晶振起振和持續振蕩。必要的時候調整元器件的數值。
為了取得最好效果,晶振的設計,用至少0.4 Vdd(峰峰值)的電平驅動時鍾反相器。調節晶振不能滿足要求。為了獲得進一步的設計協助,請聯係晶振製造商。
為了優化R1,我們推薦先計算C1和C2(前麵已經解釋過如何計算)。將R1替換成電位計,將其初始值設置到大約XC1。如果需要,調節電位計的設置,直到晶振起振並在穩態條件下保持振蕩。
【推薦閱讀】
解析三種嵌入式係統控製電路設計
測量儀器中的各種波形抽取方式
低功耗溫度補償式電橋信號調理器和驅動器電路
無電池式低功耗藍牙Beacon:采用能量采集技術的BLE
電壓模式、遲滯和基於遲滯:選擇哪一種呢?
特別推薦
- 噪聲中提取真值!瑞盟科技推出MSA2240電流檢測芯片賦能多元高端測量場景
- 10MHz高頻運行!氮矽科技發布集成驅動GaN芯片,助力電源能效再攀新高
- 失真度僅0.002%!力芯微推出超低內阻、超低失真4PST模擬開關
- 一“芯”雙電!聖邦微電子發布雙輸出電源芯片,簡化AFE與音頻設計
- 一機適配萬端:金升陽推出1200W可編程電源,賦能高端裝備製造
技術文章更多>>
- PROFINET牽手RS232:網關為RFID裝上“同聲傳譯”舊設備秒變智能
- 菲尼克斯電氣DIP產線獲授“IPC HERMES Demo Line”示範線
- 貿澤電子新品推薦:2026年第一季度引入超過9,000個新物料
- 跨域無界 智馭未來——聯合電子北京車展之智能網聯篇
- 為AI尋找存儲新方案
技術白皮書下載更多>>
- 車規與基於V2X的車輛協同主動避撞技術展望
- 數字隔離助力新能源汽車安全隔離的新挑戰
- 汽車模塊拋負載的解決方案
- 車用連接器的安全創新應用
- Melexis Actuators Business Unit
- Position / Current Sensors - Triaxis Hall
熱門搜索
單向可控矽
刀開關
等離子顯示屏
低頻電感
低通濾波器
低音炮電路
滌綸電容
點膠設備
電池
電池管理係統
電磁蜂鳴器
電磁兼容
電磁爐危害
電動車
電動工具
電動汽車
電感
電工電路
電機控製
電解電容
電纜連接器
電力電子
電力繼電器
電力線通信
電流保險絲
電流表
電流傳感器
電流互感器
電路保護
電路圖

