教你用軟件修正三軸正交型傳感器正交性
發布時間:2015-01-21 來源:Ivan 的專欄 責任編輯:sherryyu
【導讀】如果我們對測量精度要求非常高,就不能僅僅隻是對單個傳感器進jin行xing修xiu正zheng,還hai要yao考kao慮lv三san個ge傳chuan感gan器qi的de敏min感gan軸zhou是shi否fou嚴yan格ge的de正zheng交jiao。很hen多duo時shi候hou我wo們men需xu要yao仔zai細xi的de調tiao整zheng三san個ge傳chuan感gan器qi的de正zheng交jiao關guan係xi,但dan是shi將jiang三san個ge傳chuan感gan器qi調tiao整zheng到dao完wan全quan正zheng交jiao是shi很hen難nan的de,,這zhe裏li介jie紹shao一yi種zhong基ji本ben的de軟ruan件jian修xiu正zheng方fang法fa。它ta對dui大da多duo數shu類lei型xing的de傳chuan感gan器qi都dou可ke以yi使shi用yong。
當(dang)需(xu)要(yao)測(ce)量(liang)的(de)物(wu)理(li)量(liang)為(wei)矢(shi)量(liang)時(shi),我(wo)們(men)需(xu)要(yao)使(shi)用(yong)三(san)個(ge)正(zheng)交(jiao)放(fang)置(zhi)的(de)傳(chuan)感(gan)器(qi)來(lai)分(fen)別(bie)測(ce)量(liang)物(wu)理(li)量(liang)的(de)各(ge)個(ge)分(fen)量(liang),以(yi)此(ci)來(lai)合(he)成(cheng)一(yi)個(ge)完(wan)整(zheng)的(de)矢(shi)量(liang)。如(ru)果(guo)我(wo)們(men)對(dui)測(ce)量(liang)精(jing)度(du)要(yao)求(qiu)非(fei)常(chang)高(gao),就(jiu)不(bu)能(neng)僅(jin)僅(jin)隻(zhi)是(shi)對(dui)單(dan)個(ge)傳(chuan)感(gan)器(qi)進(jin)行(xing)修(xiu)正(zheng),還(hai)要(yao)考(kao)慮(lv)三(san)個(ge)傳(chuan)感(gan)器(qi)的(de)敏(min)感(gan)軸(zhou)是(shi)否(fou)嚴(yan)格(ge)的(de)正(zheng)交(jiao)。很(hen)多(duo)時(shi)候(hou)我(wo)們(men)需(xu)要(yao)仔(zai)細(xi)的(de)調(tiao)整(zheng)三(san)個(ge)傳(chuan)感(gan)器(qi)的(de)正(zheng)交(jiao)關(guan)係(xi),但(dan)是(shi)將(jiang)三(san)個(ge)傳(chuan)感(gan)器(qi)調(tiao)整(zheng)到(dao)完(wan)全(quan)正(zheng)交(jiao)是(shi)很(hen)難(nan)的(de),並(bing)且(qie)許(xu)多(duo)時(shi)候(hou),由(you)於(yu)設(she)計(ji)等(deng)原(yuan)因(yin),這(zhe)種(zhong)機(ji)械(xie)上(shang)的(de)調(tiao)校(xiao)是(shi)無(wu)法(fa)進(jin)行(xing)的(de)。這(zhe)時(shi),軟(ruan)件(jian)修(xiu)正(zheng)就(jiu)成(cheng)了(le)必(bi)不(bu)可(ke)少(shao)的(de)步(bu)驟(zhou),軟(ruan)件(jian)修(xiu)正(zheng)大(da)多(duo)數(shu)時(shi)候(hou)也(ye)比(bi)機(ji)械(xie)上(shang)的(de)調(tiao)校(xiao)更(geng)簡(jian)單(dan)。
這(zhe)裏(li)介(jie)紹(shao)一(yi)種(zhong)基(ji)本(ben)的(de)軟(ruan)件(jian)修(xiu)正(zheng)方(fang)法(fa)。它(ta)對(dui)大(da)多(duo)數(shu)類(lei)型(xing)的(de)傳(chuan)感(gan)器(qi)都(dou)可(ke)以(yi)使(shi)用(yong)。首(shou)先(xian),假(jia)設(she)單(dan)獨(du)的(de)每(mei)個(ge)傳(chuan)感(gan)器(qi)的(de)測(ce)量(liang)的(de)值(zhi)都(dou)是(shi)準(zhun)確(que)的(de),這(zhe)可(ke)以(yi)通(tong)過(guo)預(yu)先(xian)對(dui)每(mei)個(ge)傳(chuan)感(gan)器(qi)進(jin)行(xing)標(biao)定(ding)來(lai)完(wan)成(cheng)。
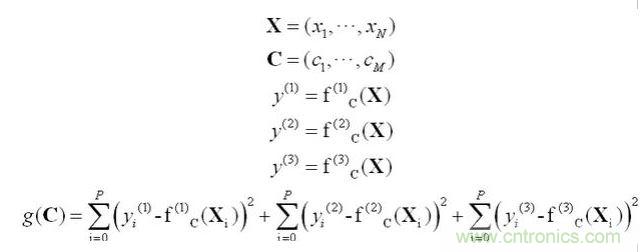
這裏設三個傳感器的測量值分別是 x1,x2,x3。這三個值可以合成一個列向量X:

所謂軟件修正算法,就是找到從 X到 Y 的映射。由解析幾何知識我們知道X到 Y 的映射可以通過一個線性變換C來表示:

寫到這裏其實方法就很明了了,我們隻需要求得這個轉換矩陣C就一切都解決了。
轉換矩陣C如(ru)何(he)求(qiu),當(dang)然(ran)是(shi)通(tong)過(guo)大(da)量(liang)的(de)測(ce)量(liang)數(shu)據(ju)來(lai)擬(ni)合(he)。實(shi)驗(yan)數(shu)據(ju)的(de)獲(huo)得(de)很(hen)重(zhong)要(yao),最(zui)好(hao)能(neng)有(you)個(ge)比(bi)較(jiao)精(jing)密(mi)的(de)三(san)軸(zhou)轉(zhuan)台(tai),這(zhe)樣(yang)轉(zhuan)各(ge)個(ge)角(jiao)度(du)都(dou)比(bi)較(jiao)方(fang)便(bian)。沒(mei)有(you)也(ye)沒(mei)關(guan)係(xi),但(dan)至(zhi)少(shao)要(yao)能(neng)把(ba)裝(zhuang)配(pei)好(hao)的(de)傳(chuan)感(gan)器(qi)組(zu)沿(yan)三(san)個(ge)已(yi)知(zhi)的(de)方(fang)向(xiang)放(fang)置(zhi),並(bing)且(qie)這(zhe)三(san)個(ge)方(fang)向(xiang)要(yao)擺(bai)放(fang)的(de)很(hen)精(jing)確(que)。通(tong)常(chang),我(wo)們(men)選(xuan)的(de)這(zhe)三(san)個(ge)方(fang)向(xiang)是(shi)相(xiang)互(hu)正(zheng)交(jiao)的(de),這(zhe)三(san)個(ge)方(fang)向(xiang)上(shang)物(wu)理(li)量(liang)的(de)真(zhen)實(shi)值(zhi)就(jiu)是(shi)上(shang)麵(mian)式(shi)子(zi)中(zhong)的(de)y1、y2、y3,換huan句ju話hua說shuo這zhe三san個ge方fang向xiang是shi三san個ge傳chuan感gan器qi的de名ming義yi上shang的de取qu向xiang,雖sui然ran這zhe三san個ge傳chuan感gan器qi可ke能neng全quan都dou擺bai歪wai了le。具ju體ti如ru何he采cai集ji數shu據ju就jiu不bu詳xiang細xi描miao述shu了le,由you於yu未wei知zhi參can數shu有you9個,至少要采集9組數據才行,條件允許的話當然是數據越多越好。
[page]
下麵說說如何對采集到的數據進行擬合。通常我們遇到的最小二乘擬合問題的待擬合的函數都可以表示為:

這個問題已經有成熟的算法,各種常見的數學軟件,比如 Matlab、Mathematica、scilab、Lingo 等都有現成的程序包來完成這個計算。我們現在的問題難點在於 y 也是個向量,這就需要我們對上麵的方法進行一點簡單的變形。簡單的說,我們實際上是有三個待擬合函數的,因此g(C)也要做相應的改變:

經過這樣轉化後就成了一個普通的最優化問題(函數求極值)了,各種數學軟件都可以方便的計算出結果。
這裏再多說幾句,我個人喜歡使用 gnuplot,gnuplot中有個 fit 命令,也可以完成多元函數擬合。Gnuplot的 fit 命令采用非線性最小二乘 (NLLS) Marquardt-Levenberg算法,擬合能力非常強悍,隻要擬合參數的初值給的別太離譜,基本都能夠收斂到最優解上。fit命令具體的用法可以參考gnuplot的幫助文件。這裏隻講講如何處理 y是多個值的問題,方法很簡單,就是通過多引入一個自變量,將多值函數改造成普通的函數:

這裏需要注意的是如果a1,a2,a3成為未知數,c11,c22,c33就可以作為已知量了,比如設c11=c22=c33=1,因為這裏的六個未知數隻有三個是獨立的。因此,實際上隻增加了三個未知數。
如果將上麵的方法和溫度修正一起考慮的話可以這樣處理:

上麵式子中的t是溫度,這裏的溫度修正算法比較簡單,主要是為了盡量少引入未知的參數。後麵的計算就沒什麼不同的了。
特別推薦
- 噪聲中提取真值!瑞盟科技推出MSA2240電流檢測芯片賦能多元高端測量場景
- 10MHz高頻運行!氮矽科技發布集成驅動GaN芯片,助力電源能效再攀新高
- 失真度僅0.002%!力芯微推出超低內阻、超低失真4PST模擬開關
- 一“芯”雙電!聖邦微電子發布雙輸出電源芯片,簡化AFE與音頻設計
- 一機適配萬端:金升陽推出1200W可編程電源,賦能高端裝備製造
技術文章更多>>
- 邊緣AI的發展為更智能、更可持續的技術鋪平道路
- 每台智能體PC,都是AI時代的新入口
- IAR作為Qt Group獨立BU攜兩項重磅汽車電子應用開發方案首秀北京車展
- 構建具有網絡彈性的嵌入式係統:來自行業領袖的洞見
- 數字化的線性穩壓器
技術白皮書下載更多>>
- 車規與基於V2X的車輛協同主動避撞技術展望
- 數字隔離助力新能源汽車安全隔離的新挑戰
- 汽車模塊拋負載的解決方案
- 車用連接器的安全創新應用
- Melexis Actuators Business Unit
- Position / Current Sensors - Triaxis Hall
熱門搜索
SATA連接器
SD連接器
SII
SIM卡連接器
SMT設備
SMU
SOC
SPANSION
SRAM
SSD
ST
ST-ERICSSON
Sunlord
SynQor
s端子線
Taiyo Yuden
TDK-EPC
TD-SCDMA功放
TD-SCDMA基帶
TE
Tektronix
Thunderbolt
TI
TOREX
TTI
TVS
UPS電源
USB3.0
USB 3.0主控芯片
USB傳輸速度




