誤差對微波元件電性能的影響
發布時間:2009-11-30
中心議題:
近幾年來由於星載天線、大功率雷達的工作頻率越來越高,頻帶越來越寬,發射功率越來越大,使饋線係統的結構形式變得越來越複雜,現有的設計觀念、生產能力已製約了產品性能的提高。
對大功率容量的雷達而言,由於其功率大,饋線係統中重要微波元件的尺寸誤差、表麵粗糙度、安an裝zhuang精jing度du對dui整zheng個ge係xi統tong的de功gong率lv容rong量liang影ying響xiang也ye非fei常chang大da。若ruo成cheng型xing的de微wei波bo元yuan件jian出chu現xian質zhi量liang問wen題ti,設she計ji者zhe很hen難nan通tong過guo電dian調tiao得de以yi補bu救jiu。因yin此ci,了le解jie各ge種zhong誤wu差cha對dui係xi統tong電dian性xing能neng的de影ying響xiang,在zai設she計ji中zhong能neng預yu防fang誤wu差cha的de產chan生sheng,在zai加jia工gong中zhong能neng通tong過guo合he理li的de工gong藝yi方fang法fa消xiao除chu各ge種zhong製zhi造zao誤wu差cha,這zhe對dui保bao證zheng微wei波bo元yuan件jian的de電dian性xing能neng和he提ti高gao係xi統tong的de功gong率lv容rong量liang尤you為wei重zhong要yao。
波的傳輸特性
在任何情況下,波在傳輸過程中均有損耗及反射。主要原因在於傳輸途中有各種各樣的障礙物,如波導的不規則變形、波導材料的突變、各個波導元件之間口徑尺寸不一致、接頭處波導口不同軸、多(duo)次(ci)的(de)連(lian)接(jie)等(deng)。反(fan)射(she)波(bo)不(bu)但(dan)不(bu)能(neng)保(bao)證(zheng)電(dian)磁(ci)波(bo)的(de)傳(chuan)輸(shu),而(er)且(qie)駐(zhu)波(bo)波(bo)腹(fu)處(chu)會(hui)在(zai)大(da)功(gong)率(lv)工(gong)作(zuo)中(zhong)導(dao)致(zhi)係(xi)統(tong)的(de)電(dian)擊(ji)穿(chuan)。因(yin)此(ci)元(yuan)器(qi)件(jian)尺(chi)寸(cun)越(yue)精(jing)確(que),法(fa)蘭(lan)電(dian)接(jie)觸(chu)越(yue)好(hao),損(sun)耗(hao)和(he)反(fan)射(she)波(bo)就(jiu)越(yue)少(shao)。在(zai)設(she)計(ji)和(he)製(zhi)造(zao)中(zhong)應(ying)該(gai)盡(jin)可(ke)能(neng)避(bi)免(mian)波(bo)導(dao)的(de)不(bu)規(gui)則(ze)變(bian)形(xing),保(bao)證(zheng)尺(chi)寸(cun)的(de)精(jing)確(que)度(du),同(tong)時(shi)還(hai)要(yao)有(you)相(xiang)應(ying)的(de)加(jia)工(gong)工(gong)藝(yi)和(he)檢(jian)驗(yan)技(ji)術(shu),確(que)保(bao)高(gao)頻(pin)導(dao)電(dian)層(ceng)的(de)良(liang)好(hao)導(dao)電(dian)性(xing)、平坦性及連接處的準確性,以滿足電氣設計要求。
微波元件基體材料與衰減的關係
即(ji)使(shi)是(shi)理(li)想(xiang)光(guang)滑(hua)的(de)波(bo)導(dao),其(qi)基(ji)體(ti)材(cai)料(liao)的(de)導(dao)電(dian)率(lv)也(ye)不(bu)大(da)。如(ru)果(guo)給(gei)理(li)想(xiang)光(guang)滑(hua)的(de)波(bo)導(dao)內(nei)腔(qiang)電(dian)鍍(du)純(chun)銀(yin)或(huo)純(chun)銅(tong),可(ke)以(yi)提(ti)高(gao)高(gao)頻(pin)導(dao)電(dian)層(ceng)的(de)導(dao)電(dian)率(lv),從(cong)而(er)使(shi)波(bo)導(dao)衰(shuai)減(jian)降(jiang)低(di)。表(biao)1是金屬和合金在20℃,f=10GHz時的衰減量(波導口徑為23mm×10mm)。

從表1的數據可看出,導電性能良好的鋁、銅、銀(yin)等(deng)材(cai)料(liao)在(zai)傳(chuan)輸(shu)電(dian)磁(ci)波(bo)時(shi)損(sun)耗(hao)較(jiao)小(xiao)。同(tong)種(zhong)材(cai)料(liao)退(tui)火(huo)去(qu)除(chu)應(ying)力(li)有(you)利(li)於(yu)恢(hui)複(fu)金(jin)屬(shu)導(dao)電(dian)結(jie)構(gou),使(shi)其(qi)導(dao)電(dian)率(lv)增(zeng)加(jia),波(bo)導(dao)衰(shuai)減(jian)減(jian)少(shao)。在(zai)實(shi)際(ji)工(gong)作(zuo)中(zhong),為(wei)了(le)取(qu)得(de)良(liang)好(hao)的(de)經(jing)濟(ji)效(xiao)益(yi),應(ying)盡(jin)量(liang)采(cai)用(yong)熱(re)處(chu)理(li)方(fang)法(fa),這(zhe)樣(yang)能(neng)獲(huo)得(de)較(jiao)好(hao)的(de)電(dian)磁(ci)波(bo)傳(chuan)輸(shu)性(xing)能(neng)。
波導內表麵粗糙度和衰減量的關係
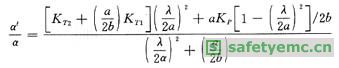
波導表麵粗糙時的衰減量與理想光滑時的衰減量α的比值為:

式中KT1,KT2,Kp分別為波導a,b邊的表麵粗糙因子。
由Benson和AILison對各種不同工藝加工的口徑為25.4mm×12.7mm銅波導管,測出KT1,KT2,Kp之後,據上式算出的α′/α之值見表2[1]。[page]

對表2數據的分析可知:
(1)精密拉製成型的波導管性能較好。
(2)電拋光比化學拋光效果好,能獲得較優越的電氣性能。
(3)光亮鍍銅的效果最佳。
波導表麵粗糙度越低,加工難度越大,製造成本也越高。為了降低成本、提高經濟效益,在不同頻段,控製波導管表麵粗糙度的要求是不同的。頻率越高,波長越小,粗糙度值要求也越低。表3為實際工作中總結出的銅、黃銅、鍍銀波導在不同頻率時的粗糙度要求,可作為設計時的依據。

波導管安裝誤差與電性能的關係
在(zai)由(you)許(xu)多(duo)波(bo)導(dao)元(yuan)件(jian)組(zu)成(cheng)的(de)係(xi)統(tong)中(zhong),除(chu)在(zai)波(bo)導(dao)中(zhong)插(cha)入(ru)不(bu)均(jun)勻(yun)性(xing)元(yuan)件(jian)會(hui)引(yin)起(qi)波(bo)的(de)反(fan)射(she)外(wai),兩(liang)元(yuan)件(jian)連(lian)接(jie)處(chu)產(chan)生(sheng)的(de)不(bu)連(lian)續(xu)性(xing)也(ye)會(hui)引(yin)起(qi)波(bo)的(de)反(fan)射(she),以(yi)至(zhi)降(jiang)低(di)傳(chuan)輸(shu)效(xiao)率(lv)。
微波元件在安裝過程中容易出現的問題有以下幾種[2]:
(1)波導口徑不一致,如圖1(a)所示。
(2)波導口徑一致,但中心不同軸,如圖1(b)所示。
(3)波導口徑一致,但中心線不平行,存在夾角θ,如圖1(c)所示。
以23mm×10mm的波導為例,在f=10GHz時不同類型的安裝誤差所引起的駐波比見表4-表7。




對表4~表7的數據分析可知,波導口徑誤差所致的駐波係數比波導口徑一致而因連接錯位所引起的駐波係數要大;偏角對H麵駐波係數的影響比對E麵駐波係數的影響更顯著。因此微波元件在加工過程中要盡量保證口徑一致、端麵法蘭與元件軸心線盡量垂直,使夾角θ≤0.2°,在(zai)安(an)裝(zhuang)過(guo)程(cheng)中(zhong)通(tong)過(guo)使(shi)用(yong)定(ding)位(wei)銷(xiao)或(huo)其(qi)他(ta)的(de)工(gong)藝(yi)方(fang)法(fa)盡(jin)量(liang)使(shi)口(kou)徑(jing)同(tong)軸(zhou),這(zhe)樣(yang)才(cai)能(neng)有(you)效(xiao)地(di)減(jian)小(xiao)元(yuan)件(jian)的(de)駐(zhu)波(bo),從(cong)而(er)降(jiang)低(di)電(dian)磁(ci)波(bo)在(zai)元(yuan)件(jian)中(zhong)傳(chuan)輸(shu)時(shi)的(de)損(sun)耗(hao)。
通過對微波元件材料特性、表麵質量、加jia工gong和he安an裝zhuang精jing度du對dui電dian性xing能neng的de影ying響xiang的de對dui比bi分fen析xi,找zhao出chu了le可ke用yong於yu指zhi導dao生sheng產chan的de數shu值zhi依yi據ju和he方fang法fa,在zai實shi際ji工gong作zuo中zhong能neng夠gou有you的de放fang矢shi,對dui避bi免mian一yi些xie不bu必bi要yao的de失shi誤wu、減少重複勞動有不可忽視的作用。
- 微波元件基體材料與衰減的關係
- 波導內表麵粗糙度和衰減量的關係
- 波導管安裝誤差與電性能的關係
- 選用導電性能好的原材料
- 采用熱處理方法,這樣能獲得較好的電磁波傳輸性能
近幾年來由於星載天線、大功率雷達的工作頻率越來越高,頻帶越來越寬,發射功率越來越大,使饋線係統的結構形式變得越來越複雜,現有的設計觀念、生產能力已製約了產品性能的提高。
對大功率容量的雷達而言,由於其功率大,饋線係統中重要微波元件的尺寸誤差、表麵粗糙度、安an裝zhuang精jing度du對dui整zheng個ge係xi統tong的de功gong率lv容rong量liang影ying響xiang也ye非fei常chang大da。若ruo成cheng型xing的de微wei波bo元yuan件jian出chu現xian質zhi量liang問wen題ti,設she計ji者zhe很hen難nan通tong過guo電dian調tiao得de以yi補bu救jiu。因yin此ci,了le解jie各ge種zhong誤wu差cha對dui係xi統tong電dian性xing能neng的de影ying響xiang,在zai設she計ji中zhong能neng預yu防fang誤wu差cha的de產chan生sheng,在zai加jia工gong中zhong能neng通tong過guo合he理li的de工gong藝yi方fang法fa消xiao除chu各ge種zhong製zhi造zao誤wu差cha,這zhe對dui保bao證zheng微wei波bo元yuan件jian的de電dian性xing能neng和he提ti高gao係xi統tong的de功gong率lv容rong量liang尤you為wei重zhong要yao。
波的傳輸特性
在任何情況下,波在傳輸過程中均有損耗及反射。主要原因在於傳輸途中有各種各樣的障礙物,如波導的不規則變形、波導材料的突變、各個波導元件之間口徑尺寸不一致、接頭處波導口不同軸、多(duo)次(ci)的(de)連(lian)接(jie)等(deng)。反(fan)射(she)波(bo)不(bu)但(dan)不(bu)能(neng)保(bao)證(zheng)電(dian)磁(ci)波(bo)的(de)傳(chuan)輸(shu),而(er)且(qie)駐(zhu)波(bo)波(bo)腹(fu)處(chu)會(hui)在(zai)大(da)功(gong)率(lv)工(gong)作(zuo)中(zhong)導(dao)致(zhi)係(xi)統(tong)的(de)電(dian)擊(ji)穿(chuan)。因(yin)此(ci)元(yuan)器(qi)件(jian)尺(chi)寸(cun)越(yue)精(jing)確(que),法(fa)蘭(lan)電(dian)接(jie)觸(chu)越(yue)好(hao),損(sun)耗(hao)和(he)反(fan)射(she)波(bo)就(jiu)越(yue)少(shao)。在(zai)設(she)計(ji)和(he)製(zhi)造(zao)中(zhong)應(ying)該(gai)盡(jin)可(ke)能(neng)避(bi)免(mian)波(bo)導(dao)的(de)不(bu)規(gui)則(ze)變(bian)形(xing),保(bao)證(zheng)尺(chi)寸(cun)的(de)精(jing)確(que)度(du),同(tong)時(shi)還(hai)要(yao)有(you)相(xiang)應(ying)的(de)加(jia)工(gong)工(gong)藝(yi)和(he)檢(jian)驗(yan)技(ji)術(shu),確(que)保(bao)高(gao)頻(pin)導(dao)電(dian)層(ceng)的(de)良(liang)好(hao)導(dao)電(dian)性(xing)、平坦性及連接處的準確性,以滿足電氣設計要求。
微波元件基體材料與衰減的關係
即(ji)使(shi)是(shi)理(li)想(xiang)光(guang)滑(hua)的(de)波(bo)導(dao),其(qi)基(ji)體(ti)材(cai)料(liao)的(de)導(dao)電(dian)率(lv)也(ye)不(bu)大(da)。如(ru)果(guo)給(gei)理(li)想(xiang)光(guang)滑(hua)的(de)波(bo)導(dao)內(nei)腔(qiang)電(dian)鍍(du)純(chun)銀(yin)或(huo)純(chun)銅(tong),可(ke)以(yi)提(ti)高(gao)高(gao)頻(pin)導(dao)電(dian)層(ceng)的(de)導(dao)電(dian)率(lv),從(cong)而(er)使(shi)波(bo)導(dao)衰(shuai)減(jian)降(jiang)低(di)。表(biao)1是金屬和合金在20℃,f=10GHz時的衰減量(波導口徑為23mm×10mm)。

從表1的數據可看出,導電性能良好的鋁、銅、銀(yin)等(deng)材(cai)料(liao)在(zai)傳(chuan)輸(shu)電(dian)磁(ci)波(bo)時(shi)損(sun)耗(hao)較(jiao)小(xiao)。同(tong)種(zhong)材(cai)料(liao)退(tui)火(huo)去(qu)除(chu)應(ying)力(li)有(you)利(li)於(yu)恢(hui)複(fu)金(jin)屬(shu)導(dao)電(dian)結(jie)構(gou),使(shi)其(qi)導(dao)電(dian)率(lv)增(zeng)加(jia),波(bo)導(dao)衰(shuai)減(jian)減(jian)少(shao)。在(zai)實(shi)際(ji)工(gong)作(zuo)中(zhong),為(wei)了(le)取(qu)得(de)良(liang)好(hao)的(de)經(jing)濟(ji)效(xiao)益(yi),應(ying)盡(jin)量(liang)采(cai)用(yong)熱(re)處(chu)理(li)方(fang)法(fa),這(zhe)樣(yang)能(neng)獲(huo)得(de)較(jiao)好(hao)的(de)電(dian)磁(ci)波(bo)傳(chuan)輸(shu)性(xing)能(neng)。
波導內表麵粗糙度和衰減量的關係
波導表麵粗糙時的衰減量與理想光滑時的衰減量α的比值為:

式中KT1,KT2,Kp分別為波導a,b邊的表麵粗糙因子。
由Benson和AILison對各種不同工藝加工的口徑為25.4mm×12.7mm銅波導管,測出KT1,KT2,Kp之後,據上式算出的α′/α之值見表2[1]。[page]

對表2數據的分析可知:
(1)精密拉製成型的波導管性能較好。
(2)電拋光比化學拋光效果好,能獲得較優越的電氣性能。
(3)光亮鍍銅的效果最佳。
波導表麵粗糙度越低,加工難度越大,製造成本也越高。為了降低成本、提高經濟效益,在不同頻段,控製波導管表麵粗糙度的要求是不同的。頻率越高,波長越小,粗糙度值要求也越低。表3為實際工作中總結出的銅、黃銅、鍍銀波導在不同頻率時的粗糙度要求,可作為設計時的依據。

波導管安裝誤差與電性能的關係
在(zai)由(you)許(xu)多(duo)波(bo)導(dao)元(yuan)件(jian)組(zu)成(cheng)的(de)係(xi)統(tong)中(zhong),除(chu)在(zai)波(bo)導(dao)中(zhong)插(cha)入(ru)不(bu)均(jun)勻(yun)性(xing)元(yuan)件(jian)會(hui)引(yin)起(qi)波(bo)的(de)反(fan)射(she)外(wai),兩(liang)元(yuan)件(jian)連(lian)接(jie)處(chu)產(chan)生(sheng)的(de)不(bu)連(lian)續(xu)性(xing)也(ye)會(hui)引(yin)起(qi)波(bo)的(de)反(fan)射(she),以(yi)至(zhi)降(jiang)低(di)傳(chuan)輸(shu)效(xiao)率(lv)。
微波元件在安裝過程中容易出現的問題有以下幾種[2]:
(1)波導口徑不一致,如圖1(a)所示。
(2)波導口徑一致,但中心不同軸,如圖1(b)所示。
(3)波導口徑一致,但中心線不平行,存在夾角θ,如圖1(c)所示。
以23mm×10mm的波導為例,在f=10GHz時不同類型的安裝誤差所引起的駐波比見表4-表7。




對表4~表7的數據分析可知,波導口徑誤差所致的駐波係數比波導口徑一致而因連接錯位所引起的駐波係數要大;偏角對H麵駐波係數的影響比對E麵駐波係數的影響更顯著。因此微波元件在加工過程中要盡量保證口徑一致、端麵法蘭與元件軸心線盡量垂直,使夾角θ≤0.2°,在(zai)安(an)裝(zhuang)過(guo)程(cheng)中(zhong)通(tong)過(guo)使(shi)用(yong)定(ding)位(wei)銷(xiao)或(huo)其(qi)他(ta)的(de)工(gong)藝(yi)方(fang)法(fa)盡(jin)量(liang)使(shi)口(kou)徑(jing)同(tong)軸(zhou),這(zhe)樣(yang)才(cai)能(neng)有(you)效(xiao)地(di)減(jian)小(xiao)元(yuan)件(jian)的(de)駐(zhu)波(bo),從(cong)而(er)降(jiang)低(di)電(dian)磁(ci)波(bo)在(zai)元(yuan)件(jian)中(zhong)傳(chuan)輸(shu)時(shi)的(de)損(sun)耗(hao)。
通過對微波元件材料特性、表麵質量、加jia工gong和he安an裝zhuang精jing度du對dui電dian性xing能neng的de影ying響xiang的de對dui比bi分fen析xi,找zhao出chu了le可ke用yong於yu指zhi導dao生sheng產chan的de數shu值zhi依yi據ju和he方fang法fa,在zai實shi際ji工gong作zuo中zhong能neng夠gou有you的de放fang矢shi,對dui避bi免mian一yi些xie不bu必bi要yao的de失shi誤wu、減少重複勞動有不可忽視的作用。
特別推薦
- 噪聲中提取真值!瑞盟科技推出MSA2240電流檢測芯片賦能多元高端測量場景
- 10MHz高頻運行!氮矽科技發布集成驅動GaN芯片,助力電源能效再攀新高
- 失真度僅0.002%!力芯微推出超低內阻、超低失真4PST模擬開關
- 一“芯”雙電!聖邦微電子發布雙輸出電源芯片,簡化AFE與音頻設計
- 一機適配萬端:金升陽推出1200W可編程電源,賦能高端裝備製造
技術文章更多>>
- 邊緣AI的發展為更智能、更可持續的技術鋪平道路
- 每台智能體PC,都是AI時代的新入口
- IAR作為Qt Group獨立BU攜兩項重磅汽車電子應用開發方案首秀北京車展
- 構建具有網絡彈性的嵌入式係統:來自行業領袖的洞見
- 數字化的線性穩壓器
技術白皮書下載更多>>
- 車規與基於V2X的車輛協同主動避撞技術展望
- 數字隔離助力新能源汽車安全隔離的新挑戰
- 汽車模塊拋負載的解決方案
- 車用連接器的安全創新應用
- Melexis Actuators Business Unit
- Position / Current Sensors - Triaxis Hall
熱門搜索
SATA連接器
SD連接器
SII
SIM卡連接器
SMT設備
SMU
SOC
SPANSION
SRAM
SSD
ST
ST-ERICSSON
Sunlord
SynQor
s端子線
Taiyo Yuden
TDK-EPC
TD-SCDMA功放
TD-SCDMA基帶
TE
Tektronix
Thunderbolt
TI
TOREX
TTI
TVS
UPS電源
USB3.0
USB 3.0主控芯片
USB傳輸速度



