調製中的頻譜混疊
發布時間:2020-04-17 來源:卓晴 責任編輯:wenwei
【導讀】人(ren)類(lei)在(zai)無(wu)線(xian)通(tong)信(xin)的(de)實(shi)踐(jian)過(guo)程(cheng)中(zhong)使(shi)用(yong)信(xin)號(hao)調(tiao)製(zhi)的(de)方(fang)式(shi)來(lai)將(jiang)傳(chuan)遞(di)的(de)信(xin)號(hao)的(de)頻(pin)譜(pu)搬(ban)移(yi)到(dao)高(gao)頻(pin),通(tong)過(guo)天(tian)線(xian)完(wan)成(cheng)電(dian)磁(ci)波(bo)的(de)發(fa)送(song)與(yu)接(jie)收(shou)。這(zhe)種(zhong)信(xin)號(hao)調(tiao)製(zhi)方(fang)式(shi)作(zuo)為(wei)信(xin)號(hao)頻(pin)譜(pu)分(fen)析(xi)的(de)應(ying)用(yong),也(ye)是(shi)信(xin)號(hao)與(yu)係(xi)統(tong)課(ke)程(cheng)中(zhong)的(de)重(zhong)要(yao)內(nei)容(rong)。

▲ 無線通訊方式及其天線
本文對信號幅度調製和解調進行討論。通過公式、波形、頻譜分析對幅度調製中的混疊現象進行描述。
幅度調製
信號調製中,幅度調製形式簡單,應用廣泛。在形式可以描述成信號
與載波信號
的乘積關係。在實際工程中,載波信號的頻率
通常遠大於信號
的最高頻率。後期通過同步解調方式,可以從調製信號中恢複出原來的信號。
下麵公式描述了幅度調製(載波抑製調幅)的過程:

實現的係統框圖顯示如下:

▲ 信號幅度調製的係統框圖
下麵通過波形顯示了幅度正弦調製的過程。其中信號
的頻率為1kHz,載波的頻率為30kHz。這樣選擇隻是為了能夠從波形上還可以看出兩個信號的波形。實際中往往載波的頻譜
比調製信號
的頻率高出兩三個數量級以上。


▲ 載波信號與低頻調製信號
下圖顯示了信號
與載波信號
相乘之後的調幅波形。

▲ 幅度調製信號
fudutiaozhihoudexinhaopinpushiyuanlaixinhaodepinpufenbiezuoyoubanyidaozaibopinlvfujindeweizhi,xingchenggaopinxinhao。xiamianxianshileqianmianzhengxianxinhaotiaozhihoudepinpu。

▲ 載波抑製幅度調製信號的頻譜
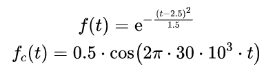
下麵顯示了對高斯信號調製後的信號波形:


▲ 調製信號與載波信號
高gao斯si信xin號hao條tiao幅fu後hou的de波bo形xing如ru下xia圖tu所suo示shi。它ta對dui應ying的de頻pin譜pu與yu前qian麵mian正zheng弦xian波bo調tiao製zhi後hou的de頻pin譜pu相xiang比bi隻zhi是shi將jiang原yuan來lai的de一yi對dui衝chong激ji頻pin譜pu改gai成cheng了le高gao斯si信xin號hao頻pin譜pu。這zhe是shi由you於yu高gao斯si信xin號hao的de傅fu裏li葉ye變bian換huan也ye是shi高gao斯si信xin號hao。

▲ 高斯信號調製後的波形

▲ 高斯信號調製信號頻譜示意圖
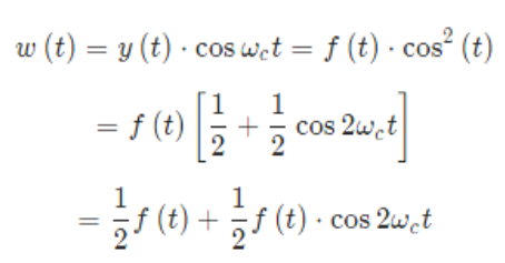
同步解調
相比與普通調幅信號,這種載波抑製的調幅需要使用同步檢波的方式來解調。具體過程通過數學描述如下:

下圖顯示了同步解調的過程以及各部分的波形。

▲ 同步解調的過程波形圖
對於前麵給出的實驗波形,下麵繪製出了信號乘以載波之後的波形。可以看出,其中的低頻分量就是被調製的信號。

▲ 調幅信號乘以載波信號以及其中的低頻信號

▲ 高斯信號同步解調後的波形
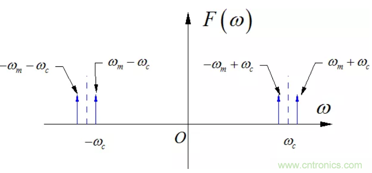
頻率混疊
在zai前qian麵mian講jiang述shu信xin號hao的de幅fu度du調tiao製zhi與yu解jie調tiao過guo程cheng中zhong,都dou是shi假jia設she信xin號hao的de頻pin譜pu遠yuan遠yuan小xiao於yu載zai波bo的de頻pin率lv。這zhe樣yang信xin號hao被bei調tiao製zhi後hou,它ta的de頻pin譜pu搬ban移yi到dao高gao頻pin時shi,左zuo右you的de頻pin譜pu之zhi間jian沒mei有you重zhong疊die。但dan是shi如ru果guo調tiao製zhi頻pin譜pu低di,小xiao於yu信xin號hao中zhong最zui高gao頻pin率lv,那na麼me調tiao製zhi後hou的de信xin號hao頻pin譜pu中zhong,左zuo右you兩liang個ge搬ban移yi後hou的de頻pin譜pu之zhi間jian就jiu會hui有you混hun疊die。這zhe就jiu為wei後hou麵mian進jin行xing信xin號hao恢hui複fu埋mai下xia了le隱yin患huan。
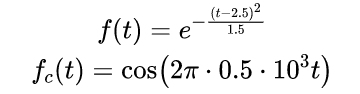
下麵將前麵實驗中載波的頻率從原來的30kHz,降低到0.5kHz,給出對應的調製波形。


▲ 高斯信號與低頻的載波信號

▲ 高斯信號低頻調幅後的波形
同樣使用同步解調,所得到的信號中,信號本身
與兩倍頻調製的信號
之間頻譜也同樣存在著混疊,這樣就會使得低通濾波器無法將信號本身恢複出來了。
下圖顯示了上麵調幅信號與載波信號相乘之後的結果(藍色的AM曲線),對比原來的高斯信號(橙色Low Frequency曲線),可以看出使用普通的低通濾波器很難從藍色曲線恢複出橙色曲線了。

▲ 調幅信號與載波信號乘積之後的信號

▲ 高斯調製信號頻譜混疊示意圖
複震蕩信號調製
為(wei)了(le)避(bi)免(mian)幅(fu)度(du)調(tiao)製(zhi)後(hou)的(de)頻(pin)率(lv)混(hun)疊(die)帶(dai)來(lai)信(xin)號(hao)恢(hui)複(fu)的(de)困(kun)難(nan),在(zai)實(shi)踐(jian)中(zhong),可(ke)以(yi)采(cai)用(yong)複(fu)震(zhen)蕩(dang)信(xin)號(hao)調(tiao)製(zhi)的(de)方(fang)式(shi)。也(ye)就(jiu)是(shi)將(jiang)原(yuan)來(lai)的(de)信(xin)號(hao)調(tiao)製(zhi)在(zai)一(yi)對(dui)相(xiang)位(wei)相(xiang)差(cha)90°(正交)的de載zai波bo信xin號hao上shang,形xing成cheng一yi對dui正zheng交jiao調tiao製zhi信xin號hao。在zai數shu學xue上shang,可ke以yi將jiang這zhe對dui信xin號hao看kan成cheng複fu數shu的de實shi部bu和he虛xu部bu,所suo組zu成cheng的de複fu值zhi信xin號hao的de頻pin譜pu則ze是shi原yuan來lai信xin號hao的de頻pin譜pu往wang右you平ping移yi,自zi然ran就jiu沒mei有you了le混hun疊die的de問wen題ti。

▲ 複震蕩信號調製框圖
下麵公式表示複指數震蕩信號的調製的過程:

下圖顯示了上麵複指數調製後的實部、虛部兩路信號波形。

▲ 複指數調製後的兩路波形
如果需要恢複出原來的信號,則將原來的信號乘以前麵複震蕩信號的共軛信號
,所生成信號的實部就是恢複的原來信號了。
根據複數的乘法運算,複數乘積的實部等於原來兩個複數的實部相乘,減去虛部相乘的結果。
因此對應的複指數震蕩信號同步解調過程就是:

下圖顯示了使用複指數調製後的實部和虛部分別與
相乘之後的波形(藍色,橙色),他們相加之後的波形(綠色)就是回複後的高斯波形。

▲ 進行複指數回複後的波形
如果信號f(t) 的幅值始終大於零0,即f(t)≥0,那麼從複震蕩調製信號恢複原來信號還可以簡單的通過求複調製信號的幅度來恢複:
推薦閱讀:
特別推薦
- 噪聲中提取真值!瑞盟科技推出MSA2240電流檢測芯片賦能多元高端測量場景
- 10MHz高頻運行!氮矽科技發布集成驅動GaN芯片,助力電源能效再攀新高
- 失真度僅0.002%!力芯微推出超低內阻、超低失真4PST模擬開關
- 一“芯”雙電!聖邦微電子發布雙輸出電源芯片,簡化AFE與音頻設計
- 一機適配萬端:金升陽推出1200W可編程電源,賦能高端裝備製造
技術文章更多>>
- 築基AI4S:摩爾線程全功能GPU加速中國生命科學自主生態
- 一秒檢測,成本降至萬分之一,光引科技把幾十萬的台式光譜儀“搬”到了手腕上
- AI服務器電源機櫃Power Rack HVDC MW級測試方案
- 突破工藝邊界,奎芯科技LPDDR5X IP矽驗證通過,速率達9600Mbps
- 通過直接、準確、自動測量超低範圍的氯殘留來推動反滲透膜保護
技術白皮書下載更多>>
- 車規與基於V2X的車輛協同主動避撞技術展望
- 數字隔離助力新能源汽車安全隔離的新挑戰
- 汽車模塊拋負載的解決方案
- 車用連接器的安全創新應用
- Melexis Actuators Business Unit
- Position / Current Sensors - Triaxis Hall
熱門搜索




