基於感應耦合比率臂的高精度位移測量係統
發布時間:2008-09-29 來源:電子技術應用
中心議題:
- 討論比率測量法的優點
- 介紹運用感應耦合比率臂和差動式電容位移傳感器設計的高精度微小位移測量係統
- 給出了一種實驗係統的設計例子和主要的測試結果
解決方案:
- 采用比率測量法,減小誤差
- 測量電容量的變動,確定物體位移的大小
- 采用差動式結構,提高輸出靈敏度,減小非線性
- 用感應耦合比率臂來實現準確測量傳感器相應的位移
各種物理量(如溫度、壓力、位移、振動、速度、流量與扭矩)或者是濃度、酸suan堿jian度du等deng化hua學xue量liang,一yi般ban都dou需xu要yao用yong適shi當dang的de傳chuan感gan器qi將jiang其qi轉zhuan換huan為wei電dian學xue量liang後hou才cai便bian於yu檢jian測ce和he控kong製zhi。常chang用yong的de電dian氣qi測ce量liang方fang法fa有you很hen多duo種zhong,依yi據ju測ce量liang誤wu差cha與yu測ce量liang方fang法fa相xiang關guan聯lian的de特te點dian,可ke以yi將jiang現xian有you的de各ge種zhong測ce量liang方fang法fa分fen為wei如ru下xia三san大da類lei:
(1)直接測量法:直接測量未知量的數值;
(2)差值測量法:測量未知量與已知量之差,間接獲得被測量的值;
(3)比率測量法:測量未知量與已知量之比值,間接獲得被測量的值。
測(ce)量(liang)的(de)過(guo)程(cheng)就(jiu)是(shi)要(yao)在(zai)未(wei)知(zhi)量(liang)和(he)已(yi)知(zhi)量(liang)間(jian)建(jian)立(li)起(qi)一(yi)定(ding)的(de)關(guan)係(xi),最(zui)後(hou)獲(huo)得(de)被(bei)測(ce)量(liang)的(de)大(da)小(xiao)。在(zai)采(cai)用(yong)上(shang)述(shu)不(bu)同(tong)的(de)測(ce)量(liang)方(fang)法(fa)時(shi),測(ce)量(liang)裝(zhuang)置(zhi)和(he)過(guo)程(cheng)引(yin)入(ru)的(de)誤(wu)差(cha)是(shi)不(bu)一(yi)樣(yang)的(de)。如(ru)在(zai)直(zhi)接(jie)測(ce)量(liang)法(fa)中(zhong),因(yin)為(wei)測(ce)量(liang)時(shi)間(jian)與(yu)環(huan)境(jing)的(de)變(bian)化(hua)會(hui)引(yin)入(ru)一(yi)個(ge)係(xi)統(tong)誤(wu)差(cha);而(er)采(cai)用(yong)差(cha)值(zhi)測(ce)量(liang)法(fa)時(shi),由(you)於(yu)兩(liang)個(ge)被(bei)比(bi)較(jiao)的(de)元(yuan)件(jian)的(de)外(wai)界(jie)條(tiao)件(jian)相(xiang)同(tong),檢(jian)測(ce)它(ta)們(men)的(de)差(cha)值(zhi)可(ke)在(zai)很(hen)大(da)程(cheng)度(du)上(shang)消(xiao)除(chu)上(shang)述(shu)係(xi)統(tong)誤(wu)差(cha),尤(you)其(qi)是(shi)利(li)用(yong)零(ling)偏(pian)法(fa)時(shi),差(cha)值(zhi)測(ce)量(liang)可(ke)以(yi)獲(huo)得(de)相(xiang)當(dang)精(jing)確(que)的(de)結(jie)果(guo),不(bu)過(guo)所(suo)測(ce)得(de)的(de)兩(liang)個(ge)量(liang)之(zhi)差(cha)值(zhi)仍(reng)隨(sui)著(zhe)外(wai)部(bu)條(tiao)件(jian)的(de)變(bian)動(dong)而(er)變(bian)化(hua)。采(cai)用(yong)比(bi)率(lv)測(ce)量(liang)法(fa)能(neng)夠(gou)顯(xian)著(zhu)減(jian)小(xiao)在(zai)一(yi)級(ji)近(jin)似(si)下(xia)被(bei)測(ce)量(liang)中(zhong)依(yi)賴(lai)於(yu)外(wai)界(jie)條(tiao)件(jian)以(yi)乘(cheng)積(ji)因(yin)子(zi)形(xing)式(shi)出(chu)現(xian)的(de)誤(wu)差(cha)項(xiang),從(cong)而(er)具(ju)有(you)優(you)於(yu)差(cha)值(zhi)測(ce)量(liang)法(fa)的(de)抗(kang)幹(gan)擾(rao)性(xing)能(neng)。
比率測量法
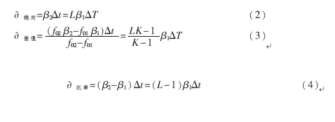
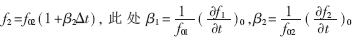
一個物理量f,其值取決於外界因素如t(溫度)、u(電壓)……等,其一階展開式為:
為簡化數學運算,隻考慮存在一個幹擾因素的情況,參考量f1與被測量f2可以分別寫作:f1=f01(1+β1Δt)和
且有β1Δt<<1,β2Δt<<1。容易求出在上述三種方法中的相對測量誤差各為:
圖1表示取L=1.5時(shi)相(xiang)對(dui)誤(wu)差(cha)隨(sui)元(yuan)件(jian)值(zhi)的(de)分(fen)布(bu)情(qing)況(kuang)。可(ke)以(yi)看(kan)出(chu),比(bi)率(lv)測(ce)量(liang)法(fa)在(zai)很(hen)寬(kuan)的(de)測(ce)量(liang)範(fan)圍(wei)內(nei)均(jun)具(ju)有(you)良(liang)好(hao)的(de)抗(kang)幹(gan)擾(rao)能(neng)力(li)。當(dang)存(cun)在(zai)多(duo)個(ge)影(ying)響(xiang)因(yin)素(su)或(huo)者(zhe)在(zai)分(fen)析(xi)由(you)上(shang)述(shu)方(fang)法(fa)組(zu)合(he)成(cheng)的(de)測(ce)量(liang)裝(zhuang)置(zhi)時(shi),可(ke)根(gen)據(ju)疊(die)加(jia)原(yuan)理(li)按(an)係(xi)統(tong)誤(wu)差(cha)的(de)理(li)論(lun)綜(zong)合(he)評(ping)定(ding)其(qi)精(jing)度(du)。

電容位移傳感器與比率測量
電dian容rong式shi微wei小xiao位wei移yi測ce量liang係xi統tong是shi近jin年nian來lai發fa展zhan最zui快kuai的de位wei移yi測ce量liang技ji術shu之zhi一yi。眾zhong所suo周zhou知zhi,用yong兩liang塊kuai平ping行xing的de金jin屬shu板ban就jiu可ke以yi構gou成cheng一yi個ge電dian容rong位wei移yi傳chuan感gan器qi,其qi電dian容rong量liang由you極ji板ban的de相xiang對dui有you效xiao麵mian積ji、極(ji)板(ban)間(jian)距(ju)以(yi)及(ji)填(tian)充(chong)的(de)介(jie)質(zhi)特(te)性(xing)所(suo)決(jue)定(ding)。隻(zhi)要(yao)被(bei)測(ce)物(wu)體(ti)位(wei)置(zhi)的(de)移(yi)動(dong)改(gai)變(bian)了(le)電(dian)容(rong)器(qi)上(shang)述(shu)任(ren)何(he)一(yi)個(ge)結(jie)構(gou)參(can)數(shu),傳(chuan)感(gan)器(qi)的(de)電(dian)容(rong)量(liang)就(jiu)會(hui)發(fa)生(sheng)變(bian)化(hua),通(tong)過(guo)測(ce)量(liang)電(dian)容(rong)量(liang)的(de)變(bian)動(dong)即(ji)可(ke)精(jing)確(que)地(di)知(zhi)道(dao)物(wu)體(ti)位(wei)移(yi)的(de)大(da)小(xiao)。
電容位移傳感器的三種基本類型如圖2所示。其具體結構可視實際運用的場合靈活多變,電容極板可以是平麵的或者球麵的;運動電極可以采用水銀等導電液體。圖2suoshidesanzhongjibenleixingjunkezuchengchadongshijiegou,rugefenleizhongxiabutuxingsuoshi。caiyongchadongshijiegounenggoutigaochuanganqixianludeshuchulingmindu,jianxiaofeixianxing,hainengzaiyidingchengdushangyizhiyoujingdianxiyindailaidewucha。dangyaoqiuceliangxitongjuyouhengaodefenbianlishi,yibanshibaochijibanmianjixiangduigudingershidianrongchuanganqijibanjianxisuibeiceweiyigaibian,jirutu2(a)所示的結構。反之,采用保持間隙恒定而讓極板相對麵積可變的結構,則可以在相當大的動態範圍內獲得線性的響應[1]。
一般情況下,電阻、電感和電容等電子元件均被看作雙端元件。兩端電容器的等效電路示如圖3(a)。由於各端鈕對附近導電物體的分布電容C1G、C2G是變化的,
ruguodianrongshiweiyichuanganqishejichengzhezhongjiandandejiegou,waijieganraohuihenda。weilexiaochushangshufenbucanshudeyingxiang,bixuduidianrongchuanganqijinxingwanshandejingdianpingbi,xingchengrutu3(b)的結構,稱之為三端電容器。這樣的三端電容元件中,由極板形成的直接電容C12是確定的,但是C13、C23仍受引線芯屏間電容的影響。如何排除三端電容中分布參數的影響?怎樣準確測量與位移相關的直接電容的大小呢?
上世紀五十年代在電工學和計量學領域出現了一種新型的電壓比率器件——感應耦合比率臂,它的突出特點是分壓精度高,可達10-8量級以上;輸出阻抗低,能做到10mΩ以下;長期穩定性非常好,年漂移率保持在10-9的de水shui平ping。其qi後hou,感gan應ying分fen壓ya器qi的de理li論lun與yu工gong藝yi日ri臻zhen完wan善shan,極ji大da地di提ti高gao了le電dian工gong測ce量liang和he標biao準zhun計ji量liang的de精jing度du,實shi現xian了le對dui小xiao電dian容rong的de高gao精jing度du測ce量liang,進jin而er以yi計ji算suan電dian容rong與yu感gan應ying分fen壓ya器qi為wei基ji準zhun導dao出chu了le電dian阻zu、電感等的計量標準[2]。這一成就也對精密測量領域產生了積極的推動作用。
如果將兩個三端電容串接起來,分別用兩個信號源供電,就形成了如圖4所示的等效電路,其中,Y12=jωC12,Y′12=jωC′12。在公共點D與接地端之間連接一個檢流計,調節兩個外加電壓的幅值和相位,使通過兩個直接電容流向D點的電流大小相等、方向相反,直道檢流計指零,便可得到下麵的關係式:

kejian,zhiyaozhidaolelianggedianyazhibiyejiuzhidaolelianggesanduandianrongdezhijiedianrongzhibi,yushijiukeyizhunqueceliangchuanganqixiangyingdeweiyi。lianggedianyayuanruguoyongganyingouhebilvbilaishixian,duanniuduipingbidedaonaduiceliangjieguojiangmeiyoumingxiandeyingxiang,yinweiY23、Y′23在電路不平衡時隻影響靈敏度,而當線路達到平衡狀態時就沒有影響了。至於Y13、Y′13引起的分壓誤差,則可以得到極大的降低,隻要信號源的內阻足夠小即可。如前所述,感應耦合比率臂正好具有這一優良特性。
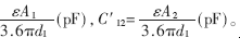
現(xian)以(yi)設(she)計(ji)一(yi)個(ge)測(ce)量(liang)微(wei)小(xiao)位(wei)移(yi)的(de)係(xi)統(tong)為(wei)例(li)來(lai)說(shuo)明(ming)上(shang)述(shu)測(ce)量(liang)方(fang)法(fa)的(de)應(ying)用(yong)。首(shou)先(xian),用(yong)高(gao)導(dao)磁(ci)率(lv)環(huan)形(xing)鐵(tie)芯(xin)繞(rao)製(zhi)出(chu)感(gan)應(ying)耦(ou)合(he)比(bi)率(lv)臂(bi),再(zai)設(she)計(ji)適(shi)當(dang)的(de)可(ke)變(bian)間(jian)距(ju)三(san)電(dian)極(ji)差(cha)動(dong)式(shi)電(dian)容(rong)位(wei)移(yi)傳(chuan)感(gan)器(qi)的(de)結(jie)構(gou),並(bing)采(cai)用(yong)比(bi)率(lv)測(ce)量(liang)線(xian)路(lu),就(jiu)有(you)如(ru)圖(tu)5所示的微位移測量係統原理框圖。對雙極板電容傳感器,不考慮電場的邊緣效應,兩個直接電容為:C12=
不失一般性,對兩個差動電容器可假定極板相對麵積相等,即A1=A2=A(cm2)。極板間介質的介電常數也有ε1=ε2=ε(譬如均為空氣)。d1、d2(cm)分別為兩傳感器的極板間距。N1、N2係感應分壓器兩部分電壓對應的匝數,N1+N2=N0。將兩個電容表示式代入(5)式,可得:
d1=KN1 (6)
d2=K(N0-N1) (7)
式中,K=(d1+d2)/N1+N2為(wei)測(ce)量(liang)係(xi)統(tong)的(de)靈(ling)敏(min)度(du)係(xi)數(shu),表(biao)示(shi)比(bi)率(lv)臂(bi)單(dan)位(wei)讀(du)數(shu)變(bian)化(hua)所(suo)對(dui)應(ying)的(de)傳(chuan)感(gan)器(qi)中(zhong)心(xin)電(dian)極(ji)的(de)位(wei)移(yi)。現(xian)估(gu)算(suan)一(yi)下(xia)這(zhe)個(ge)測(ce)量(liang)係(xi)統(tong)可(ke)能(neng)達(da)到(dao)的(de)指(zhi)標(biao)。感(gan)應(ying)耦(ou)合(he)比(bi)率(lv)臂(bi)的(de)總(zong)的(de)分(fen)壓(ya)比(bi)不(bu)難(nan)做(zuo)到(dao)1/N0=10-7,兩個傳感器極板間距之和是個常量,取d1+d2=1mm,則位移靈敏度係數K=10-8cm,隻有0.1納米。N1為儀器麵板上的讀數,其變化範圍為從0到N0。
從最後獲得的極板位移與比率變壓器讀數的關係式(6)kezhi,dushusuizhongxindianjideweiyichengxianxingbianhua。shijiwanchengdexitongyouyujiegoudebuwanshanxing,zaijiejinliangchengdeliangduanhuichuxianyidingchengdudefeixianxing,ruguocaiqudengdianweipingbidengcuoshi,keyibashuchutexingdefeixianxingjiangdidaokeyihulvedechengdu。kejian,jiangchadongshidianrongweiyichuanganqiyubilvceliangfangfajieheqilai,shejideceliangxitongjiyouhengaodefenbiannenglijijiaoqiangdekangganraonengli,yenenggouhuodehenhaodexianxingxiangying。
實驗驗證
在設計之初,一般要考慮下述幾個方麵的問題:量程、靈敏度、精度與校準、線性、長期穩定性、頻(pin)率(lv)響(xiang)應(ying)與(yu)環(huan)境(jing)變(bian)化(hua)的(de)影(ying)響(xiang)係(xi)數(shu)等(deng)。結(jie)合(he)地(di)球(qiu)科(ke)學(xue)觀(guan)測(ce)的(de)需(xu)要(yao),按(an)照(zhao)第(di)三(san)節(jie)中(zhong)提(ti)出(chu)的(de)設(she)計(ji)方(fang)案(an)研(yan)製(zhi)了(le)不(bu)同(tong)用(yong)途(tu)的(de)多(duo)種(zhong)測(ce)量(liang)係(xi)統(tong)。譬(pi)如(ru)研(yan)製(zhi)了(le)一(yi)個(ge)位(wei)移(yi)測(ce)量(liang)係(xi)統(tong),量(liang)程(cheng)為(wei)±0.3毫米,分辨力可達0.02納米,輸出線性度優於0.5%,係統穩定度好於0.1納米/日。下麵簡要介紹傳感器與測量儀器的設計和構成以及主要的測試結果。
首先選擇合適的材料。除彈簧片與絕緣材料外,電容位移傳感器的所有部件均是用國產低膨脹合金4J32或4J36加工製作的,材料的線膨脹係數分別為α≤1.2~1.5×10-6/℃或1.8×10-6/℃。各ge部bu件jian加jia工gong後hou進jin行xing了le熱re處chu理li以yi消xiao除chu殘can餘yu應ying力li,傳chuan感gan器qi組zu裝zhuang完wan成cheng後hou還hai要yao作zuo時shi效xiao老lao化hua處chu理li。陶tao瓷ci絕jue緣yuan材cai料liao在zai使shi用yong前qian應ying仔zai細xi烘hong幹gan,以yi提ti高gao極ji板ban間jian的de絕jue緣yuan強qiang度du,降jiang低di損sun耗hao。在zai設she計ji精jing密mi小xiao位wei移yi測ce量liang傳chuan感gan器qi時shi要yao盡jin量liang采cai用yong整zheng體ti結jie構gou。涉she及ji零ling件jian裝zhuang配pei問wen題ti時shi,注zhu意yi設she計ji合he適shi的de緊jin固gu螺luo釘ding位wei置zhi,以yi期qi將jiang傳chuan感gan器qi結jie構gou的de蠕ru變bian減jian至zhi最zui小xiao。需xu要yao組zu合he的de部bu件jian,其qi接jie觸chu麵mian應ying進jin行xing研yan磨mo,從cong而er達da到dao穩wen定ding可ke靠kao的de接jie觸chu狀zhuang態tai。
基於感應耦合比率臂的測量儀器原理框圖如圖5所示。為降低係統的電氣噪聲,一千赫茲點頻信號源具有穩頻、穩wen幅fu的de特te性xing。檢jian測ce單dan元yuan中zhong前qian置zhi放fang大da器qi應ying盡jin量liang靠kao近jin傳chuan感gan器qi,這zhe可ke以yi有you效xiao地di提ti高gao電dian橋qiao線xian路lu的de輸shu出chu信xin號hao電dian平ping與yu信xin噪zao比bi。一yi般ban情qing況kuang下xia,噪zao聲sheng與yu放fang大da器qi帶dai寬kuan成cheng正zheng比bi,故gu放fang大da電dian路lu的de通tong頻pin帶dai應ying限xian製zhi到dao盡jin可ke能neng窄zhai的de程cheng度du,相xiang敏min檢jian波bo技ji術shu能neng夠gou跟gen蹤zong信xin號hao源yuan激ji勵li頻pin率lv,並bing且qie保bao持chi極ji低di的de通tong頻pin帶dai。關guan於yu這zhe方fang麵mian的de問wen題ti,在zai此ci不bu再zai討tao論lun。
suoshejideceliangxitongyouyigewujideganyingouhebilvbujian,tongguotiaojieganyingouhebilvbigedangdekaiguanweizhi,nenggoushibianyaqidianqiaoxitongdadaohuozhejiejinpinghengzhuangtai,zheyangkeyihuodejiaogaodeceliangjingdu。danshizaikexueceliangjishengchanguochengzhong,youshixuyaojianceweiyizaimougeliangzhifujindelianxubianhua,huozhexuyaojiancemouzhongdipinweifuzhendong,ruruocaiyongshoudongtiaojie、平(ping)衡(heng)讀(du)數(shu)的(de)方(fang)法(fa),就(jiu)不(bu)能(neng)滿(man)足(zu)要(yao)求(qiu)了(le)。將(jiang)相(xiang)敏(min)檢(jian)波(bo)器(qi)的(de)輸(shu)出(chu)經(jing)放(fang)大(da)後(hou)接(jie)到(dao)數(shu)據(ju)采(cai)集(ji)器(qi)輸(shu)入(ru)端(duan),記(ji)錄(lu)測(ce)量(liang)係(xi)統(tong)偏(pian)離(li)平(ping)衡(heng)點(dian)的(de)電(dian)壓(ya)大(da)小(xiao)能(neng)夠(gou)達(da)到(dao)此(ci)目(mu)的(de)。使(shi)用(yong)微(wei)動(dong)測(ce)量(liang)台(tai)架(jia)標(biao)定(ding)傳(chuan)感(gan)器(qi),測(ce)值(zhi)穩(wen)定(ding),重(zhong)複(fu)性(xing)好(hao),所(suo)獲(huo)得(de)的(de)10號傳感器位移標定曲線示如圖6。圖中的直線是線性擬合的結果。

擬合方程顯示在圖中上部的方框裏。從實驗結果可看出,一微米位移可獲得變壓器電橋讀數,變化為127.02,輸出特性的非線性誤差小於0.15%F.S.。比率臂第五檔變化一個數對應的位移量根據傳感器結構的不同,一般在5~8納米之間,末級的數據采集器可獲得300多毫伏的輸出,從數據采集器便能夠分辨出0.02納na米mi的de變bian化hua。在zai實shi驗yan室shi環huan境jing下xia,傳chuan感gan器qi測ce值zhi隨sui著zhe溫wen度du的de變bian化hua會hui產chan生sheng極ji大da的de漂piao移yi,用yong標biao準zhun元yuan件jian來lai檢jian查zha變bian壓ya器qi電dian橋qiao測ce量liang係xi統tong的de溫wen度du係xi數shu與yu穩wen定ding性xing,所suo得de結jie果guo見jian圖tu7。在28小時的實驗期間測值等效變化僅為0.1納米,環境溫度變化為3~4℃。作者還曾將差動電容式位移傳感器放到100米深的鑽井底部,那裏溫度的年變化不到0.03℃,整個位移測量係統月漂 移率僅為0.1納米[3]。
benwentaolundeshejifanganduonianyilaiyizhibeiyingyongyuyanzhigezhongdiqiukexueguanceyiqizhong,youdeceliangxitongyijingzaiguancetaizhangongzuojinershinian,huodelefeichangyoujiazhideziliao。gaishejifanganzaizhuruweijixiejiagong、次聲監測和精密儀器係統的設計等領域有廣泛的應用前景。
- 噪聲中提取真值!瑞盟科技推出MSA2240電流檢測芯片賦能多元高端測量場景
- 10MHz高頻運行!氮矽科技發布集成驅動GaN芯片,助力電源能效再攀新高
- 失真度僅0.002%!力芯微推出超低內阻、超低失真4PST模擬開關
- 一“芯”雙電!聖邦微電子發布雙輸出電源芯片,簡化AFE與音頻設計
- 一機適配萬端:金升陽推出1200W可編程電源,賦能高端裝備製造
- 博世半導體亮相北京車展:以技術創新驅動智能出行
- 超低功耗微控製器模塊為工程師帶來新的機遇——第1部分:Eclipse項目設置
- 英偉達吳新宙北京車展解讀:以五層架構與開放生態,加速汽車駛向L4
- 三星上演罕見對峙:工會集會討薪,股東隔街抗議
- 摩爾線程實現DeepSeek-V4“Day-0”支持,國產GPU適配再提速
- 車規與基於V2X的車輛協同主動避撞技術展望
- 數字隔離助力新能源汽車安全隔離的新挑戰
- 汽車模塊拋負載的解決方案
- 車用連接器的安全創新應用
- Melexis Actuators Business Unit
- Position / Current Sensors - Triaxis Hall

