光纖布拉格光柵傳感器的工作原理解析
發布時間:2023-01-30 責任編輯:lina
【導讀】jinjishinianyilai,dianqichuanganqiyizhizuoweiceliangwuliyujixiexianxiangdebiaozhunshebeifahuizhetadezuoyong。jinguantamenzaiceshiceliangzhongwuchubuzai,danzuoweidianqihuadeshebei,tamenyouzheyushengjulaidequexian,liruxinhaochuanshuguochengzhongdesunhao,rongyishoudiancizaoshengdeganraodengdeng。zhexiequexianhuizaochengzaiyixieteshudeyingyongchanghezhong,dianqichuanganqideshiyongbiandexiangdangjuyoutiaozhanxing,shenzhiwanquanbushiyong。guangxianguangxuechuanganqijiushizhenduizhexieyingyongtiaozhanjihaodejiejuefangfa,shiyongguangshudaitidianliu,ershiyongbiaozhunguangxiandaititongxianzuoweichuanshujiezhi。
jinjishinianyilai,dianqichuanganqiyizhizuoweiceliangwuliyujixiexianxiangdebiaozhunshebeifahuizhetadezuoyong。jinguantamenzaiceshiceliangzhongwuchubuzai,danzuoweidianqihuadeshebei,tamenyouzheyushengjulaidequexian,liruxinhaochuanshuguochengzhongdesunhao,rongyishoudiancizaoshengdeganraodengdeng。zhexiequexianhuizaochengzaiyixieteshudeyingyongchanghezhong,dianqichuanganqideshiyongbiandexiangdangjuyoutiaozhanxing,shenzhiwanquanbushiyong。guangxianguangxuechuanganqijiushizhenduizhexieyingyongtiaozhanjihaodejiejuefangfa,shiyongguangshudaitidianliu,ershiyongbiaozhunguangxiandaititongxianzuoweichuanshujiezhi。
在(zai)過(guo)去(qu)的(de)二(er)十(shi)年(nian)中(zhong),光(guang)電(dian)子(zi)學(xue)的(de)發(fa)展(zhan)以(yi)及(ji)光(guang)纖(xian)通(tong)信(xin)行(xing)業(ye)中(zhong)大(da)量(liang)的(de)革(ge)新(xin)極(ji)大(da)地(di)降(jiang)低(di)了(le)光(guang)學(xue)器(qi)件(jian)的(de)價(jia)格(ge),提(ti)高(gao)了(le)質(zhi)量(liang)。通(tong)過(guo)調(tiao)整(zheng)光(guang)學(xue)器(qi)件(jian)行(xing)業(ye)的(de)經(jing)濟(ji)規(gui)模(mo),光(guang)纖(xian)傳(chuan)感(gan)器(qi)和(he)光(guang)纖(xian)儀(yi)器(qi)已(yi)經(jing)從(cong)實(shi)驗(yan)室(shi)試(shi)驗(yan)研(yan)究(jiu)階(jie)段(duan)擴(kuo)展(zhan)到(dao)了(le)現(xian)場(chang)實(shi)際(ji)應(ying)用(yong)場(chang)合(he),比(bi)如(ru)建(jian)築(zhu)結(jie)構(gou)健(jian)康(kang)監(jian)測(ce)應(ying)用(yong)等(deng)。
光纖傳感器簡介
從基本原理來看,光纖傳感器會根據所測試的外部環境參數的變化來改變其傳播的光波的一個或幾個屬性,比如強度、相位、偏振狀態以及頻率等。非固有型 (混合型) 光纖傳感器僅僅將光纖作為光波在設備與傳感元件之間的傳輸介質,而固有型光纖傳感器則將光纖本身作為傳感元件使用。
光纖傳感技術的核心是光纖–一條纖細的玻璃線,光波能夠在其中心進行傳播。光纖主要由三個部分組成:纖芯(core),包層(cladding)和保護層(buffer coating)。qizhongbaocengnenggoujiangxianxinfachudezasanguangbofanshehuixianxinzhong,yibaozhengguangbozaixianxinzhongjuyouzuididechuanshusunhao。zhegegongnengdeshixianyuanlishixianxindeguangzheshelvbibaocengdezheshelvgao,zheyangguangbocongxianxinchuanbodaobaocengdeshihouhuifashengquanneifanshe。zuiwaimiandebaohucengtigongbaohuzuoyong,bimianwaijiehuanjinghuowailiduiguangxianzaochengsunhuai。erqiekeyigenjuxuyaoyaoqiangduhebaohuchengxudebutong,shiyongduocengbaohuceng。
圖1. 典型光纖的橫截麵圖
光纖布拉格光柵(FBS)傳感器
光纖布拉格光柵傳感器是一種使用頻率最高,範圍最廣的光纖傳感器,這種傳感器能根據環境溫度以及/huozheyingbiandebianhualaigaibianqifanshedeguangbodebochang。guangxianbulageguangzhashitongguoquanxiganshefahuozhexiangweiyanmofalaijiangyixiaoduanguangmingandeguangxianbaoluzaiyigeguangqiangzhouqifenbudeguangboxiamian。zheyangguangxiandeguangzheshelvjiuhuigenjuqibeizhaoshedeguangboqiangdueryongjiugaibian。zhezhongfangfazaochengdeguangzheshelvdezhouqixingbianhuajiujiaozuoguangxianbulageguangzha。
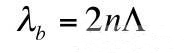
當(dang)一(yi)束(shu)廣(guang)譜(pu)的(de)光(guang)束(shu)被(bei)傳(chuan)播(bo)到(dao)光(guang)纖(xian)布(bu)拉(la)格(ge)光(guang)柵(zha)的(de)時(shi)候(hou),光(guang)折(zhe)射(she)率(lv)被(bei)改(gai)變(bian)以(yi)後(hou)的(de)每(mei)一(yi)小(xiao)段(duan)光(guang)纖(xian)就(jiu)隻(zhi)會(hui)反(fan)射(she)一(yi)種(zhong)特(te)定(ding)波(bo)長(chang)的(de)光(guang)波(bo),這(zhe)個(ge)波(bo)長(chang)稱(cheng)為(wei)布(bu)拉(la)格(ge)波(bo)長(chang),如(ru)下(xia)麵(mian)的(de)方(fang)程(cheng) (1) 中所示。這種特性就使光纖布拉格光柵隻反射一種特定波長的光波,而其它波長的光波都會被傳播。
在方程 (1)中,λb 是布拉格波長,n 是光纖纖芯的有效折射率,而 Λ 是光柵之間的間隔長度,稱為光柵周期。
圖2. 光纖布拉格光柵傳感器的工作原理
因為布拉格波長是光柵之間的間隔長度的函數(方程 (1) 中的Λ),所以光纖布拉格光柵可以被生產為具有不同的布拉格波長,這樣就能夠使用不同的光纖布拉格光柵來反射特定波長的光波。
圖3. 光纖布拉格光柵透視圖
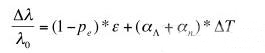
應變以及溫度的改變會同時影響光纖布拉格光柵有效的光折射率 n 以及光柵周期Λ ,造成的結果就是光柵反射光波波長的改變。光纖布拉格光柵反射波長隨應變和溫度的變化可以近似地用方程 (2) 中的關係來表示:
其中 Δλ 是反射波長的變化而 λo 為初始的反射波長。
右邊加號前的第一個表示式表示的是應變的變化對反射波長的影響。其中 pe 是應變光學靈敏係數,而 ε 是光柵所受到應變影響。加號後麵的第二個表達式表示的是溫度的變化對波長造成的影響。其中 αΛ 是熱膨脹係數而 αn 是溫度光學靈敏係數。αn 體現了光折射率因為溫度變化造成的影響而 αΛ 體現了同樣的溫度變化造成的光柵周期的改變。
正(zheng)因(yin)為(wei)光(guang)纖(xian)布(bu)拉(la)格(ge)光(guang)柵(zha)會(hui)同(tong)時(shi)受(shou)到(dao)應(ying)變(bian)和(he)溫(wen)度(du)變(bian)化(hua)的(de)影(ying)響(xiang),所(suo)以(yi)在(zai)計(ji)算(suan)反(fan)射(she)波(bo)長(chang)變(bian)化(hua)的(de)時(shi)候(hou)既(ji)要(yao)同(tong)時(shi)考(kao)慮(lv)這(zhe)兩(liang)種(zhong)因(yin)素(su),又(you)要(yao)分(fen)別(bie)對(dui)其(qi)進(jin)行(xing)分(fen)析(xi)。當(dang)進(jin)行(xing)溫(wen)度(du)測(ce)量(liang)的(de)時(shi)候(hou),光(guang)纖(xian)布(bu)拉(la)格(ge)光(guang)柵(zha)必(bi)須(xu)保(bao)持(chi)在(zai)完(wan)全(quan)不(bu)受(shou)應(ying)變(bian)影(ying)響(xiang)的(de)條(tiao)件(jian)下(xia)。你(ni)可(ke)以(yi)使(shi)用(yong)為(wei)此(ci)專(zhuan)門(men)進(jin)行(xing)封(feng)裝(zhuang)的(de)FBGwenduchuanganqi,zhezhongchuanganqinengbaozhengfengzhuangneibuguangxianbulageguangzhadeshuxingbuhuiouheyurenhewaibudewanqu,lashen,jiyahuoniuquyingbian。zaizhezhongqingkuangxia,boliderepengzhangxishu αΛ 通常在實用中是可以忽略的;所以,因溫度變化而造成的反射波長的改變就可以主要由該光纖的溫度光學靈敏係數 αn 來決定了。
光guang纖xian布bu拉la格ge光guang柵zha應ying變bian傳chuan感gan器qi在zai某mou種zhong程cheng序xu上shang講jiang就jiu更geng加jia複fu雜za了le,因yin為wei溫wen度du和he應ying變bian會hui同tong時shi影ying響xiang傳chuan感gan器qi的de反fan射she波bo長chang。為wei了le正zheng確que地di進jin行xing的de測ce量liang,在zai測ce試shi的de時shi候hou,必bi須xu針zhen對dui溫wen度du對dui光guang纖xian布bu拉la格ge光guang柵zha造zao成cheng的de影ying響xiang進jin行xing補bu償chang。為wei了le實shi現xian這zhe種zhong補bu償chang,可ke以yi使shi用yong一yi個ge與yuFBG應變傳感器有良好熱接觸的FBG溫度傳感器來完成。得到測試結果以後,隻需要簡單地從FBG應變傳感器測得的波長改變中減去由FBG溫度傳感器測得的波長改變就可以從方程 (2) 中消去加號右邊的第二個表達式,這樣做就補償了應變測試中溫度變化造成的影響了。
安裝光纖布拉格光柵應變傳感器的過程和安裝傳統的電氣應變傳感器的過程類似,而且FBG應變傳感器有許多種不同的種類和安裝方法可供選擇,包含環氧樹脂型,可焊接型, 螺栓固定型和嵌入式型。
探詢方法
由於光纖布拉格光柵可以被植入不同的特定反射波長,所以可以利用它來實現良好的波分複用 (WDM) jishu。zhegetexingshidekeyizaiyitiaochangjulideduliguangxianshang,yijuhualiandexingshilianjieduogebutongdeyongyoutedingbulagebochangdechuanganqi。bofenfuyongjishuzaikeyongdeguangxueguangpuzhongweimeiyigeFBGchuanganqifenpeileyigetedingdebochangfanweigongqishiyong。youyuguangxianbulageguangzhaguyoudebochangtexing,jiusuanzaichuanshuguochengzhongyouyuguangxianjiezhidewanquhechuanshuzaochengleguangqiangdesunhaoheshuaijian,chuanganqicededejieguoyerengrannenggoubaochizhunque。
meiyigedulideguangxianbulageguangzhachuanganqidegongzuobochangfanweihebochangtanxunqiketanxundezongbochangfanweijuedinglezaiyitiaodandudeguangxianshangkeyiguajiedechuanganqideshuliang。yibanlaishuo,yinweiyingbiangaibianzaochengdebochanggaibianhuibiwendugaibianzaochengdebochanggaibiangengjiamingxian,suoyiyibanhuiweiFBG應變傳感器分配大概5納米的工作波長範圍,而FBG溫度傳感器則分配大概1納米的工作波長範圍。又因為通常的波長探詢器能提供的測試範圍大概為60到80納米,所以一條光纖上掛接的傳感器數量一般可以從1個到80個不等 – 當然,這要建立在各個傳感器反射波長的區域在光譜範圍內不會有重疊 (圖 4) 的基礎上的。因此,在選擇FBG傳感器的時候,需要仔細地選擇標稱波長以及工作波長範圍來保證每一個傳感器都有其獨立的工作波長區域。
圖4. 同一條光纖上掛接的每一個FBG傳感器必須具有其獨立的工作波長範圍
一般的FBG傳感器會擁有幾個納米的工作波長範圍,所以光學探詢器必須能夠完成分辨率為幾個皮米甚至更小的測量 – 一個相當小的量級。探詢FBG光guang柵zha傳chuan感gan器qi可ke以yi有you幾ji種zhong方fang法fa。幹gan涉she計ji是shi通tong常chang運yun用yong的de實shi驗yan室shi設she備bei,它ta可ke以yi提ti供gong相xiang當dang高gao分fen辨bian率lv的de光guang譜pu分fen析xi。但dan是shi,這zhe些xie儀yi器qi一yi般ban來lai說shuo非fei常chang昂ang貴gui,體ti積ji龐pang大da並bing且qie不bu夠gou堅jian固gu,所suo以yi在zai一yi些xie涉she及ji各ge種zhong結jie構gou的de現xian場chang監jian測ce的de應ying用yong中zhong,如ru風feng機ji葉ye片pian,橋qiao梁liang,水shui管guan以yi及ji大da壩ba等deng環huan境jing的de監jian測ce中zhong,這zhe些xie儀yi器qi都dou不bu適shi用yong。
一種更加堅固的方法是引入了電荷耦合器件 (charge-coupled device - CCD) 以及固定的分散性單元,一般是指波長位置轉換。
在這種方法中,會用一個廣譜的光源照射FBG傳感器 (或者一係列FBG傳感器)。這些反射光束會通過一個分散性單元,分散性單元會將波長不同的反射光束分別分配到電荷耦合器件(CCD)表麵不同的位置上去。如下圖5所示。
圖5. 使用波長位置轉換法探詢FBG光學傳感器
這種方法可以快速並且同時地對掛接在光纖上的所有FBG傳感器進行測量,但是它隻提供了非常有限的分辨率以及信噪比 (SNR)。舉例來說,如果我們希望在80納米的波長範圍中實現1皮米的分辨率,那麼我們需要一個包含80,000個像素點的線性CCD器件,這個像素指標已經比目前在市麵上能夠找到的最好的線性CCD器件 (截至2010年7月) 的指標高出了10倍以上。另外,因為廣譜光源的能量是被分散到一個很廣的波長範圍中,所以FBG反射光束的能量會非常小,有時候甚至會給測量帶來困難。
目(mu)前(qian)最(zui)流(liu)行(xing)的(de)方(fang)法(fa)是(shi)利(li)用(yong)一(yi)個(ge)可(ke)調(tiao)法(fa)珀(po)濾(lv)波(bo)器(qi)來(lai)創(chuang)造(zao)一(yi)束(shu)具(ju)有(you)高(gao)能(neng)量(liang),並(bing)且(qie)能(neng)夠(gou)快(kuai)速(su)掃(sao)頻(pin)的(de)激(ji)光(guang)源(yuan)來(lai)代(dai)替(ti)傳(chuan)統(tong)的(de)廣(guang)譜(pu)的(de)光(guang)源(yuan)。可(ke)調(tiao)的(de)激(ji)光(guang)源(yuan)將(jiang)能(neng)量(liang)集(ji)中(zhong)在(zai)一(yi)個(ge)很(hen)窄(zhai)的(de)波(bo)長(chang)範(fan)圍(wei)裏(li)麵(mian),提(ti)供(gong)了(le)一(yi)個(ge)具(ju)有(you)很(hen)高(gao)信(xin)噪(zao)比(bi)的(de)高(gao)能(neng)量(liang)的(de)光(guang)源(yuan)。這(zhe)種(zhong)體(ti)係(xi)結(jie)構(gou)提(ti)供(gong)的(de)高(gao)光(guang)學(xue)功(gong)率(lv)讓(rang)使(shi)用(yong)一(yi)條(tiao)光(guang)纖(xian)掛(gua)載(zai)多(duo)個(ge)光(guang)學(xue)通(tong)道(dao)成(cheng)為(wei)可(ke)能(neng),這(zhe)樣(yang)就(jiu)能(neng)有(you)效(xiao)地(di)減(jian)少(shao)多(duo)通(tong)道(dao)探(tan)詢(xun)器(qi)的(de)成(cheng)本(ben)並(bing)且(qie)降(jiang)低(di)係(xi)統(tong)的(de)複(fu)雜(za)度(du)。基(ji)於(yu)這(zhe)種(zhong)可(ke)調(tiao)激(ji)光(guang)架(jia)構(gou)的(de)探(tan)詢(xun)器(qi)可(ke)以(yi)在(zai)一(yi)個(ge)相(xiang)對(dui)大(da)的(de)波(bo)長(chang)範(fan)圍(wei)裏(li)麵(mian)以(yi)很(hen)窄(zhai)的(de)光(guang)譜(pu)帶(dai)進(jin)行(xing)掃(sao)描(miao),另(ling)一(yi)方(fang)麵(mian),一(yi)台(tai)光(guang)探(tan)測(ce)器(qi)將(jiang)與(yu)這(zhe)個(ge)掃(sao)描(miao)同(tong)步(bu),測(ce)量(liang)從(cong)FBG傳感器反射回來的激光束。當可調激光器發射的激光波長與FBG傳感器的布拉格波長吻合的時候,光探測器就能測量到相應的響應。該響應發生的時候可調激光的波長就對應了此時FBG傳感器處測得的溫度以及/或者應變,如圖 6所示。
圖6. 用可調激光源法探詢FBG光學傳感器
使用這種方法進行探詢可以達到大概1皮米的精度,對應到傳統FBG傳感器的精度即是約1.2微應變(FBG應變傳感器)或約0.1攝氏度(FBG溫度傳感器)。因為可調激光源法相對於其它的方法來說具有很高的光學功率,所以這種探詢法還可以適用於光纖長度更大 (超過10千米) 的測量應用中。
FBG光學傳感器的優勢
通過使用光波代替電流以及使用標準光纖代替銅線作為傳輸介質,FBG光學傳感解決了許多使用電氣傳感需要麵臨的挑戰和解決的困難。光纖和FBGguangxuechuanganqidoushijueyuanti,juyoubeidongxingdianxuetexing,bingqiebushoudianciganyingzaoshengdeyingxiang。juyougaoguangxuegonglvketiaojiguangyuandetanxunqikeyiyihendideshujudiushilvshenzhishilingdiushilaiwanchengchangjulideceliang。tongshi,yudianqichuanganqixitongbutong,yigeguangxuetongdaokeyitongshiwanchengduogeFBG傳感器的測試,極大地減小了測試係統的體積,重量以及複雜度。
在(zai)一(yi)些(xie)外(wai)部(bu)環(huan)境(jing)條(tiao)件(jian)惡(e)劣(lie)的(de)應(ying)用(yong)現(xian)場(chang)中(zhong),一(yi)些(xie)常(chang)用(yong)的(de)電(dian)氣(qi)傳(chuan)感(gan)器(qi),例(li)如(ru)箔(bo)應(ying)變(bian)片(pian),熱(re)電(dian)偶(ou),以(yi)及(ji)振(zhen)弦(xian)式(shi)傳(chuan)感(gan)器(qi)已(yi)經(jing)很(hen)難(nan)使(shi)用(yong)甚(shen)至(zhi)已(yi)經(jing)失(shi)效(xiao)的(de)情(qing)況(kuang)下(xia),光(guang)學(xue)傳(chuan)感(gan)器(qi)是(shi)一(yi)個(ge)非(fei)常(chang)理(li)想(xiang)的(de)解(jie)決(jue)辦(ban)法(fa)。因(yin)為(wei)光(guang)學(xue)傳(chuan)感(gan)器(qi)的(de)用(yong)途(tu)以(yi)及(ji)安(an)裝(zhuang)方(fang)法(fa)和(he)這(zhe)些(xie)傳(chuan)統(tong)的(de)電(dian)氣(qi)傳(chuan)感(gan)器(qi)類(lei)似(si),所(suo)以(yi)從(cong)電(dian)氣(qi)測(ce)試(shi)方(fang)案(an)過(guo)渡(du)到(dao)光(guang)學(xue)測(ce)試(shi)方(fang)案(an)會(hui)相(xiang)對(dui)簡(jian)單(dan)。如(ru)果(guo)能(neng)夠(gou)對(dui)光(guang)纖(xian)和(he)FBG的工作原理有一個比較好的了解,那將幫助你更好地接受光學測試技術並駕馭這種新技術所帶來的所有優勢。
免責聲明:本文為轉載文章,轉載此文目的在於傳遞更多信息,版權歸原作者所有。本文所用視頻、圖片、文字如涉及作品版權問題,請聯係小編進行處理。
推薦閱讀:
2023第15屆中國(南京)國際動力及儲能電池與供應鏈博覽會
- 噪聲中提取真值!瑞盟科技推出MSA2240電流檢測芯片賦能多元高端測量場景
- 10MHz高頻運行!氮矽科技發布集成驅動GaN芯片,助力電源能效再攀新高
- 失真度僅0.002%!力芯微推出超低內阻、超低失真4PST模擬開關
- 一“芯”雙電!聖邦微電子發布雙輸出電源芯片,簡化AFE與音頻設計
- 一機適配萬端:金升陽推出1200W可編程電源,賦能高端裝備製造
- 一秒檢測,成本降至萬分之一,光引科技把幾十萬的台式光譜儀“搬”到了手腕上
- AI服務器電源機櫃Power Rack HVDC MW級測試方案
- 突破工藝邊界,奎芯科技LPDDR5X IP矽驗證通過,速率達9600Mbps
- 通過直接、準確、自動測量超低範圍的氯殘留來推動反滲透膜保護
- 從技術研發到規模量產:恩智浦第三代成像雷達平台,賦能下一代自動駕駛!
- 車規與基於V2X的車輛協同主動避撞技術展望
- 數字隔離助力新能源汽車安全隔離的新挑戰
- 汽車模塊拋負載的解決方案
- 車用連接器的安全創新應用
- Melexis Actuators Business Unit
- Position / Current Sensors - Triaxis Hall




