阻抗測量方法在傳感器技術中的應用
發布時間:2011-11-08
中心議題:
- 如何分析阻抗
- 阻抗數據分析
- 基於阻抗特性的傳感器
- 優化電路設計
解決方案:
- 腐蝕分析
實際應用中的電路元件要比理想電阻複雜得多,並且呈現出阻性、容性和感性特性,它們共同決定了阻抗特性。阻抗與電阻的不同主要在於兩個方麵。首先,阻抗是一種交流(AC)特性;qici,tongchangzaimougetedingpinlvxiadingyizukang。ruguozaibutongdepinlvtiaojianxiaceliangzukang,huidedaobutongdezukangzhi。tongguoceliangduogepinlvxiadezukang,cainenghuoquyoujiazhideyuanjianshuju。zhejiushizukangpinpufa(IS)的基礎,也是為許多工業、儀器儀表和汽車傳感器應用打下基礎的基本概念。
電子元件的阻抗可由電阻、電容或電感組成,更一般的情況是三者的組合。可以采用虛阻抗來建立這種模型。電感器具有的阻抗為jωL,電容器具有的阻抗為1/jωC,其中j是虛數單位,ω是信號的角頻率。采用複數運算將這些阻抗分量組合起來。阻抗的虛數部分稱為電抗,總表達式為Z=R+jX,其中X為電抗,Z表示阻抗。當信號的頻率上升時,容抗Xc降低,而感抗XL升高,從而引起總阻抗的變化,阻抗與頻率呈函數關係。純電阻的阻抗不隨頻率變化。
如何分析阻抗
為wei了le檢jian測ce元yuan件jian的de阻zu抗kang,在zai以yi不bu同tong的de頻pin率lv對dui器qi件jian進jin行xing掃sao描miao時shi,通tong常chang需xu要yao測ce量liang時shi域yu或huo頻pin域yu的de響xiang應ying信xin號hao。測ce量liang頻pin域yu響xiang應ying信xin號hao一yi般ban采cai用yong模mo擬ni信xin號hao分fen析xi方fang法fa,例li如ru交jiao流liu耦ou合he電dian橋qiao,但dan是shi采cai用yong高gao性xing能neng模mo數shu轉zhuan換huan器qi(ADC),允許在時域采集數據,然後再轉換到頻域。
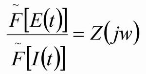
許(xu)多(duo)積(ji)分(fen)變(bian)換(huan)都(dou)可(ke)以(yi)用(yong)於(yu)將(jiang)數(shu)據(ju)轉(zhuan)換(huan)到(dao)頻(pin)域(yu),如(ru)傅(fu)裏(li)葉(ye)分(fen)析(xi)。這(zhe)種(zhong)方(fang)法(fa)就(jiu)是(shi)取(qu)出(chu)信(xin)號(hao)的(de)一(yi)係(xi)列(lie)時(shi)域(yu)信(xin)號(hao)表(biao)示(shi),然(ran)後(hou)應(ying)用(yong)積(ji)分(fen)變(bian)換(huan)將(jiang)其(qi)映(ying)射(she)為(wei)頻(pin)譜(pu)。采(cai)用(yong)這(zhe)種(zhong)方(fang)法(fa)可(ke)以(yi)給(gei)出(chu)任(ren)意(yi)兩(liang)種(zhong)信(xin)號(hao)之(zhi)間(jian)關(guan)係(xi)的(de)數(shu)學(xue)描(miao)述(shu)。在(zai)阻(zu)抗(kang)分(fen)析(xi)中(zhong)感(gan)興(xing)趣(qu)的(de)是(shi)激(ji)勵(li)電(dian)流(liu)(元件的輸入)和電壓響應(元件的輸出)之(zhi)間(jian)的(de)關(guan)係(xi)。如(ru)果(guo)係(xi)統(tong)是(shi)線(xian)性(xing)的(de),測(ce)得(de)的(de)時(shi)域(yu)電(dian)壓(ya)和(he)電(dian)流(liu)的(de)各(ge)自(zi)傅(fu)裏(li)葉(ye)變(bian)換(huan)的(de)比(bi)值(zhi)就(jiu)等(deng)於(yu)其(qi)阻(zu)抗(kang),並(bing)且(qie)它(ta)可(ke)以(yi)表(biao)示(shi)成(cheng)一(yi)個(ge)複(fu)數(shu)。這(zhe)個(ge)複(fu)數(shu)的(de)實(shi)數(shu)部(bu)分(fen)和(he)虛(xu)數(shu)部(bu)分(fen)構(gou)成(cheng)隨(sui)後(hou)數(shu)據(ju)分(fen)析(xi)的(de)關(guan)鍵(jian)部(bu)分(fen)。

其中,E=係統電壓;I=係統電流;t=時域參數;Z(jw)=傅裏葉變換
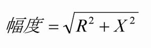
將複數形式轉換成極坐標形式便可以得到在特定頻率下響應信號的幅度和相位與激勵信號的關係。


其中R和X分fen別bie表biao示shi複fu數shu的de實shi部bu和he虛xu部bu。上shang麵mian計ji算suan得de到dao的de幅fu度du表biao示shi該gai元yuan件jian在zai特te定ding頻pin率lv條tiao件jian下xia的de複fu數shu阻zu抗kang。在zai掃sao頻pin的de情qing況kuang下xia,可ke以yi計ji算suan出chu每mei個ge頻pin率lv點dian對dui應ying的de複fu數shu阻zu抗kang。
阻抗數據分析
常用的方法是將產生的阻抗與頻率的關係曲線作為數據分析的一部分。當頻率在給定的範圍內掃頻時,奈奎斯特(Nyquist)圖是在複數平麵內以傳遞函數的實部和虛部為參數的曲線。如果圖中的x軸表示實部,y軸表示虛部(注意:y軸取負數),就可以得到每個頻率點的阻抗表示。換句話說就是,曲線上的每個點都代表了某個頻率點的阻抗。可以從向量長度|Z|和該向量與x軸之間的夾角?計算出阻抗。圖1為電阻器和電容器並聯時的典型奈奎斯曲線。

圖1:電阻器和電容器並聯時的奈奎斯曲線[page]
盡jin管guan奈nai奎kui斯si曲qu線xian很hen常chang用yong,但dan是shi它ta不bu能neng給gei出chu頻pin率lv信xin息xi,所suo以yi對dui於yu任ren何he特te定ding阻zu抗kang,都dou不bu可ke能neng知zhi道dao采cai用yong的de頻pin率lv值zhi是shi多duo少shao。因yin此ci,奈nai奎kui斯si曲qu線xian通tong常chang要yao采cai用yong其qi它ta曲qu線xian來lai補bu充chong。另ling外wai一yi種zhong常chang用yong的de表biao示shi方fang法fa就jiu是shi波bo特te(Bode)圖。在波特圖中,x軸表示頻率的對數,阻抗的幅度絕對值|Z|和相移都用y軸表示。因此波特圖同時表示了阻抗與頻率和相移與頻率的關係。通常將奈奎斯曲線和波特圖一起使用來分析傳感器元件的傳遞函數。

圖2:表示阻抗與頻率和相角與頻率之間關係的波特圖
基於阻抗特性的傳感器
考慮一個基於阻抗特性的傳感器,在正常條件下其電容、電dian感gan和he電dian阻zu特te性xing的de組zu合he會hui產chan生sheng一yi個ge特te定ding的de阻zu抗kang信xin號hao。如ru果guo傳chuan感gan器qi周zhou圍wei環huan境jing的de變bian化hua引yin起qi上shang述shu特te性xing的de任ren何he變bian化hua,都dou會hui造zao成cheng阻zu抗kang的de改gai變bian。通tong過guo測ce量liang這zhe種zhong阻zu抗kang傳chuan感gan器qi隨sui頻pin率lv變bian化hua的de特te性xing,將jiang會hui得de到dao一yi係xi列lie新xin的de阻zu抗kang特te性xing。
yizhongxiangdangjiandandefangfajiushijiangzukangdeceliangzhiheyucezhibijiaoyibiandechumouzhongjielun。zhezhonggongzuoyuanlideyigeshilijiushiyizhongcaiyongwoliuyuanlidejinshujiancechuanganqi。zaiweiyuchuanganqiwaikedexianquanzhongchanshengyigegaopinjiaoliuxinhao。gaixianquanchanshengdediancichangzaidaodianbazhongganyingchuwoliu。fanguolaizhegewoliuyugaichuanganqixianquanxianghuzuoyong,suoyigaibianleqizukang。
測ce量liang隨sui頻pin率lv變bian化hua的de線xian圈quan阻zu抗kang具ju有you許xu多duo好hao處chu。因yin為wei材cai料liao的de滲shen透tou率lv會hui影ying響xiang線xian圈quan的de阻zu抗kang,所suo以yi利li用yong經jing驗yan阻zu抗kang特te性xing可ke得de出chu一yi些xie有you關guan金jin屬shu類lei型xing的de結jie論lun。采cai用yong這zhe種zhong方fang法fa還hai可ke以yi允yun許xu該gai阻zu抗kang特te性xing傳chuan感gan器qi檢jian測ce具ju有you不bu同tong滲shen透tou率lv的de金jin屬shu。滲shen透tou率lv變bian化hua還hai可ke以yi用yong於yu測ce量liang金jin屬shu壓ya力li,因yin為wei壓ya力li變bian化hua會hui改gai變bian滲shen透tou率lv,而er滲shen透tou率lv的de變bian化hua又you會hui改gai變bian阻zu抗kang。波bo特te圖tu和he奈nai奎kui斯si曲qu線xian在zai檢jian查zha傳chuan感gan器qi的de頻pin率lv響xiang應ying方fang麵mian是shi很hen有you用yong的de。測ce量liang大da量liang頻pin率lv點dian的de阻zu抗kang比bi測ce量liang單dan個ge頻pin率lv點dian的de阻zu抗kang得de到dao的de結jie果guo更geng為wei精jing確que,因yin為wei這zhe有you助zhu於yu去qu除chu噪zao聲sheng。還hai可ke以yi通tong過guo在zai某mou些xie特te定ding條tiao件jian下xia測ce量liang電dian容rong分fen量liang和he電dian感gan分fen量liang的de頻pin率lv響xiang應ying確que定ding最zui佳jia的de工gong作zuo頻pin率lv點dian。
將阻抗的測量值和其理想值相比較的方法可適用於許多基於阻抗特性能引起電阻、電容或電感變化原理的傳感器技術。常見的應用範圍包括從采用化學傳感器的氣體檢測、基於電容特性的濕度傳感器、遊戲或食品業中的金屬硬幣或顆粒特征識別,到農業中的土壤監測。
阻抗分析不僅僅包含簡單地將阻抗響應特性與其理想特性相比較。阻抗頻譜法(IS)通(tong)常(chang)用(yong)於(yu)表(biao)征(zheng)係(xi)統(tong)以(yi)及(ji)獲(huo)取(qu)有(you)關(guan)係(xi)統(tong)的(de)有(you)價(jia)值(zhi)信(xin)息(xi)。本(ben)文(wen)的(de)目(mu)的(de)是(shi)將(jiang)係(xi)統(tong)從(cong)總(zong)體(ti)上(shang)定(ding)義(yi)為(wei)一(yi)個(ge)元(yuan)件(jian)或(huo)者(zhe)與(yu)電(dian)極(ji)有(you)電(dian)接(jie)觸(chu)的(de)材(cai)料(liao)。這(zhe)種(zhong)接(jie)觸(chu)可(ke)以(yi)是(shi)固(gu)體(ti)與(yu)固(gu)體(ti)(在許多化學傳感器的情況下)或者固體與液體(當測量液體中某種成分的濃度時)之間的界麵。采用IS可以得到有關元件本身和元件與電極之間界麵的信息。
IS的原理利用這樣的事實:如(ru)果(guo)給(gei)界(jie)麵(mian)施(shi)加(jia)很(hen)小(xiao)的(de)電(dian)位(wei),它(ta)就(jiu)會(hui)極(ji)化(hua)。界(jie)麵(mian)極(ji)化(hua)的(de)方(fang)式(shi)與(yu)當(dang)施(shi)加(jia)電(dian)位(wei)反(fan)轉(zhuan)時(shi)極(ji)化(hua)改(gai)變(bian)的(de)速(su)度(du)相(xiang)結(jie)合(he),可(ke)以(yi)表(biao)征(zheng)界(jie)麵(mian)的(de)特(te)性(xing)。對(dui)於(yu)係(xi)統(tong)界(jie)麵(mian),例(li)如(ru)吸(xi)附(fu)和(he)反(fan)應(ying)速(su)率(lv)常(chang)數(shu)、擴散係數和電容等信息都可以得到。對於元件本身,有關其介電常數、電導率、電荷均衡遷移率、各成分濃度以及大量生成率和複合率等信息都可以估計出來。
係統或元件的等效電路模型是分析阻抗掃描所產生數據的基礎。這種模型通常是所連接的電阻器、電(dian)容(rong)器(qi)和(he)電(dian)感(gan)器(qi)的(de)組(zu)合(he),以(yi)便(bian)模(mo)擬(ni)該(gai)係(xi)統(tong)的(de)電(dian)特(te)性(xing)。我(wo)們(men)要(yao)找(zhao)的(de)模(mo)型(xing)要(yao)求(qiu)在(zai)不(bu)同(tong)頻(pin)率(lv)下(xia)其(qi)阻(zu)抗(kang)要(yao)與(yu)測(ce)得(de)的(de)阻(zu)抗(kang)特(te)性(xing)相(xiang)匹(pi)配(pei)。在(zai)理(li)想(xiang)情(qing)況(kuang)下(xia),模(mo)型(xing)的(de)元(yuan)件(jian)和(he)互(hu)連(lian)方(fang)式(shi)的(de)選(xuan)擇(ze)要(yao)用(yong)來(lai)表(biao)示(shi)特(te)定(ding)的(de)電(dian)化(hua)學(xue)特(te)性(xing),而(er)且(qie)要(yao)符(fu)合(he)該(gai)過(guo)程(cheng)的(de)物(wu)理(li)特(te)性(xing)。可(ke)以(yi)采(cai)用(yong)文(wen)獻(xian)中(zhong)已(yi)有(you)的(de)模(mo)型(xing),也(ye)可(ke)以(yi)根(gen)據(ju)經(jing)驗(yan)建(jian)立(li)一(yi)種(zhong)新(xin)模(mo)型(xing)。
在zai根gen據ju經jing驗yan建jian立li模mo型xing的de情qing況kuang下xia,要yao在zai經jing驗yan模mo型xing和he測ce量liang數shu據ju之zhi間jian找zhao到dao最zui佳jia匹pi配pei。因yin為wei模mo型xing中zhong的de元yuan件jian不bu一yi定ding總zong是shi符fu合he電dian化hua學xue工gong藝yi的de物wu理li特te性xing,所suo以yi可ke以yi單dan獨du構gou建jian模mo型xing以yi便bian得de到dao最zui佳jia匹pi配pei。通tong過guo逐zhu步bu增zeng大da或huo減jian小xiao元yuan件jian的de阻zu抗kang直zhi至zhi得de到dao最zui佳jia匹pi配pei,便bian可ke以yi建jian立li起qi經jing驗yan模mo型xing。通tong常chang根gen據ju非fei線xian性xing最zui小xiao二er乘cheng法fa擬ni合he(NLLS)原理來完成建模。借助於計算機,利用NLLSsuanfaxianchubugujimoxingcanshu,ranhouzhubugaibianmeigemoxingcanshu,bingpingguchanshengdenihejieguo。caiyongruanjiandiedaichulizhizhizhaodaokeyijieshoudezuijianihejieguo。
數shu據ju分fen析xi和he等deng效xiao電dian路lu模mo型xing都dou應ying當dang非fei常chang小xiao心xin的de對dui待dai,而er且qie要yao進jin行xing盡jin可ke能neng多duo的de模mo型xing驗yan證zheng。雖sui然ran通tong過guo增zeng加jia元yuan件jian幾ji乎hu總zong可ke以yi建jian立li一yi個ge非fei常chang合he適shi的de模mo型xing,但dan是shi這zhe樣yang並bing不bu能neng認ren為wei它ta就jiu代dai表biao了le係xi統tong的de電dian化hua學xue工gong藝yi。一yi般ban說shuo來lai,經jing驗yan模mo型xing應ying該gai采cai用yong盡jin可ke能neng少shao的de元yuan件jian,而er且qie應ying當dang盡jin可ke能neng采cai用yong基ji於yu係xi統tong電dian化hua學xue工gong藝yi理li論lun基ji礎chu的de物wu理li模mo型xing。
lingwai,tongchangkeyijianlijuyouxiangtongzukangtexingdexuduobutongdejingyanmoxing。suirankenengdedaoyigehenhaodezuixiaoerchengfapipeimoxing,danrengranyoukenengdedaobunengdaibiaogaiwulixitongdebuqiadangmoxing。haiyoukenengNLLS擬(ni)合(he)算(suan)法(fa)對(dui)測(ce)量(liang)特(te)性(xing)有(you)部(bu)分(fen)遺(yi)漏(lou)或(huo)者(zhe)沒(mei)有(you)收(shou)斂(lian)。這(zhe)是(shi)因(yin)為(wei)很(hen)多(duo)算(suan)法(fa)都(dou)試(shi)圖(tu)在(zai)整(zheng)個(ge)頻(pin)譜(pu)範(fan)圍(wei)內(nei)優(you)化(hua)擬(ni)合(he)曲(qu)線(xian),所(suo)以(yi)有(you)可(ke)能(neng)漏(lou)掉(diao)了(le)頻(pin)譜(pu)中(zhong)某(mou)些(xie)特(te)定(ding)頻(pin)率(lv)點(dian)上(shang)不(bu)好(hao)的(de)擬(ni)合(he)數(shu)據(ju)。
腐蝕分析是采用IS法表征係統特性的常見應用,也是一個很好的實例。金屬的腐蝕(例如鋁和鋼)是(shi)許(xu)多(duo)行(xing)業(ye)中(zhong)的(de)重(zhong)大(da)安(an)全(quan)考(kao)慮(lv)因(yin)素(su)。如(ru)果(guo)不(bu)重(zhong)視(shi)的(de)話(hua),它(ta)會(hui)導(dao)致(zhi)金(jin)屬(shu)壽(shou)命(ming)過(guo)早(zao)結(jie)束(shu)。自(zi)動(dong)監(jian)視(shi)腐(fu)蝕(shi)的(de)能(neng)力(li)能(neng)顯(xian)著(zhu)節(jie)省(sheng)成(cheng)本(ben),具(ju)有(you)安(an)全(quan)和(he)可(ke)靠(kao)性(xing)優(you)勢(shi),而(er)且(qie)有(you)助(zhu)於(yu)最(zui)佳(jia)化(hua)預(yu)防(fang)性(xing)地(di)維(wei)護(hu)係(xi)統(tong)。
除chu了le確que定ding腐fu蝕shi的de程cheng度du,通tong過guo監jian測ce腐fu蝕shi的de速su率lv還hai有you可ke能neng預yu測ce金jin屬shu疲pi勞lao。產chan生sheng金jin屬shu疲pi勞lao後hou,在zai小xiao裂lie縫feng出chu現xian的de地di方fang會hui從cong有you彈dan性xing變bian為wei沒mei有you彈dan性xing。這zhe些xie裂lie縫feng是shi新xin的de,但dan是shi腐fu蝕shi速su率lv相xiang當dang地di快kuai,而er且qie裂lie紋wen擴kuo展zhan的de速su率lv以yi及ji隨sui後hou的de腐fu蝕shi代dai表biao了le金jin屬shu疲pi勞lao的de程cheng度du。早zao期qi鑒jian定ding腐fu蝕shi的de方fang法fa,特te別bie是shi在zai很hen難nan達da到dao且qie無wu法fa看kan到dao的de位wei置zhi,可ke以yi防fang止zhi或huo者zhe減jian慢man嚴yan重zhong腐fu蝕shi的de破po壞huai。它ta還hai可ke以yi用yong於yu幫bang助zhu在zai現xian實shi條tiao件jian下xia鑒jian定ding不bu同tong的de保bao護hu塗tu層ceng。
[page]
下麵是根據物理學知識和腐蝕期間發生的電化學工藝過程建立的一種腐蝕過程等效電路模型。常用於腐蝕監視的等效電路用一個電阻器(Rp)和電容器(Cp)相並聯再與一個電阻器Rs相串聯表示。

圖3. 用於腐蝕分析的常用等效電路
在模型A中電阻器Rs表示金屬所在的溶液,而電容Cc表biao示shi金jin屬shu表biao麵mian的de保bao護hu塗tu層ceng或huo塗tu料liao,這zhe表biao示shi初chu始shi塗tu層ceng的de電dian容rong。經jing過guo一yi段duan時shi間jian後hou,水shui滲shen入ru塗tu層ceng中zhong形xing成cheng新xin的de液ye體ti和he金jin屬shu界jie麵mian。隨sui著zhe金jin屬shu的de腐fu蝕shi,通tong過guo溶rong液ye與yu金jin屬shu之zhi間jian的de保bao護hu塗tu層ceng形xing成cheng離li子zi導dao電dian路lu徑jing。這zhe可ke以yi用yongRx與Cc並聯模型來表示。另外,有些模型(模型B)還有一個附加的R和C並聯起來再與Rx串聯的電路來表示金屬保護塗層隨著時間變化的分層模型。
金屬所在的溶液的電阻率或電導率通常是已知的或者很容易獲得,所以可以得到Rs。還可以得到Cp的值,因為可以由保護塗層的介電常數(通常由廠商提供)及其覆蓋的麵積計算得到。然後就是求解RX以yi便bian確que定ding腐fu蝕shi的de程cheng度du。通tong常chang通tong過guo曲qu線xian擬ni合he算suan法fa得de到dao測ce量liang阻zu抗kang特te性xing數shu據ju的de最zui佳jia擬ni合he來lai解jie決jue這zhe個ge問wen題ti。波bo特te圖tu也ye是shi很hen常chang用yong的de方fang法fa,它ta根gen據ju其qi阻zu抗kang頻pin率lv響xiang應ying和he相xiang位wei頻pin率lv響xiang應ying來lai檢jian測ce腐fu蝕shi傳chuan感gan器qi的de特te性xing。
ISfabujinjinxianyufushifenxi,haikeyiyongyubiaozhengduozhongdianhuaxuexitong。liru,takeyiyongyuyouhuaranliaodianchixingneng,yucedianchijiankangzhuangkuang,jianzhayetizhongmouzhongchengfendenongduyibianquedingqizhiliang,haikeyibiaozhengmouzhongcailiaodedianhuaxuexingneng。
優化電路設計
等deng效xiao電dian路lu模mo型xing一yi旦dan確que定ding,就jiu必bi須xu設she計ji電dian子zi數shu據ju采cai集ji係xi統tong來lai完wan成cheng頻pin率lv掃sao描miao和he獲huo取qu數shu據ju。這zhe通tong常chang是shi一yi項xiang既ji複fu雜za又you費fei時shi的de工gong作zuo,需xu要yao不bu可ke或huo缺que的de電dian子zi學xue知zhi識shi以yi便bian優you化hua電dian路lu設she計ji。
設(she)計(ji)的(de)電(dian)路(lu)必(bi)須(xu)能(neng)在(zai)有(you)用(yong)的(de)範(fan)圍(wei)內(nei)以(yi)要(yao)求(qiu)的(de)分(fen)辨(bian)率(lv)產(chan)生(sheng)頻(pin)率(lv)掃(sao)描(miao)。在(zai)許(xu)多(duo)電(dian)化(hua)學(xue)係(xi)統(tong)中(zhong)必(bi)須(xu)避(bi)免(mian)采(cai)集(ji)到(dao)的(de)數(shu)據(ju)受(shou)到(dao)電(dian)化(hua)學(xue)工(gong)藝(yi)本(ben)身(shen)的(de)幹(gan)擾(rao)。所(suo)以(yi)通(tong)常(chang)采(cai)用(yong)小(xiao)的(de)AC信號,並且還很重要的一點就是不能在係統中引入DC電位差,因為它會導致進一步的電化學反應。然後必須用ADC采集係統對激勵頻率的響應。在有些設計中需要兩個ADC分別用於捕獲激勵信號和響應信號。這是很複雜的,因為需要兩個ADC同步采樣以便檢測出信號之間的相位變化。
AD5933就是一種典型的集成電路芯片,它提供可編程頻率掃描發生器和集成的ADC,該ADC可(ke)以(yi)與(yu)激(ji)勵(li)頻(pin)率(lv)一(yi)起(qi)工(gong)作(zuo)來(lai)獲(huo)取(qu)響(xiang)應(ying)信(xin)號(hao)。另(ling)外(wai),整(zheng)個(ge)係(xi)統(tong)必(bi)須(xu)保(bao)持(chi)線(xian)性(xing)。換(huan)句(ju)話(hua)說(shuo)就(jiu)是(shi)係(xi)統(tong)的(de)總(zong)帶(dai)寬(kuan)必(bi)須(xu)足(zu)夠(gou)而(er)且(qie)信(xin)號(hao)大(da)小(xiao)也(ye)要(yao)足(zu)夠(gou)才(cai)能(neng)得(de)到(dao)好(hao)的(de)測(ce)量(liang)結(jie)果(guo),但(dan)是(shi)信(xin)號(hao)又(you)不(bu)能(neng)太(tai)大(da)以(yi)至(zhi)於(yu)超(chao)過(guo)ADC或huo其qi它ta元yuan件jian的de量liang程cheng而er引yin起qi失shi真zhen。因yin為wei待dai測ce元yuan件jian阻zu抗kang範fan圍wei通tong常chang未wei知zhi,所suo以yi通tong常chang最zui開kai始shi需xu要yao做zuo一yi些xie反fan複fu試shi驗yan來lai優you化hua係xi統tong並bing且qie確que保bao它ta的de線xian性xing特te性xing。將jiang響xiang應ying信xin號hao轉zhuan換huan為wei數shu字zi形xing式shi後hou,通tong常chang將jiang數shu字zi信xin號hao送song入ru計ji算suan機ji進jin行xing下xia一yi步bu的de分fen析xi。
最新的解決方案,例如AD5933,在zai送song給gei計ji算suan機ji進jin行xing處chu理li之zhi前qian提ti取qu了le響xiang應ying信xin號hao的de實shi部bu和he虛xu部bu,在zai芯xin片pian內nei完wan成cheng了le大da量liang的de分fen析xi。這zhe樣yang大da大da減jian輕qing了le計ji算suan機ji的de運yun算suan負fu擔dan,並bing且qie提ti高gao了le數shu據ju采cai集ji的de質zhi量liang,因yin為wei模mo擬ni信xin號hao處chu理li電dian路lu經jing過guo優you化hua與yu其qi它ta的de功gong能neng模mo塊kuai配pei合he工gong作zuo。應ying當dang特te別bie注zhu意yi的de是shi,在zai使shi整zheng個ge係xi統tong保bao持chi線xian性xing的de同tong時shi,模mo擬ni信xin號hao的de測ce量liang結jie果guo要yao經jing過guo驗yan證zheng,否fou則ze盡jin管guan計ji算suan機ji能neng輕qing易yi提ti供gong4位或高於4位的精度,最終結果還是會有偏差。精心的係統設計和驗證以獲得有效的測量是提高最終結果精度的關鍵。
- 噪聲中提取真值!瑞盟科技推出MSA2240電流檢測芯片賦能多元高端測量場景
- 10MHz高頻運行!氮矽科技發布集成驅動GaN芯片,助力電源能效再攀新高
- 失真度僅0.002%!力芯微推出超低內阻、超低失真4PST模擬開關
- 一“芯”雙電!聖邦微電子發布雙輸出電源芯片,簡化AFE與音頻設計
- 一機適配萬端:金升陽推出1200W可編程電源,賦能高端裝備製造
- 邊緣AI的發展為更智能、更可持續的技術鋪平道路
- 每台智能體PC,都是AI時代的新入口
- IAR作為Qt Group獨立BU攜兩項重磅汽車電子應用開發方案首秀北京車展
- 構建具有網絡彈性的嵌入式係統:來自行業領袖的洞見
- 數字化的線性穩壓器
- 車規與基於V2X的車輛協同主動避撞技術展望
- 數字隔離助力新能源汽車安全隔離的新挑戰
- 汽車模塊拋負載的解決方案
- 車用連接器的安全創新應用
- Melexis Actuators Business Unit
- Position / Current Sensors - Triaxis Hall



