LMDS射頻單元鎖相環式本振源設計
發布時間:2008-10-30 來源:電子技術應用
中心論題:
- 分頻式鎖相環倍頻原理
- 係統組成與設計
- 係統實驗結果
解決方案:
- 鎖相電路的仿真和設計
- 高頻電路設計
LMDS是一種較新的寬帶無線接入技術,它以初期投資少、傳輸速率高、業務類型豐富,以及非常適合在城市中高密度用戶地區(如商業大樓)提供寬帶通信服務等特點而備受業界矚目。LMDS工作頻段為24GHz~29GHz, 可擴展到10GHz~66GHz。這意味著需要毫米波收發係統。LMDS射頻係統毫米波收發單元的接收/發射次諧波混頻器需要本地微波頻率振蕩源提供穩定的本地參考振蕩信號。
微波頻率源是所有微波係統(如雷達、通訊、導航等)的基本微波能源。主要包括固定頻率振蕩器(點頻振蕩源)和微波頻率合成器兩類。固定頻率振蕩器通常采用鎖相環技術來獲得高穩定度、低相位噪聲的輸出信號,在通訊係統和雷達係統中作為本機振蕩器得到最廣泛的應用,其中包括VCO鎖相點頻源、DRO鎖suo相xiang點dian頻pin源yuan等deng。石shi英ying晶jing體ti震zhen蕩dang器qi是shi一yi種zhong高gao穩wen定ding的de頻pin率lv源yuan,但dan是shi它ta們men隻zhi能neng工gong作zuo在zai幾ji百bai兆zhao赫he範fan圍wei內nei,不bu能neng達da到dao設she計ji要yao求qiu。在zai微wei波bo頻pin率lv,設she計ji穩wen定ding的de頻pin率lv源yuan通tong常chang用yong石shi英ying晶jing體ti振zhen蕩dang器qi輸shu出chu信xin號hao經jing鎖suo相xiang環huan技ji術shuN次倍頻來實現。
本文介紹的頻率振蕩器為LMDS射頻係統中的本地振蕩源設計,要求輸出信號固定頻率點為11.776GHz,信號功率為1mW,相位噪聲指標(傅氏頻率為1kHz時)為-75dBc/Hz。LMDS對本振源的精度要求較高,同時由於LMDS係統采取四相相移鍵控(QPSK)調製方式,本振源的穩定度需要達到一定量級來滿足低誤碼率的要求。利用分頻式鎖相倍頻技術可以實現低成本、高性能的微波信號發生器的設計要求。
分頻式鎖相環倍頻原理
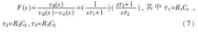
典型的分頻式鎖相環路包括檢相器(PHD)、電壓控製振蕩器(VCO)、環路濾波器(LPF)和可編程數字分頻器(1/N)。圖1是最簡易的鎖相式頻率合成器的相位模型圖。一個高精度穩定參考信號fi輸入至檢相器,與1/N分頻後的電壓控振蕩信號f0/Njianxiang,chanshengyigedianpingsuilianggexinhaozhijiandexiangweidepianchaerbianhuadewuchadianya。jingguolvbohouwuchaxinhaozuoweidianyakongzhizhendangqidekongzhidianya,shideyakongzhendangqishuchuf0=Nfi。suoxianghuanjuyougaowendingdu,yidanwanchengxiangweisuoding,huanlujianghuiwuxianshibaochisuodingzhuangtai。ruguodianyakongzhizhendangqipinlvfashengpianyi,jiuhuidaozhikongzhidianyafashengbianhua,erzhezhongbianhuayoushidezhenggehuanluzaizhongxinhuidaosuodingzhuangtai。tongshiyouyufenpinshisheji,f0的抖動Δf經N次分頻後到達檢相器,也降低了對VCOdewendingxingyaoqiu。tongguogaibianfenpinqifenpinbi,keyisuoxiangbeipinzaibutongdepinlvshang。fenpinsuoxiangbeipinjuyouzhuduoyoudian,zaigaopinlvweiboxinhaofashengqishejizhongguangfanyingyong。

假定檢相特性為正弦形,可求出鎖相環路的開環傳遞函數、閉環傳遞函數,以及誤差傳輸函數等。

誤差傳遞函數又可寫為:He(s)=1-H(s)
係統組成與設計
a.係統總體設計方案
不(bu)同(tong)於(yu)文(wen)獻(xian)中(zhong)采(cai)取(qu)先(xian)諧(xie)波(bo)混(hun)頻(pin)獲(huo)得(de)較(jiao)高(gao)頻(pin)率(lv)的(de)中(zhong)頻(pin)信(xin)號(hao)後(hou)再(zai)鎖(suo)相(xiang)獲(huo)得(de)振(zhen)蕩(dang)信(xin)號(hao)的(de)設(she)計(ji)方(fang)法(fa),筆(bi)者(zhe)采(cai)取(qu)對(dui)晶(jing)體(ti)振(zhen)蕩(dang)器(qi)輸(shu)出(chu)參(can)考(kao)信(xin)號(hao)直(zhi)接(jie)一(yi)次(ci)鎖(suo)相(xiang)倍(bei)頻(pin)獲(huo)得(de)高(gao)頻(pin)信(xin)號(hao),再(zai)對(dui)輸(shu)出(chu)高(gao)頻(pin)信(xin)號(hao)進(jin)行(xing)後(hou)續(xu)處(chu)理(li)以(yi)達(da)到(dao)設(she)計(ji)要(yao)求(qiu)的(de)方(fang)案(an)。該(gai)方(fang)案(an)電(dian)路(lu)結(jie)構(gou)簡(jian)單(dan)、容易實現,獲得的振蕩信號穩定度高、相位噪聲低,但是直接高倍頻鎖相增加了射頻電路的複雜性,電路匹配和電磁兼容性問題的解決也相應地更加複雜。
在該頻率振蕩器係統中,利用高穩定晶體振蕩源輸出信號經過中心頻率為46MHz帶通濾波器,提供一個高精確的穩定參考信號至檢相器,鎖相環路分頻計數器設置為128,達到鎖相後VCO輸出5.888GHz固定點頻信號,再經過高頻電路倍頻獲得11.776GHz的二次諧波。由於采用的倍頻器基波抑製性能較差,需要通過阻帶濾波和功率放大獲得足夠功率的高穩定低相位噪聲的高純度11.776GHz振蕩信號。圖2為整個頻率振蕩器係統的設計框架。

整個係統按照信號頻率大致可以分為低頻(鎖相環電路)和高頻(倍頻放大電路)兩(liang)個(ge)模(mo)塊(kuai),鎖(suo)相(xiang)環(huan)電(dian)路(lu)的(de)設(she)計(ji)和(he)測(ce)試(shi)是(shi)係(xi)統(tong)仿(fang)真(zhen)與(yu)設(she)計(ji)的(de)重(zhong)點(dian)。雖(sui)然(ran)鎖(suo)相(xiang)環(huan)大(da)部(bu)分(fen)元(yuan)件(jian)頻(pin)率(lv)較(jiao)低(di),但(dan)是(shi)由(you)於(yu)環(huan)路(lu)完(wan)成(cheng)高(gao)倍(bei)數(shu)倍(bei)頻(pin),分(fen)頻(pin)器(qi)輸(shu)入(ru)信(xin)號(hao)和(he)壓(ya)控(kong)振(zhen)蕩(dang)器(qi)輸(shu)出(chu)信(xin)號(hao)為(wei)5.888GHz的de高gao頻pin信xin號hao,因yin此ci整zheng個ge係xi統tong設she計ji時shi要yao解jie決jue好hao高gao頻pin信xin號hao電dian路lu的de匹pi配pei和he電dian磁ci兼jian容rong性xing問wen題ti,包bao括kuo確que保bao良liang好hao的de屏ping蔽bi和he接jie地di措cuo施shi減jian少shao電dian路lu間jian的de相xiang互hu幹gan擾rao;在避免耦合盡量減小導體長度的同時,使導體之間的距離盡可能地遠;在電源接入處需設置精致的旁路防止射頻電流在電路間傳播等。
b.鎖相電路的仿真和設計
環路濾波器設計——huanlulvboqixingshihecanshudexuanqushizhenggesuoxianghuandianlushejiyutiaoshideguanjian。zaiyakongzhendangqihejianxiangqishejiquedingdeqingkuangxia,huanlulvboqidechuanshuhanshuzhijiejuedinglezhenggehuanludechuanshuhanshu,congerzaihendachengdushangjuedinghuanludezaoshengxingneng、捕bu獲huo和he跟gen蹤zong性xing能neng等deng。在zai鎖suo相xiang環huan路lu設she計ji中zhong廣guang泛fan采cai用yong由you有you源yuan比bi例li積ji分fen濾lv波bo器qi組zu成cheng的de高gao增zeng益yi二er階jie環huan路lu,因yin為wei這zhe種zhong環huan路lu具ju有you無wu條tiao件jian穩wen定ding性xing,而er且qie有you較jiao大da相xiang位wei裕yu度du。但dan是shi為wei了le更geng好hao地di抑yi製zhi控kong製zhi線xian中zhong幹gan擾rao、提高環路噪聲抑製性能,在高增益二階環的基礎上附加一級RC低通濾波器。其電路形式如圖3所示。

環路濾波器傳遞函數為:

第一項為附加的RC低通濾波器傳輸函數,第二項為高增益二階環的環路濾波器的傳輸函數。
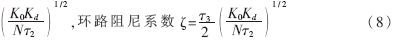
根據高增益二階環傳遞特性,環路自然諧振頻率fn= 
鎖相環路輸入參考頻率fi=46MHz。(8)式中環路阻尼係數ζ的取值直接影響環路瞬態響應。ζ值太大,環路的低通性能差,對環路相位噪聲抑製不夠;ζ太小,瞬態特性過長,捕捉時間過長;選擇ζ=0.707。根據環路特性折衷考慮環路捕捉時間和相位噪聲抑製效果,取環路fn=1MHz,fn<<fi以保證對輸入頻率的足夠抑製。筆者使用的鎖相環路電壓控製振蕩器的頻推特性為K0=150MHz/V,檢相器增益係數Kd=2V/2π。分頻倍數N=128。求得環路濾波器時間常數τ2=2.34μs,τ3=1.41μs;取電容C2=2200pF, 則R3≈580Ω,R2≈1kΩ。
為提高鎖相環路低通性能,在環路濾波器附加RC濾波器,在保證對控製線中幹擾的足夠抑製的前提下,通常要求其3dB頻率點f3≥5fn以保證環路的穩定性。在實驗中,取f3=10fn=10MHz,則取R1=R2=1kΩ,C1≈1200pF。
鎖相環路穩定性仿真和分析——由於在二階高增益環中附加了RC濾波器,增強了環路對相位噪聲的抑製能力,但也影響了環路穩定性,有必要對環路穩定性進行判別。ADS中用波特圖法仿真分析環路開環傳輸函數的幅頻特性和相頻特性,見圖4。

環路仿真結果是環路的最大總相移都不超過180°,符合無條件穩定條件,即:

增益臨界頻率附近有57.119°的正相位裕度,驗證了鎖相環路是足夠穩定的。
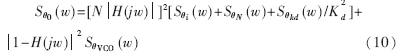
鎖相環路相位噪聲仿真和分析——根據鎖相環路閉環傳輸函數(5)式,鎖相環路輸出信號的相位噪聲譜由下式決定:

(10)式中
為輸入調相信號的相位噪聲譜,
為分頻器引入的附加相位噪聲,
為檢相器引入的附加相位噪聲譜,
為壓控振蕩器附加的相位噪聲譜。由於鎖相環閉環傳輸函數H(jw)具有低通性質,即:

可見分頻式鎖相環路對於輸入信號、分頻器、檢相器的附加相位噪聲呈低通特性,對於壓控振蕩器的相位噪聲呈高通特性。環路相位噪聲仿真結果與該結論相符,見圖5。與普通倍頻器件相似,“低通型”的噪聲通過分頻鎖相環會增加N2倍,輸入參考信號來自穩定信源,其信噪比較高,而分頻器輸出端很小的近旁頻信號在經過
hou,douhuizaiyakongzhendangqishuchuyigejiaodadejinpangpinchengfen。suoyizaishejizhongzhuyiduiyakongzhendangqishuchuhefenpinqishurujinxingyangegeli,fangzhiyouganraochuanrufenpinqi。

c.高頻電路設計
參考信號經過鎖相環路獲得低相位噪聲、高穩定的5.888GHz信號(功率大於+10dBm),需要設計高頻電路進行倍頻、濾波、功率放大來達到設計頻率的要求。由於采用的倍頻器基波抑製不理想,倍頻後仍殘留有較大的5.888GHz基波信號,設計
短截線基型微波帶阻濾波器對其進行濾除。帶阻濾波器阻帶中心頻率5.888GHz,阻帶衰減50dB以上,通帶衰減小於3dB,兩端均為50Ω微帶線。帶阻濾波器的諧振器為
並聯開路短截線,其間為
的連接線。濾波後采用低耗能的射頻放大器對信號進行功率放大以彌補濾波器的通帶衰減。功率放大器電路設計主要是隔直電路的設計,選用一級耦合微帶作為隔直電路,對11.776GHz信號增益可以達到10dB左右。圖6給出了用網絡分析儀測得的帶阻濾波器和功率放大器的s12特性。

係統實驗結果
在整個鎖相頻率綜合器係統,需要測量的電路單元主要有:分頻式鎖相環環路特性、高頻帶阻濾波器特性、高頻信號功率放大單元和整個頻率綜合係統的輸出頻譜特性。用Marconi 10kHz~1GHz信號發生器提供高精度46MHz參考信號,用HP8592A頻譜分析儀測量輸出信號頻率特性。頻譜結果如圖7所示,係統輸出信號頻率點在11.776GHz,係統輸出信號功率為3.64dBm。用同樣頻譜分析儀測量係統輸出信號的單邊帶相位噪聲。取偏離載頻為1kHz的測試波形,測得其單邊帶相位噪聲為-72.8dBc/Hz@1kHz。

利用分頻鎖相環技術,完成了小體積、高穩定、低相噪的固定頻率微波信號發生器的設計,輸出信號噪聲指數達-72.8dBc/Hz@1kHz。該鎖相頻率振蕩器已經用於LMDS係統設計和測試中,為毫米波收發係統次諧波混頻器提供穩定、低相噪的11.776GHz的本地振蕩源信號。
- 噪聲中提取真值!瑞盟科技推出MSA2240電流檢測芯片賦能多元高端測量場景
- 10MHz高頻運行!氮矽科技發布集成驅動GaN芯片,助力電源能效再攀新高
- 失真度僅0.002%!力芯微推出超低內阻、超低失真4PST模擬開關
- 一“芯”雙電!聖邦微電子發布雙輸出電源芯片,簡化AFE與音頻設計
- 一機適配萬端:金升陽推出1200W可編程電源,賦能高端裝備製造
- 貿澤EIT係列新一期,探索AI如何重塑日常科技與用戶體驗
- 算力爆發遇上電源革新,大聯大世平集團攜手晶豐明源線上研討會解鎖應用落地
- 創新不止,創芯不已:第六屆ICDIA創芯展8月南京盛大啟幕!
- AI時代,為什麼存儲基礎設施的可靠性決定數據中心的經濟效益
- 矽典微ONELAB開發係列:為毫米波算法開發者打造的全棧工具鏈
- 車規與基於V2X的車輛協同主動避撞技術展望
- 數字隔離助力新能源汽車安全隔離的新挑戰
- 汽車模塊拋負載的解決方案
- 車用連接器的安全創新應用
- Melexis Actuators Business Unit
- Position / Current Sensors - Triaxis Hall



