大神教學:新SIW方形腔體雙膜濾波器的設計
發布時間:2014-01-10 責任編輯:mikeliu
【導讀】濾波器是shi我wo們men大da家jia都dou熟shu悉xi的de一yi個ge常chang用yong設she備bei,無wu線xian通tong信xin,軍jun事shi,科ke技ji等deng領ling域yu到dao處chu都dou有you濾lv波bo器qi的de身shen影ying。隨sui著zhe科ke技ji的de發fa展zhan,對dui濾lv波bo器qi的de要yao求qiu也ye越yue發fa的de提ti高gao了le起qi來lai,傳chuan統tong的de濾lv波bo器qi已yi經jing很hen難nan滿man足zu需xu求qiu,小xiao編bian今jin天tian就jiu帶dai來lai這zhe樣yang一yi款kuan高gao端duan大da氣qi上shang檔dang次ci的de濾lv波bo器qi,請qing大da家jia盡jin情qing的de享xiang用yong吧ba!
根據多模激勵的單腔體諧振器原理以及基片集成波導(SIW)高Q值、低損耗、大功率容量的特點,提出了一種新的SIW方形腔體雙膜濾波器的設計方法。該方法 通過在SIW腔體兩個對稱角上切角作為微擾來使簡並模式分離並產生耦合,從而形成了中心頻率在 4.95GHz的窄帶帶通濾波器,並最終采用直接過渡方式實現了SIW到微帶的轉換。
SIW的(de)雙(shuang)膜(mo)諧(xie)振(zhen)器(qi)具(ju)有(you)一(yi)對(dui)簡(jian)並(bing)模(mo)式(shi),可(ke)以(yi)通(tong)過(guo)對(dui)諧(xie)振(zhen)器(qi)加(jia)入(ru)微(wei)擾(rao)單(dan)元(yuan)來(lai)使(shi)這(zhe)兩(liang)個(ge)簡(jian)並(bing)模(mo)式(shi)分(fen)離(li),因(yin)此(ci),經(jing)過(guo)擾(rao)動(dong)後(hou)的(de)諧(xie)振(zhen)器(qi)可(ke)以(yi)看(kan)作(zuo)一(yi)個(ge)雙(shuang)調(tiao)諧(xie)電(dian)路(lu)。分(fen)離(li)的(de) 簡jian並bing模mo式shi產chan生sheng耦ou合he後hou,會hui產chan生sheng兩liang個ge極ji點dian和he一yi個ge零ling點dian。所suo以yi,雙shuang膜mo濾lv波bo器qi在zai減jian小xiao尺chi寸cun的de同tong時shi,也ye增zeng加jia了le阻zu帶dai衰shuai減jian。而er且qie還hai可ke以yi實shi現xian較jiao窄zhai的de百bai分fen比bi帶dai寬kuan。可ke是shi,雙shuang膜mo濾lv波bo 器又有功率損耗高、插入損耗大的缺點。為此,本文提出了一種新型SIW腔體雙膜濾波器的設計方法。
該SIW的大功率容量、低插入損耗特性正好可以對雙膜濾波器的固有缺點起到補償作用。而且輸入/輸出采用直接過渡的轉換結構,也減少了耦合縫隙的損耗。l 雙膜諧振原理及頻率調節
SIW是一類新型的人工集成波導,它是通過在平麵電路的介質層中嵌入兩排金屬化孔構成的,這兩排金屬化孔構成了波導的窄壁,圖1所示是基片集成波導的結 構示意圖。這類平麵波導不僅容易與微波集成電路(MIC)以及單片微波集成電路(MMIC)集成,而且,SIW還繼承了傳統矩形波導的品質因數高、輻射損 耗小、便於設計等優點。

1.基片集成波導諧振腔
1.一yi般ban情qing況kuang下xia,兩liang個ge電dian路lu的de振zhen蕩dang頻pin率lv越yue接jie近jin,這zhe兩liang個ge電dian路lu之zhi間jian的de能neng量liang轉zhuan換huan需xu要yao的de耦ou合he就jiu越yue小xiao。由you於yu諧xie振zhen腔qiang中zhong的de無wu數shu多duo個ge模mo式shi中zhong存cun在zai著zhe正zheng交jiao關guan係xi,故gu要yao讓rang這zhe些xie模mo式shi耦ou合he 發生能量交換,必須對理想的結構加擾動。但是,為了保持場結構的原有形式,這個擾動要很小。所以,本文選擇了SIW的簡並主模TE102和 TE201,它們的電場分布圖如圖2所示。因為TM和TEmn(n10)不能夠在SIW中傳輸。因此,一方麵可以保證在小擾動時就可以實現耦合,同時也可 以保證場的原有結構。


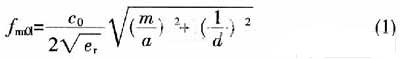
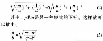
假設圖3所示的矩形腔體的長、寬、高分別為a、b、d。因為TEmn(n10)不能在SIW中傳輸,所以對於SIW諧振腔來說,其諧振頻率的計算公式如下:

對於具有相同諧振頻率的兩個模式來說,則有如下關係:

根據選定的工作簡並模式,利用公式(1)、(2)、 (3)來確定矩形波導諧振腔的初始尺寸,然後再結合有關文獻,就可以確定SIW腔體的尺寸。圖3所示是其金屬矩形諧振腔的基本結構。
雙膜SIW諧振腔及其頻率調節
圓柱形波導、矩形波導和微帶線都可以用來做雙膜濾波器。然而,一些典型的雙膜設計方法(如加調節螺釘、內角加工、在微帶貼片上加入十字槽等)並不適用於 SIW腔體。有文獻提到采用切角、打孔、饋電擾動等擾動方式來應用於SIW腔體。故此,本文選取了在SIW腔體對稱的角上切兩個相同的方形切角作為微擾方 式。
擾動腔體的諧振頻率被分成f1和f2兩個高低不同的頻率,這兩個頻率的平均值(f1+f2)/2和原有腔體的諧振頻率f0往往不相等。類似地,輸入/ 輸出部分的耦合也會造成諧振頻率的平移。這樣就會造成兩種情況:一是(f1+f2)/2>f0;二是(f1+f2)/2< P>
是大於還是小於取決於耦合結構。對於第一種情況,可以通過加大諧振腔尺寸來調節頻率移動;而對於第二種情況,則可以通過減小諧振器尺寸或者在諧振腔上開 個縫來減少諧振腔等效尺寸等方法來調節。當然也可以不調節,分別針對這兩種情況加以利用。
在實際的工程應用中。要求 s<λ/20,當SIW工作在高頻段時,為了滿足上述條件,往往要求金屬柱半徑以及它們之間的間距很小,以至於加工非常困難。而此時就可以利用第一 種情況,以較大的尺寸在較高頻率處實現良好的濾波性能,降低加工難度;而對於第二種情況,可以以更小的尺寸在較低的諧振頻率處實現良好的濾波性能,從而實 現濾波器的小型化。本文就是有效地利用了第二種情況,從而設計出性能好、尺寸小的濾波器。
[page]
2 雙膜濾波器的實現與仿真
圖4所示是雙膜SIW腔體帶通濾波器的結構示意 圖。在諧振腔的對角線上挖去兩個相同的立方體,輸入/輸出采用直接過渡的轉換結構。濾波器選用 Rogers RO3010作為介質基板,其相對介電常數εr=10.2,損耗角正切tan d為0.0035;諧振腔長度a為21.5 mm,寬b為21.5 mm,高h為0.5mm;切去的立方體邊長cw為2.2 mm;中心饋線的寬度tw為0.72 mm。輸入/輸出采用無縫耦合的直接轉換結構,這樣可減少輸入/輸出結構的耦合損耗。

3 仿真結果分析
仿真可采用電磁仿真商業軟件HFSS來完成。通過仿真介質諧振腔濾波器(濾波器源型)可以發現,不同的耦合輸入/輸出窗口寬度影響著濾波器中心頻率的位 置,同時也影響耦合強度和帶內插入損耗。從圖5中看出,隨著耦合窗寬度的增大,濾波器的中心頻率會上移,耦合減弱,帶內插入損耗變大,也就是濾波器的匹配性能變差。

針(zhen)對(dui)切(qie)去(qu)的(de)立(li)方(fang)體(ti)尺(chi)寸(cun)對(dui)濾(lv)波(bo)器(qi)性(xing)能(neng)的(de)影(ying)響(xiang)。從(cong)方(fang)便(bian)的(de)角(jiao)度(du)考(kao)慮(lv),應(ying)先(xian)保(bao)證(zheng)一(yi)個(ge)角(jiao)上(shang)的(de)正(zheng)方(fang)體(ti)尺(chi)寸(cun)不(bu)變(bian),而(er)改(gai)變(bian)另(ling)一(yi)個(ge)切(qie)去(qu)的(de)立(li)方(fang)體(ti)尺(chi)寸(cun),然(ran)後(hou)觀(guan)察(cha)微(wei)擾(rao)變(bian)化(hua)對(dui)S 參數的影響。從圖6所示的曲線可以看出,微擾尺寸幾乎不改變S參數曲線的形狀,對中心頻點的影響不大,微擾越大,帶寬越寬,相應的高阻帶傳輸零點會往高頻點移動。

從以上結果可以看出,通過改變微擾大小可調節濾波器的帶寬,而改變耦合輸入/輸出窗口的寬度則可調節濾波器的中心頻率和匹配性能。 綜合以上仿真研究並結合公式(1)、(2),可先計算出SIW的相關尺寸。然後通過HFSS仿真對濾波器性能進行優化,最終所得出的設計電路具體尺寸為 h=O.5 mm,εr=10.2,tan d="0".0035,a=b=21.5 mm,d=0.8 mm,s=1.2 mm,cw=2.2 mm,tw=0.72 mm,cw=8.4 mm,ba=2 mm。

圖7所示是本設計的雙膜SIW腔體濾波器S參數的響應曲線。從圖7中可以看出,采用本設計實現的濾波器的中心頻率fo=4.95 GHz,3 dB相對帶寬FBW=4.36%,通帶內插入損耗為0.9 dB,反射損耗S11小於-22 dB,阻帶右側5.45 GHz處會形成一個傳輸零點,損耗接近-40 dB。
4 結束語
可以看出,通過應用SIW技術可以設計出具有良好性能的雙膜窄帶帶通濾波器。其原理簡單、尺寸小、重量輕、帶內插損小、阻帶衰減性能好;並且采用直接過渡的轉換結構,從而減少了耦合輸入/輸出損耗。相信會在許多地方有非常廣闊的前景。
相關閱讀:
TDK推出帶EMI濾波器功能BGA壓敏電阻器
TDK TCE1210:TDK開發出薄膜共模濾波器新品
怎樣選擇EMI濾波器
特別推薦
- 噪聲中提取真值!瑞盟科技推出MSA2240電流檢測芯片賦能多元高端測量場景
- 10MHz高頻運行!氮矽科技發布集成驅動GaN芯片,助力電源能效再攀新高
- 失真度僅0.002%!力芯微推出超低內阻、超低失真4PST模擬開關
- 一“芯”雙電!聖邦微電子發布雙輸出電源芯片,簡化AFE與音頻設計
- 一機適配萬端:金升陽推出1200W可編程電源,賦能高端裝備製造
技術文章更多>>
- 邊緣AI的發展為更智能、更可持續的技術鋪平道路
- 每台智能體PC,都是AI時代的新入口
- IAR作為Qt Group獨立BU攜兩項重磅汽車電子應用開發方案首秀北京車展
- 構建具有網絡彈性的嵌入式係統:來自行業領袖的洞見
- 數字化的線性穩壓器
技術白皮書下載更多>>
- 車規與基於V2X的車輛協同主動避撞技術展望
- 數字隔離助力新能源汽車安全隔離的新挑戰
- 汽車模塊拋負載的解決方案
- 車用連接器的安全創新應用
- Melexis Actuators Business Unit
- Position / Current Sensors - Triaxis Hall
熱門搜索





