低功耗溫度補償式電橋信號調理器和驅動器電路
發布時間:2016-06-29 責任編輯:wenwei
【導讀】帶dai溫wen度du補bu償chang的de差cha分fen電dian橋qiao型xing傳chuan感gan器qi監jian控kong電dian路lu是shi一yi款kuan適shi用yong於yu電dian橋qiao型xing傳chuan感gan器qi的de完wan整zheng低di功gong耗hao信xin號hao調tiao理li器qi,包bao括kuo一yi個ge溫wen度du補bu償chang通tong道dao。該gai電dian路lu非fei常chang適shi合he驅qu動dong電dian壓ya介jie於yu5V和15V之間的各類工業壓力傳感器和稱重傳感器。文章為大家詳細介紹一下。
功能與優勢
圖1所示電路是一款適用於電橋型傳感器的完整低功耗信號調理器,包括一個溫度補償通道。該電路非常適合驅動電壓介於5V和15V之間的各類工業壓力傳感器和稱重傳感器。
利用24位Σ-Δ型ADC的內置可編程增益放大器(PGA),該電路可以處理大約10mV到1V的滿量程信號,因此它適用於種類廣泛的壓力傳感器。
整個電路僅使用三個IC,功耗僅1mA(不包括電橋電流)。比率式技術確保係統的精度和穩定性不依賴於基準電壓源。
低功耗、溫度補償式電橋信號調理器和驅動器電路
圖1.帶溫度補償的差分電橋型傳感器監控器(原理示意圖:未顯示所有連接和去耦)
電路描述
圖1所示電路基於24位Σ-Δ型ADCAD7793。該ADC有三路差分模擬輸入和一個增益範圍為單位增益到128的片內低噪聲PGA,因此非常適合多個傳感器接口。AD7793的最大功耗僅500μA,因而適合低功耗應用。它內置一個低噪聲、低漂移帶隙基準電壓源,也可采用外部差分基準電壓。輸出數據速率可通過軟件在4.17Hz至470Hz範圍內設置。
AD8420是一款低功耗儀表放大器,電源電流最大值為80μA,可以采用最高36V的單電源供電,用於消除橋式傳感器的共模電壓。需要時,它也可為傳感器的小差分信號輸出提供增益。
ADA4096-2是一款雙通道運算放大器,每個放大器的典型電源電流為60μA,具有最高30V的寬工作輸入電壓範圍,用於驅動傳感器電橋。ADA4096-2的另一半用作基準電壓緩衝器。
有很多種類的壓力傳感器需要5V至15V之間的電壓驅動。圖1所示電路為橋式傳感器提供了一種完整的解決方案,包含四個關鍵部分:傳感器電壓驅動、儀表放大器、基準電壓緩衝器和ADC。
橋式傳感器電壓驅動
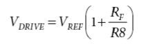
ADA4096-2配置為同相放大器,其配置增益由反饋電阻設置,如圖2所示。

增益通過配置表1列出的跳線來設置。

傳遞函數計算如下:
低功耗、溫度補償式電橋信號調理器和驅動器電路

其中,RF可以是40.2kΩ、91kΩ或140kΩ,R8=10kΩ。
NPN晶體管用於提高驅動橋式傳感器所需的電流。提供給ADA4096-2反相輸入端的反饋使得反相輸入電壓等於同相輸入電壓,從而確保橋式電路上的電壓驅動保持恒定的電壓。
晶體管Q1為BJT,最大擊穿電壓為80V,25°C時功耗為0.35W。集電極最大電流為500mA。
儀表放大器
AD8420抑製電橋處產生的共模電壓,僅放大差分電橋電壓,如圖3所示。AD8420具有與輸入共模電壓完全無關的軌到軌輸出電壓擺幅。該特性使得AD8420擺脫了大多數傳統儀表放大器架構存在的、共模輸入和輸出電壓之間交互作用導致的多種限製。該儀表放大器的增益設置為1。

AD8420的輸入端有一個差模噪聲濾波器(20kΩ/1μF/100nF),其帶寬為7.6Hz,還有一個共模噪聲濾波器(10kΩ/100nF),其帶寬為150Hz。
傳統儀表放大器架構需要使用低阻抗源驅動基準電壓引腳,基準電壓引腳上的任何阻抗都會降低共模抑製比(CMRR)和增益精度。而對於AD8420架構,基準電壓引腳上的電阻對CMRR無影響。AD8420的傳遞函數為:
VOUT= G (VIN+- VIN-) + VREF
其中:
VREF= 1.05 V
G = 1 + (R12/R10)
在-40°C至+85°C溫度範圍內,AD8420差分輸入電壓在內部被二極管限製在±1V。如果輸入電壓超過此限值,內部二極管就會開始傳導並消耗電流。電流在內部被限製在保證AD8420安全的值。
基準電壓緩衝器
AD7793產生的210μA激勵電流通過5kΩ電阻,如圖4所示。這將產生1.05V基準電壓,然後由ADA4096-2緩衝。緩衝器的輸出驅動AD7793和AD8420的基準電壓源。該電路是比率式,因此,5kΩ電阻上的電壓變化(由AD7793產生的210μA激勵電流的5%容差導致)所引起的誤差非常小。該緩衝基準電壓還驅動放大器以設置橋式傳感器的電壓驅動(參見圖2)。

ADC通道1配置:橋式傳感器
AD7793的通道1測量AD8420的橋式傳感器輸出。外部VREF(1.05V)用作基準電壓,因此,AD7793的輸入電壓範圍是±1.05V,以+1.05V共模電壓為中心。
ADC通道2配置:溫度傳感器
AD7793的第二通道監控電阻溫度檢測器(RTD)上產生的電壓,該RTD由210μA激勵電流驅動,如圖5所示。
盡管100Ω鉑RTD十分常見,但也可指定其他電阻(200Ω、500Ω、1000Ω等)和材料(鎳、銅、鎳鐵)。本應用采用100ΩDIN43,760A類RTD。

圖5所示的4線(開爾文)連接可消除RTD引腳電阻效應。注意:利用鏈路P3和鏈路P4,也可以使用2線、3線或4線配置,如表2所示。

如果不需要溫度補償,可利用鏈路P9旁路RTD。
輸出編碼
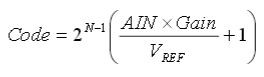
任一通道上輸入電壓的輸出代碼為:

其中:
AIN=AIN(+)AIN(-)=AIN(+)VREF
Gain為PGA增益設置,N=24。
電源電壓要求
為使電路正常工作,電源電壓VCC必須大於6V,以便為橋式傳感器提供最低5V驅動。
係統校準
有多種方法可執行壓力傳感器溫度校準。本應用采用四點校準程序。SiliconMicrostructures,Inc.(位於美國加利福尼亞州苗必達市)的AN13-01(恒定電壓下MEMS壓力傳感器的主動溫度補償和校準)為校準程序提供了很好的參考。
測試數據與結果
係統噪聲
全部數據捕獲操作都通過CN-0355評估軟件實現。
為捕獲評估板噪聲,進行了兩次設置測量。第一次測量如圖6所示,在AD8420輸入短路的條件下進行,因而測量的是AD8420和AD7793的峰峰值噪聲。進行了1000次采樣,獲得的代碼分布約有100個代碼,相當於12.5μV的峰峰值噪聲;或者對於2.1V的滿量程範圍,相當於17.36個無噪聲位。

圖6.輸出代碼分布直方圖(100個代碼,AD8420輸入引腳短路)
第二次測量是利用HoneywellNSCSANN600MGUNV壓力計傳感器進行,它連接到評估板。板上安裝的該壓力傳感器未經放大和補償,電壓驅動器設置為10.1V。此測試有效展示了整個係統產生的噪聲,包括傳感器噪聲,如圖7所示。進行了1000次采樣,獲得的代碼分布約有120個代碼,相當於15μV的峰峰值噪聲;或者對於2.1V的滿量程範圍,相當於17.1個無噪聲位。

圖7.輸出代碼分布直方圖(120個代碼,連接壓力傳感器)
係統功耗
表3顯示了係統的總功耗,不包括壓力傳感器的功耗。

HoneywellNSCSANN600MGUNV壓力傳感器具有大約3kΩ的阻抗,會使表3所示的總功耗增加大約3.36mA。
用更低的電流(如10μA)驅動RTD,同時采用更高的RTD電阻值(如1kΩ),可進一步降低係統的功耗。
有源元件的誤差分析
係統中的有源元件AD8420和ADA4096-2引起的最大誤差及和方根(RSS)誤差如表4所示。

總電路精度
對電阻容差導致的總誤差的合理近似推算是假設每個關鍵電阻對總誤差貢獻都相等。兩個關鍵電阻是R8和R19、R20、R21中的任一個。0.1%的最差情況下電阻容差可造成最大值0.2%的總電阻誤差。若假定RSS誤差,則總RSS誤差為0.1√2=0.14%。
電阻誤差與表4給出的元件誤差相加得到以下結果:
失調誤差=0.365%+0.1400%=0.505%
增益誤差=0.050%+0.1400%=0.190%
滿量程誤差=0.415%+0.1400%=0.555%
這些誤差使用以下假設:選用計算得到的電阻值,容差是僅有的誤差,傳感器的電壓驅動設置為10.1的增益。
線性度誤差是在-500mV到+500mV的輸入範圍測試,采用圖10所示的設置。總非線性誤差約為0.45%。非線性主要由AD8420的輸入跨導(gm)級引起。
總輸出誤差(%FSR)通過將實測輸出電壓與理想輸出電壓之差除以輸出電壓的FSR,然後乘以100得出。計算結果如圖8所示。


常見變化
其他合適的ADC有AD7792和AD7785,這兩款器件具有與AD7793相同的特性組合。不過,AD7792為16位ADC,AD7785為20位ADC。
AD8237是一款微功耗、零漂移、真正軌到軌儀表放大器,也可用於本電路配置的低電源電壓版本。
儀表放大器AD8226是另一個選擇,它能以更高的功耗(約525μA)實現更好的線性度。
對於需要低噪聲和低失調電壓的低電源電壓範圍應用,可以用雙通道AD8606取代ADA4096-2。雙通道AD8606具有極低失調電壓、低輸入電壓和電流噪聲以及寬信號帶寬等特性。它采用ADI公司的DigiTrim調整專利技術,無需激光調整便可達到出色的精度。
電路評估與測試
本電路采用EVAL-CN0355-PMDZ電路板、EVAL-SDP-CB1Z係統演示平台(SDP)評估板和SDP-PMD-IB1Z(一款針對SDP的PMOD轉接板)。SDP和SDP-PMD-IB1Z板具有120引腳的對接連接器,可以快速完成設置和電路性能評估。為了使用SDP-PMD-IB1Z和SDP評估EVAL-CN0355-PMDZ板,通過一個間距為100密爾、麵積為25平方密爾的標準直角引腳接頭連接器把EVAL-CN0355-PMDZ連接至SDP-PMD-IB1Z。
設備要求
為評估和測試CN-0355電路,需要如下設備:
帶USB端口的WindowsXP、WindowsVista(32位)或Windows7(32位)PC
EVAL-CN0355-PMDZ電路評估板
EVAL-SDP-CB1Z電路評估板
SDP-PMD-IB1Z轉接板
CN0355評估軟件
6V壁式電源適配器或其他電源
YokogawaGS200精密電壓源
AgilentE3631A電壓源
開始使用
將CN-0355評估軟件光盤放入PC,加載評估軟件。打開我的電腦,找到包含評估軟件光盤的驅動器,打開Readme文件。按照Readme文件中的說明安裝和使用評估軟件。
設置
CN-0355評估套件包括一張光盤,其中含有自安裝軟件。該軟件兼容WindowsXP(SP2)和Vista(32位和64位)。如果安裝文件未自動運行,可以運行光盤中的setup.exe文件。
請先安裝評估軟件,再將評估板和SDP板連接到PC的USB端口,確保PC能夠正確識別評估係統。
1.光盤文件安裝完畢後,為SDP-PMD-IB1Z評估板接通電源。用隨附電纜把SDP板(通過連接器A)連接到SDP-PMD-IB1Z評估板,然後連接到用於評估的PCUSB端口。
2.將EVAL-CN0355-PMDZ的12引腳直角公引腳接頭連接至SDP-PMD-IB1Z的12引腳直角母引腳接頭。
3.運行程序之前,將壓力傳感器端子和RTD傳感器連接至EVAL-CN0355-PMDZ的端子插孔中。
4.在接好並打開所有外設和電源之後,單擊圖形用戶界麵上的Run(運行)按鈕。當PC成功檢測到評估係統時,即可使用評估軟件對EVAL-CN0355-PMDZ電路板進行評估。
功能框圖
測試設置的功能框圖如圖10所示。該測試設置必須按圖中所示方式連接。

用AgilentE3631A和YokogawaGS200精密電壓源為評估板供電並模擬傳感器輸出。AgilentE3631A的通道CH1設置為24V以充當評估板的VCC電源,另一個通道CH2設置為5V以產生共模電壓。CH2與YokogawaGS200串聯,如圖7所示。Yokogowa通過1.5kΩ串聯電阻連接到評估板的輸入端子,該電阻模擬電橋阻抗。Yokogawa在儀表放大器輸入端產生±500mV(25°C時)差分輸入電壓,從而模擬傳感器輸出。
用CN-0355評估軟件捕獲來自EVAL-CN0355-PMDZ評估板的數據,得出圖8所示的線性度誤差,所用設置如圖10所示。
【推薦閱讀】
無電池式低功耗藍牙Beacon:采用能量采集技術的BLE
電壓模式、遲滯和基於遲滯:選擇哪一種呢?
如何降低MOSFET損耗並提升EMI性能
電路設計中電阻的選擇及其作用
DC/DC加強絕緣方案解決變頻器母線電壓監測難題
特別推薦
- 噪聲中提取真值!瑞盟科技推出MSA2240電流檢測芯片賦能多元高端測量場景
- 10MHz高頻運行!氮矽科技發布集成驅動GaN芯片,助力電源能效再攀新高
- 失真度僅0.002%!力芯微推出超低內阻、超低失真4PST模擬開關
- 一“芯”雙電!聖邦微電子發布雙輸出電源芯片,簡化AFE與音頻設計
- 一機適配萬端:金升陽推出1200W可編程電源,賦能高端裝備製造
技術文章更多>>
- 菲尼克斯電氣DIP產線獲授“IPC HERMES Demo Line”示範線
- 貿澤電子新品推薦:2026年第一季度引入超過9,000個新物料
- PROFINET牽手RS232:網關為RFID裝上“同聲傳譯”舊設備秒變智能
- 跨域無界 智馭未來——聯合電子北京車展之智能網聯篇
- 為AI尋找存儲新方案
技術白皮書下載更多>>
- 車規與基於V2X的車輛協同主動避撞技術展望
- 數字隔離助力新能源汽車安全隔離的新挑戰
- 汽車模塊拋負載的解決方案
- 車用連接器的安全創新應用
- Melexis Actuators Business Unit
- Position / Current Sensors - Triaxis Hall
熱門搜索
單向可控矽
刀開關
等離子顯示屏
低頻電感
低通濾波器
低音炮電路
滌綸電容
點膠設備
電池
電池管理係統
電磁蜂鳴器
電磁兼容
電磁爐危害
電動車
電動工具
電動汽車
電感
電工電路
電機控製
電解電容
電纜連接器
電力電子
電力繼電器
電力線通信
電流保險絲
電流表
電流傳感器
電流互感器
電路保護
電路圖


