名廠方案:采用MEMS陀螺儀的低噪聲反饋控製設計
發布時間:2017-01-18 責任編輯:sherry
【導讀】MEMS陀(tuo)螺(luo)儀(yi)提(ti)供(gong)了(le)一(yi)種(zhong)簡(jian)單(dan)的(de)旋(xuan)轉(zhuan)角(jiao)速(su)率(lv)測(ce)量(liang)方(fang)法(fa),其(qi)所(suo)在(zai)的(de)封(feng)裝(zhuang)很(hen)容(rong)易(yi)安(an)裝(zhuang)到(dao)印(yin)刷(shua)電(dian)路(lu)板(ban)上(shang)。因(yin)此(ci),在(zai)許(xu)多(duo)不(bu)同(tong)類(lei)型(xing)的(de)運(yun)動(dong)控(kong)製(zhi)係(xi)統(tong)中(zhong),它(ta)們(men)都(dou)是(shi)反(fan)饋(kui)檢(jian)測(ce)元(yuan)件(jian)的(de)常(chang)見(jian)選(xuan)擇(ze)。
在一係列應用中,角速率信號(MEMS陀螺儀輸出)中的噪聲會直接影響係統的關鍵特性(如平台穩定性),且qie常chang常chang是shi控kong製zhi係xi統tong能neng夠gou支zhi持chi的de精jing度du水shui平ping的de決jue定ding性xing因yin素su。所suo以yi,當dang係xi統tong架jia構gou師shi和he開kai發fa者zhe定ding義yi和he開kai發fa新xin的de運yun動dong控kong製zhi係xi統tong時shi,低di噪zao聲sheng是shi一yi個ge很hen自zi然ran的de價jia值zhi導dao向xiang。更geng進jin一yi步bu,把ba關guan鍵jian的de係xi統tong級ji標biao準zhun(如指向精度)轉化為噪聲指標(MEMS陀螺儀數據手冊常常會提 供這些指標),是早期概念和架構設計工作的一個極重要的部分。了解係統對陀螺儀噪聲特性的依賴性會產生多方麵好 處,例如能夠確定反饋檢測元件的相關要求,或者相反,分析係統對特定陀螺儀中噪聲的響應。一旦係統設計者充分了 解這種關係,它們便能從兩個重要方麵來掌控角速率反饋環路中的噪聲影響:1. 製定最合適的MEMS陀螺儀選擇標準;2. 在傳感器的集成過程中保持其噪聲性能不變。
運動控製基礎
為了弄清MEMS陀螺儀噪聲特性與其對係統關鍵特性的影響之間的關係,第一步常常是要對係統工作原理有一個基本了解。圖1是shi一yi個ge運yun動dong控kong製zhi係xi統tong架jia構gou示shi例li,其qi中zhong關guan鍵jian的de係xi統tong元yuan素su被bei拆chai分fen為wei多duo個ge功gong能neng模mo塊kuai。此ci類lei係xi統tong的de功gong能neng目mu標biao是shi為wei對dui慣guan性xing運yun動dong敏min感gan的de人ren員yuan或huo設she備bei創chuang建jian一yi個ge穩wen定ding的de平ping台tai。應ying用yong實shi例li之zhi一yi是shi用yong於yu自zi主zhu駕jia駛shi車che輛liang平ping台tai上shang的de微wei波bo天tian線xian,車che輛liang在zai惡e劣lie的de條tiao件jian下xia機ji動dong行xing駛shi,車che速su可ke能neng會hui引yin起qi車che輛liang方fang向xiang突tu然ran變bian化hua。若ruo不bu能neng實shi時shi控kong製zhi指zhi向xiang角jiao度du,當dang發fa生sheng此ci類lei慣guan性xing運yun動dong時shi,這zhe些xie高gao指zhi向xiang性xing天tian線xian可ke能neng無wu法fa支zhi持chi連lian續xu通tong信xin。

圖1. 運動控製係統架構示例。
反饋環路圖1. 運動控製係統架構示例。從MEMS陀螺儀開始,其在穩定平台上觀測旋轉速率 (φG)。陀螺儀的角速率信號饋入專用數字信號處理部分,其包括濾波、校準、對齊和積分,以產生實時方向反饋 (φE)。伺服電機的控製信號 (φCOR) 來自此反饋信號與指示方向 (φCMD) 的比較,而指示方向可來自一個中央任務處理係統,或者代表一個支持平台上的設備以理想方式運行的方向。
應用示例
圖1顯示了運動控製係統的架構視圖,分析應用特定的物理性質也能得出有價值的定義和見解。考慮圖2zhongdexitong,tashishengchanxianzidongjianzhaxitongdegainianshitu。gaishexiangtouxitongjianzhashusongdaishangyiruyichuqishichangdewujian。zaizhezhongpeizhizhong,shexiangtoutongguoyigenchangzhijiagudingyutianhuaban;針對攝像頭要檢查的對象大小,攝像頭通過支架所決定的高度(參見圖2中的D)來優化其視場。工廠中全是各種機器和其他作業,因此,攝像頭會不時地發生 擺動(參見圖2中的φSW(t)),這可能引起檢查圖像的失真。圖中的紅色虛線是此擺動引起的總角向誤差 (±φSW) 的誇大視圖,綠色虛線表示能夠支持係統圖像質量目標的角向誤差水平 (±φRE)。圖2中的視圖利用檢查表麵上的線性位移誤差(dSW、dRE)定義係統級關鍵指標(圖像失真)。這些性質與攝像頭高度 (D) 和角向誤差項(ϕSW、φRE)之間有著簡單的三 角函數關係,如公式1所示。

圖2. 工業攝像頭檢查係統。
對(dui)於(yu)此(ci)類(lei)係(xi)統(tong),最(zui)適(shi)合(he)的(de)運(yun)動(dong)控(kong)製(zhi)技(ji)術(shu)是(shi)所(suo)謂(wei)圖(tu)像(xiang)穩(wen)定(ding)化(hua)技(ji)術(shu)。早(zao)期(qi)圖(tu)像(xiang)穩(wen)定(ding)係(xi)統(tong)使(shi)用(yong)基(ji)於(yu)陀(tuo)螺(luo)儀(yi)的(de)反(fan)饋(kui)係(xi)統(tong)來(lai)驅(qu)動(dong)伺(si)服(fu)電(dian)機(ji),進(jin)而(er)調(tiao)整(zheng)圖(tu)像(xiang)傳(chuan)感(gan)器(qi)在(zai)快(kuai)門(men)開(kai)啟(qi)期(qi)間(jian)的(de)方(fang)向(xiang)。MEMS技術的出現掀起了一場革命,幫助降低了這些功能的尺寸、成本和功耗,導致該技術廣泛用於當今的數字攝像頭。得益於數字圖像處理技術(其算法中仍然使用基於MEMS的角速率測量)的進步,許多應用已不再使用伺服電 機。無論圖像穩定是由伺服電機實現,還是通過對圖像文件的數字後處理實現,陀螺儀的基本功能(反饋檢測)依然未 變,其噪聲影響也仍然存在。為簡明起見,本討論將聚焦於經典方法(圖像傳感器上的伺服電機)來考察相關度最高的 噪聲基本原理,以及它們與此類應用最重要的物理性質之間的關係。
角向隨機遊動 (ARW)
所有MEMS陀螺儀的角速率測量中都有噪聲。這一傳感器固有噪聲代表的是陀螺儀在靜態慣性(無轉動)和環境條件(無振動、衝擊等)下運行時其輸出中的隨機振動。MEMS 陀螺儀數據手冊中用來描述噪聲特性的最常見指標是速率噪聲密度 (RND) 和角向隨機遊動 (ARW) 。RND參數通常 以°/sec/ Hz為單位,根據該參數和陀螺儀的頻率響應,可以簡單地預測角速率方麵的總噪聲。ARW參數通常以°/ hr(小 時)為單位,當分析特定期間內噪聲對角度估計的影響時,該參數常常更有用。公式2是根據角速率測量來估計角度的一 般公式。此外,它還提供了一個將RND參數與ARW參數關聯起來的簡單公式。此關係式與IEEE-STD-952-1997(附錄C) 中的關係式相比有很小的改動(前者是單邊FFT,後者是雙邊FFT)。


圖3. 角向隨機遊動 (ADIS16460)。
回過頭看圖2中的應用示例,將公式1和公式2結合便可把重要標準(檢查表麵上的物理失真)與MEMS陀螺儀數據手冊通常會提供的噪聲性能指標(RND、ARW)關聯起來。在此過程中,假設公式1中的積分時間 (τ) 等於圖像捕捉時間可提供進一步且很有用的簡化。公式3利用公式1中的一般關係來估 計,當攝像頭距檢查表麵1米 (D) 且最大容許失真誤差為10μm (dRE) 時,陀螺儀的角向誤差 (φRE) 必須小於0.00057°。


提供連續指向控製的係統開發者可能更願意從角速率方麵來評估噪聲影響,因為他們可能沒有固定的積分時間來利用基於ARW的關係。從角速率方麵評估噪聲常常要考慮RND參數和陀螺儀信號鏈的頻率響應。對陀螺儀頻率響應影響最大的常常是濾波,其支持環路穩定標準的專用要求,並能抑製對 環境威脅(如振動)的不相幹傳感器響應。公式5給出了一種簡單方法來估算與特定頻率響應(噪聲帶寬)和RND相關的 噪聲。




圖4. 使用濾波器時的ADXRS290噪聲密度。
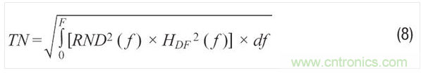
若係統需要定製濾波,其頻率響應 (HDF(f)) 不符合公式6和7中的簡單單極點和雙極點模型,則可利用公式8提供的更一般關係來預測總噪聲:



根(gen)本(ben)問(wen)題(ti)是(shi)角(jiao)速(su)率(lv)反(fan)饋(kui)環(huan)路(lu)中(zhong)的(de)噪(zao)聲(sheng)可(ke)能(neng)直(zhi)接(jie)影(ying)響(xiang)運(yun)動(dong)控(kong)製(zhi)係(xi)統(tong)的(de)關(guan)鍵(jian)性(xing)能(neng)標(biao)準(zhun),因(yin)此(ci),在(zai)設(she)計(ji)新(xin)係(xi)統(tong)的(de)過(guo)程(cheng)中(zhong),應(ying)當(dang)盡(jin)早(zao)予(yu)以(yi)考(kao)慮(lv)。相(xiang)比(bi)於(yu)僅(jin)知(zhi)道(dao)需(xu)要(yao)低(di)噪(zao)聲(sheng)的(de)人(ren),能(neng)夠(gou)量(liang)化(hua)角(jiao)速(su)率(lv)噪(zao)聲(sheng)對(dui)係(xi)統(tong)特(te)性(xing)影(ying)響(xiang)的(de)人(ren)將(jiang)擁(yong)有(you)明(ming)顯(xian)的(de)優(you)勢(shi)。他(ta)們(men)將(jiang)能(neng)確(que)定(ding)性(xing)能(neng)目(mu)標(biao),在(zai)應(ying)用(yong)中(zhong)產(chan)生(sheng)可(ke)觀(guan)測(ce)的(de)值(zhi);當其他項目目標 支持考慮特定MEMS陀螺儀時,他們將能有效地量化其對係統的影響後果。一旦有了這種基本理解,係統設計師便可專 注於確定能夠滿足性能要求的MEMS陀螺儀,利用帶寬、速率噪聲密度或角向隨機遊動來指導其考慮。當他們期望優化 所選傳感器的噪聲性能時,可以利用其與帶寬(角速率噪聲)和積分時間(角誤差)的關係來推動界定其他重要的係 統級特性,從而支持對應用最合適的性能。
特別推薦
- 噪聲中提取真值!瑞盟科技推出MSA2240電流檢測芯片賦能多元高端測量場景
- 10MHz高頻運行!氮矽科技發布集成驅動GaN芯片,助力電源能效再攀新高
- 失真度僅0.002%!力芯微推出超低內阻、超低失真4PST模擬開關
- 一“芯”雙電!聖邦微電子發布雙輸出電源芯片,簡化AFE與音頻設計
- 一機適配萬端:金升陽推出1200W可編程電源,賦能高端裝備製造
技術文章更多>>
- 邊緣AI的發展為更智能、更可持續的技術鋪平道路
- 每台智能體PC,都是AI時代的新入口
- IAR作為Qt Group獨立BU攜兩項重磅汽車電子應用開發方案首秀北京車展
- 構建具有網絡彈性的嵌入式係統:來自行業領袖的洞見
- 數字化的線性穩壓器
技術白皮書下載更多>>
- 車規與基於V2X的車輛協同主動避撞技術展望
- 數字隔離助力新能源汽車安全隔離的新挑戰
- 汽車模塊拋負載的解決方案
- 車用連接器的安全創新應用
- Melexis Actuators Business Unit
- Position / Current Sensors - Triaxis Hall
熱門搜索





