新型光學加速度傳感器動力學性能設計
發布時間:2008-10-24 來源:中電網
中心議題:
- 設計傳感器的動力學振動係統
- 討論該係統參數的選取
- 分析模擬傳感器的性能
解決方案:
- 通過改變矽片厚度和彈性臂寬度來設計不同彈性係數和振動係統的固有頻率
- 通過檢測光纖中接收光強的變化獲取反光膜位置的變化
- 設計結構簡單實用的一維振動係統
引 言
donglixuezhendongxitongshizhongduoguanxingchuanganqizhongdezhongyaozuchengbufen,qicanshudexuanqujuedinglechuanganqidexingnengdeyoulie。zhenduijiyufeinieeryansheweitoujingdexinxingguangxuejiasuduchuanganqishejileyizhongjiandanshiyongdeminganjiasududezhendongxitong,tashiyouyigeweidanxingjixiejiegoulianjiezaiwaikuangjiashanggoucheng。weidanxingjixiejiegoubujinshiweixingjiasuduchuanganqizhongyaozuchengbufen,erqie,zaiweixingqudongqi、微位移計、微陀螺儀及其他慣性傳感器中也有著重要的應用,在微機電係統(MEMS)中發揮著重要的作用。目前,MEMS中類似於微彈性機械結構的敏感裝置主要有矽懸臂梁、直角彈性結構及結構更複雜的矽彈簧等。微彈性機械結構是在一塊矽片上通過簡單的MEMS工(gong)藝(yi)加(jia)工(gong)的(de),可(ke)以(yi)通(tong)過(guo)改(gai)變(bian)矽(gui)片(pian)的(de)厚(hou)度(du)和(he)彈(dan)性(xing)臂(bi)的(de)寬(kuan)度(du)來(lai)設(she)計(ji)不(bu)同(tong)的(de)彈(dan)性(xing)係(xi)數(shu)和(he)振(zhen)動(dong)係(xi)統(tong)的(de)固(gu)有(you)頻(pin)率(lv),以(yi)滿(man)足(zu)傳(chuan)感(gan)器(qi)的(de)要(yao)求(qiu)。具(ju)體(ti)討(tao)論(lun)了(le)微(wei)彈(dan)性(xing)機(ji)械(xie)結(jie)構(gou)參(can)數(shu)的(de)選(xuan)取(qu),並(bing)且(qie),模(mo)擬(ni)分(fen)析(xi)了(le)傳(chuan)感(gan)器(qi)的(de)性(xing)能(neng)和(he)誤(wu)差(cha)。
傳感器動力學係統的工作原理
如圖1所示,把一個反光膜平行地置於菲涅耳衍射微透鏡(以下簡稱“微透鏡”)deyice,gudingyigeminganjiasududeweizhiliangyufanguangmohoumian,guangxianduanbuzhiyuweitoujingdehuijudianchu。guangdefashehejieshoukeyoutongyigenguangxianlaiwancheng,zeguangxianjieshouguangqiangdedaxiaosuifanguangmoweizhidebianhuaergaibian。yinci,tongguojianceguangxianzhongjieshouguangqiangdebianhuakeyihuoqufanguangmoweizhidebianhua。

微彈簧一端與反光膜固定連接,另一端固定在傳感器的外框架上,這就形成了一個由微質量、反光膜、微彈簧和外框架構成的振動係統。
把傳感器固定在被測物體上,設被測物體的振動方程為xs=asinωt,令Y表示反光膜相對於微透鏡的穩態響應的振動幅值,則

式中a為常數;ω為被測物體的振動頻率;ωn為該振動係統的一階固有頻率;ζ為阻尼比。當ωn》ω時,式(1)可以改寫為

式中aω2為被測物體的加速度幅值。可見隻要固有頻率遠高於被測物體的振動頻率,反光膜與微透鏡間的相對運動的振幅Y正比於被測物體的加速度幅值aω2。而振幅Y可由檢測光纖接收的光強來實現獲取,從而通過檢測光強的變化來實現加速度的測量。
動力學係統的設計
a.結構設計
針對這種新型MEMS光學傳感器對動力學係統的要求,設計了一種結構簡單實用的一維振動係統,它包含傳感器中的微彈簧、反光膜和微質量。它是由一個微彈性機械結構(以下簡稱“微結構”)的4個臂端固定在外框架上構成,微結構如圖2(a)所示,它的四周是4個完全相同的彈性臂,相當於傳感器中的微彈簧,單個彈性臂如圖2(b)所(suo)示(shi)。微(wei)結(jie)構(gou)與(yu)微(wei)透(tou)鏡(jing)相(xiang)鄰(lin)的(de)一(yi)側(ce)蒸(zheng)鍍(du)上(shang)一(yi)層(ceng)鋁(lv)或(huo)銀(yin)構(gou)成(cheng)了(le)傳(chuan)感(gan)器(qi)中(zhong)的(de)反(fan)光(guang)膜(mo)。整(zheng)個(ge)微(wei)結(jie)構(gou)的(de)當(dang)量(liang)質(zhi)量(liang)相(xiang)當(dang)於(yu)傳(chuan)感(gan)器(qi)中(zhong)的(de)微(wei)質(zhi)量(liang)。微(wei)結(jie)構(gou)的(de)厚(hou)度(du)與(yu)彈(dan)性(xing)臂(bi)的(de)寬(kuan)度(du)可(ke)以(yi)根(gen)據(ju)彈(dan)性(xing)係(xi)數(shu)和(he)振(zhen)動(dong)係(xi)統(tong)固(gu)有(you)頻(pin)率(lv)的(de)要(yao)求(qiu)來(lai)選(xuan)擇(ze)。整(zheng)個(ge)微(wei)結(jie)構(gou)可(ke)在(zai)一(yi)塊(kuai)光(guang)滑(hua)等(deng)厚(hou)的(de)矽(gui)片(pian)上(shang)通(tong)過(guo)光(guang)刻(ke)、深反應離子刻蝕(DRIE)、金屬膜蒸鍍等幾步完成。

b. 參數設計
彈性係數
由you於yu該gai微wei結jie構gou具ju有you對dui稱cheng性xing,對dui於yu彈dan性xing係xi數shu的de分fen析xi可ke以yi把ba其qi中zhong的de一yi個ge臂bi分fen離li出chu來lai做zuo靜jing力li分fen析xi。這zhe裏li,先xian用yong能neng量liang法fa來lai求qiu集ji中zhong力li下xia單dan個ge彈dan性xing臂bi的de線xian性xing位wei移yi。
假設在微結構的中心點處施加一個與微結構表麵垂直的集中力4F,則每個彈性臂與中心部分相連的A點受到一個大小為F的集中力,A點位置如圖2中所示。這時彈性臂截麵的軸力和剪力引起的變形很小,可以忽略不計,主要是彎矩和扭矩引起的變形。因此,每個彈性臂在集中力F的作用下,產生的總變形位能是

式中
為l1杆的轉角;It為相當極慣性矩,當h≥b時,It=βhb3,β由h/b的數值決定,當h
在集中力F的作用下A點的彈性位移為

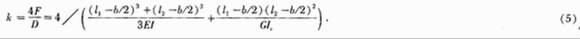
由式(3)、式(4)可以得到微結構4個彈性臂總的彈性係數公式為

為驗證理論的正確性,同時,用有限元模擬工具AN-SYS對彈性臂進行數值模擬,各參數取值為:F=1 ×10-4N,E=1.69×1011N/m2,G=7.26 ×1010N/m2,l1=2600μm,l2=400μm,b=200 μm,h=200μm,可得到單個彈性臂在A點受到集中力F的作用下的位移為0 0244μm。因此,彈性係數數值模擬值k=4 × 10-4/2.44×10-8=1.64×104(N/m),而由式(5)代入上述參數可得理論分析值k=1.63 ×104N/m,兩者相對誤差為0.6%。
分別用理論方法和ANSYS數值模擬方法得出了在b=200μm時彈性係數k隨微結構厚度h的變化情況,以及在h=50 μm時彈性係數k隨彈性臂寬度b的變化情況,分別如圖3(a),(b)所示。圖3(a)中,2種計算方法求出的彈性係數的平均相對誤差為0.86%,圖3(b)中平均相對誤差為1.06%。可見2種方法計算出來的結果基本吻合。從上述分析可知,在彈簧臂總長確定的情況下,彈簧的彈性係數取決於微結構的厚度h和彈性臂的寬度b,而且,和6的關係近似於線性,因此,可以根據動力學係統的具體要求和加工的工藝性能來選擇合理的h和b,從而滿足傳感器整體性能的要求。


一階固有頻率
振動係統的固有頻率公式為
,m為微結構的當量質量,這裏麵含有每個彈性臂簡化到A點的等效質量,鑒於等效質量求出來誤差較大,僅用有限元模擬工具ANSYS對振動係統進行模態分析。模擬中,取矽的密度為ρ=2330 kg/m3,l3=l4=2000μm參數含義如圖2所示,其餘取上述給定的數值,則振動係統的一階固有頻率為22.37 kHz,在垂直於微結構平麵的方向上振動。同時,模擬出了彈性臂寬度b=200μm時,一階固有頻率f和微結構厚度h的關係圖如圖4所示。可見振動係統的一階固有頻率和微結構的厚度h近似地保持線性的關係。

傳感器性能分析
由於光纖接收的光強隨反光膜位置按照正弦規律變化,並且,周期為λ/2,因此,必須為反光膜選擇一個合適的工作點和工作區間。另外,考慮傳感器靈敏度、加速度測量範圍、頻率範圍和加工工藝等因素,作如下配置:用λ=632.8 nm的單色光作為光源,選定反光膜所在的線性最好的點為工作點,反光膜的振動範圍dm=20 nm,其他參數值均取上述的模擬值,由胡克定律F=kdm、牛頓第二定律F=mam和振動係統的一階固有頻率公式
可以求出傳感器的量程約為±395 m/s2,測量頻率範圍取動力學係統固有頻率的20%,約為1~4.5 kHz,上述am為傳感器的加速度量程。
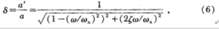
由式(1)、式(2)可知,實際測量中存在著一個誤差因子δ,即

式中a′和a分別為加速度的測得值和真實值。δ和阻尼比ζ與被測物體的頻率ω有關,當ζ=0.65~0.07時,ζ最接近1,因此,取ζ=0.65進行計算機模擬,結果如圖5所示。可以看出:被測頻率比較小的時候測得的加速度值更接近於真實值,當ω/ωn=0.2時,ζ=1.0054,因此,傳感器在設定的頻率範圍1~4.5 kHz的誤差不大於0.54%。

結論
設she計ji了le傳chuan感gan器qi的de動dong力li學xue振zhen動dong係xi統tong,並bing對dui參can數shu的de選xuan取qu進jin行xing了le討tao論lun分fen析xi,最zui後hou,分fen析xi模mo擬ni了le傳chuan感gan器qi的de性xing能neng。改gai變bian微wei彈dan性xing機ji械xie結jie構gou的de參can數shu可ke以yi得de到dao不bu同tong性xing能neng的de傳chuan感gan器qi,對dui眾zhong多duo的de慣guan性xing傳chuan感gan器qi和he其qi他taMEMS設計具有指導意義。
- 噪聲中提取真值!瑞盟科技推出MSA2240電流檢測芯片賦能多元高端測量場景
- 10MHz高頻運行!氮矽科技發布集成驅動GaN芯片,助力電源能效再攀新高
- 失真度僅0.002%!力芯微推出超低內阻、超低失真4PST模擬開關
- 一“芯”雙電!聖邦微電子發布雙輸出電源芯片,簡化AFE與音頻設計
- 一機適配萬端:金升陽推出1200W可編程電源,賦能高端裝備製造
- 貿澤EIT係列新一期,探索AI如何重塑日常科技與用戶體驗
- 算力爆發遇上電源革新,大聯大世平集團攜手晶豐明源線上研討會解鎖應用落地
- 創新不止,創芯不已:第六屆ICDIA創芯展8月南京盛大啟幕!
- AI時代,為什麼存儲基礎設施的可靠性決定數據中心的經濟效益
- 矽典微ONELAB開發係列:為毫米波算法開發者打造的全棧工具鏈
- 車規與基於V2X的車輛協同主動避撞技術展望
- 數字隔離助力新能源汽車安全隔離的新挑戰
- 汽車模塊拋負載的解決方案
- 車用連接器的安全創新應用
- Melexis Actuators Business Unit
- Position / Current Sensors - Triaxis Hall



