共模電感差模分量計算
發布時間:2019-01-31 責任編輯:wenwei
【導讀】理(li)想(xiang)的(de)共(gong)模(mo)電(dian)感(gan)流(liu)過(guo)對(dui)稱(cheng)的(de)電(dian)流(liu)是(shi)不(bu)會(hui)出(chu)現(xian)飽(bao)和(he)的(de),但(dan)實(shi)際(ji)應(ying)用(yong)的(de)共(gong)模(mo)電(dian)感(gan)由(you)於(yu)其(qi)差(cha)模(mo)分(fen)量(liang)的(de)存(cun)在(zai),在(zai)流(liu)經(jing)較(jiao)大(da)的(de)電(dian)流(liu)時(shi),仍(reng)有(you)可(ke)能(neng)出(chu)現(xian)飽(bao)和(he)。

一、等效模型
假設共模電感兩繞組對稱繞製,當兩繞組流過大小相等方向相反的電流時,其磁通如下所示:

圖 1 共模電感通過差模電流時的磁通示意圖
對於每個繞組而言,它產生的磁通總可以分成兩部分:
1.沒有耦合到鄰近繞組的磁通,該磁通流經磁芯(繞組內部)並經空氣形成閉環,即漏磁通(差模電感)。
2.通過磁芯耦合到鄰近繞組的磁通。由於兩個繞組所產生的該部分磁通總是大小相等方向相反,因此其總合為0,對自感沒有貢獻。
因此,對於差模磁通而言,可以等效為兩個棒狀電感串聯。

圖 2 共模電感差模分量的等效模型
從該等效模型我們可以得到:
● 差模電感Ldm為兩個繞組各自的自感;將兩繞組同側短路,對另一側端口所測量的電感量Ltest為兩差模電感之和,即Ltest=2Ldm。
● 被線圈覆蓋部分的磁芯總有磁通流過,且有LdmIdm=NØ。
● 兩繞組產生的自感磁通相互“隔離”。兩繞組自感對磁通的貢獻不能相互疊加。
二、共模電感差模分量的計算
1.計算環形空氣芯的電感量:

2.乘以棒狀電感(半個磁環)的等效磁導率
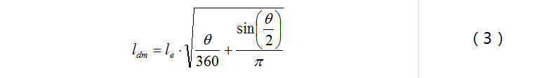
從圖1可以看出,差模磁通(漏磁通)並不是完全被束縛在磁芯裏麵,而是有兩部分組成:磁芯裏麵和磁芯外麵。磁路長度為:

其中,θ為繞組在磁芯上所覆蓋的長度對圓心所張開的角度。

圖3 差模電感量磁路長度計算模型
然而漏磁通並不僅僅隻存在於磁環的內側,同樣,磁環的外側也存在著一部分漏磁通,因此,根據經驗對上式修正為:

即

等效相對磁導率是一個與磁芯相對磁導率關的參數,差模電感的等效相對磁導率是一個隻跟磁芯幾何參數有關的量。

其中,
le為廠商所提供的環形磁芯的有效磁路長度;
d為與磁芯有效截麵Ae麵積相等的圓的直徑;
綜上所述:
共模電感的差模分量可以按下式進行估算:

三、實驗驗證
為了驗證上述模型的正確性,進行了下述實驗:
1.共模電感差模分量的計算
● 測試條件:
(1)磁芯:R7K T25/15/1;
(2)儀器:LCR表;
(3)測試頻率:100KHz;
(4)測試信號幅值:1V;
(5)直流偏置:0A。
● 測試方法: 將共模電感兩繞組的其中一側短接,然後再對另一側進行測量,由上述模型可知,所測得的電感量為差模電感量的兩倍。

2. 驗證差模分量是否會使電感飽和
● 實驗條件:
(1)磁芯:R7K T25/15/7.5;
(2)匝數:50;
(3)儀器:LCR表;
(4)測試頻率:100KHz;
(5)測試信號幅值:1V;
(6)直流偏置:8A。
● 理論計算:

● 測試方法: 將共模電感兩繞組的其中一側短接,然後再對另一側進行測量:在8A的直流偏置下,不同溫度下的差模電感量如下:

結果:在110℃,該共模電感流過8A的電流時出現了飽和。
四、結論
1.共模電感的差模分量所產生的磁通雖然隻流經磁芯的一部分,但隻要該磁通密度足夠大(在高溫大電流下)也會使電感飽和;
2.當電感工作的最大磁通密度Bm>0.6Bsat(在60℃時,Bsat約為0.35T)時,磁芯的u值/電感量開始下降。為了保證電感工作在磁芯磁化曲線的“膝部”以下,在設計時應留有充足的裕量。
推薦閱讀:
特別推薦
- 噪聲中提取真值!瑞盟科技推出MSA2240電流檢測芯片賦能多元高端測量場景
- 10MHz高頻運行!氮矽科技發布集成驅動GaN芯片,助力電源能效再攀新高
- 失真度僅0.002%!力芯微推出超低內阻、超低失真4PST模擬開關
- 一“芯”雙電!聖邦微電子發布雙輸出電源芯片,簡化AFE與音頻設計
- 一機適配萬端:金升陽推出1200W可編程電源,賦能高端裝備製造
技術文章更多>>
- 築基AI4S:摩爾線程全功能GPU加速中國生命科學自主生態
- 一秒檢測,成本降至萬分之一,光引科技把幾十萬的台式光譜儀“搬”到了手腕上
- AI服務器電源機櫃Power Rack HVDC MW級測試方案
- 突破工藝邊界,奎芯科技LPDDR5X IP矽驗證通過,速率達9600Mbps
- 通過直接、準確、自動測量超低範圍的氯殘留來推動反滲透膜保護
技術白皮書下載更多>>
- 車規與基於V2X的車輛協同主動避撞技術展望
- 數字隔離助力新能源汽車安全隔離的新挑戰
- 汽車模塊拋負載的解決方案
- 車用連接器的安全創新應用
- Melexis Actuators Business Unit
- Position / Current Sensors - Triaxis Hall
熱門搜索
微波功率管
微波開關
微波連接器
微波器件
微波三極管
微波振蕩器
微電機
微調電容
微動開關
微蜂窩
位置傳感器
溫度保險絲
溫度傳感器
溫控開關
溫控可控矽
聞泰
穩壓電源
穩壓二極管
穩壓管
無焊端子
無線充電
無線監控
無源濾波器
五金工具
物聯網
顯示模塊
顯微鏡結構
線圈
線繞電位器
線繞電阻




