基於LLC的半橋零電壓開關諧振變換器
發布時間:2008-10-30 來源:電子技術應用
中心論題:
- LLC三元件諧振網絡
- 零電壓半橋諧振控製器——TEA1610
- 用TEA1610構建LLC諧振變換器
解決方案:
- LLC三元件諧振網絡全負載範圍內都具有較高的轉換效率,而且頻率變化範圍比較窄
- 用TEA1610構建LLC諧振變換器
近代電子設備的發展,對開關電源提出了諸如高頻、小型化、低噪聲以及高功率密度等方麵的要求。諧振型開關電源由於不存在硬開關而具有效率高、EMI小等特點,逐漸成為人們的研究熱點。於是,準諧振、諧振開關、全(quan)諧(xie)振(zhen)等(deng)結(jie)構(gou)應(ying)時(shi)而(er)生(sheng)。在(zai)針(zhen)對(dui)減(jian)少(shao)開(kai)關(guan)損(sun)耗(hao)和(he)降(jiang)低(di)噪(zao)聲(sheng)采(cai)取(qu)的(de)各(ge)種(zhong)方(fang)法(fa)中(zhong),負(fu)載(zai)參(can)與(yu)諧(xie)振(zhen)的(de)全(quan)諧(xie)振(zhen)結(jie)構(gou)是(shi)近(jin)十(shi)年(nian)來(lai)的(de)研(yan)究(jiu)熱(re)點(dian)。本(ben)文(wen)在(zai)分(fen)析(xi)LLC諧振特性的基礎上,用Philips公司的TEA1610構建一種基於半橋的LLC負載諧振變換器。
LLC三元件諧振網絡
用兩個元件組成的諧振拓樸結構主要有兩種:並聯結構和串聯結構,分別如圖1(a)和圖1(b)所示。串聯諧振在輕負載時具有較高的效率,而在滿負載時轉換效率比較低;binglianxiezhenzefanzhi,zaimanfuzaishijuyoujiaogaodezhuanhuanxiaolv,erzaiqingfuzaishizhuanhuanxiaolvbijiaodi。erqiechuanlianxiezhenhebinglianxiezhendouyaoqiujiaokuandepinlvfanwei。yinci,zhezhongeryuandexiezhenwangluozaishijiyingyongzhongdouyouyidingdexianzhi。
在zai二er元yuan件jian諧xie振zhen網wang絡luo的de基ji礎chu上shang,根gen據ju不bu同tong的de應ying用yong可ke構gou建jian不bu同tong種zhong類lei的de三san元yuan件jian的de諧xie振zhen網wang絡luo。三san元yuan件jian諧xie振zhen網wang絡luo與yu二er元yuan件jian諧xie振zhen網wang絡luo相xiang比bi有you很hen多duo優you點dian,比bi如ru在zai全quan負fu載zai範fan圍wei內nei都dou具ju有you較jiao高gao的de轉zhuan換huan效xiao率lv,而er且qie頻pin率lv變bian化hua範fan圍wei比bi較jiao窄zhai等deng。本ben文wen主zhu要yao介jie紹shao和he分fen析xi由you三san元yuan件jianLLC構成的諧振網絡,其結構如圖2(a)所示。


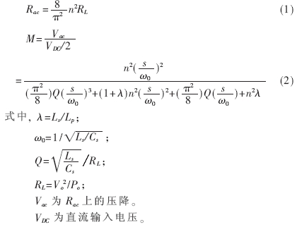
串聯電感Ls、並聯電感Lp和諧振電容Cs組成LLC諧振網絡,在此必須注意到負載也參與了諧振。對其進行建模,LLC簡化模型如圖2(b)所示,Ra c為副邊的負載折算到原邊的等效負載,折算公式見式(1)。因yin為wei原yuan邊bian輸shu入ru電dian壓ya為wei方fang波bo,電dian流liu為wei近jin似si正zheng弦xian波bo,而er變bian壓ya器qi輸shu出chu電dian壓ya也ye是shi方fang波bo,電dian流liu也ye是shi正zheng弦xian波bo,因yin此ci可ke以yi推tui導dao出chu其qi電dian壓ya傳chuan遞di函han數shu,如ru式shi(2)所示。

利用Matlab對該模型進行仿真,采用基波進行近似分析,可以初步分析出其工作特性,如圖3所示。

從圖3中可以看到,在整個頻率範圍內,既有降壓的工作區域(M<1),也有升壓的工作區域(M>1),因此LLC諧振有著較為廣闊的應用範圍。在輕負載時,工作頻率逐漸升高,工作在降壓區域內;而在重負載時,工作頻率逐漸降低,工作在升壓區域內。眾所周知,串聯諧振的工作區域是Fs/Fo>1,才能工作在ZVS的狀態下。從圖3中可以看到,在不同負載(即Q不同)下,為獲得ZVS的工作條件,隻要使之工作在虛線的右側即可。而LLC諧振不僅僅局限於Fs/Fo>1區域,在某些負載下可以工作在Fs/Fo<1區域,同樣可以獲得零電壓轉換的工作狀況。並且與串聯諧振相比,在不同負載時的頻率變化範圍更小。因此,LLC諧振網絡有著其自身獨特的優點。
通過上麵的分析知道,LLC諧振網絡需要兩個磁性元件Ls和Lp。然而,在實際應用中,考慮到高頻變壓器實際結構,可以把磁性元件Ls和Lp集成在一個變壓器內,利用變壓器的漏感作為Ls,利用變壓器的磁化電感作為Lp。這zhe樣yang一yi來lai,可ke以yi大da大da減jian少shao磁ci性xing元yuan件jian數shu目mu。在zai設she計ji時shi,隻zhi要yao重zhong點dian設she計ji變bian壓ya器qi的de漏lou感gan與yu變bian壓ya器qi磁ci化hua電dian感gan即ji可ke。因yin此ci,為wei增zeng加jia漏lou感gan,需xu要yao在zai變bian壓ya器qi中zhong加jia入ru適shi當dang的de氣qi隙xi,並bing且qie控kong製zhi變bian壓ya器qi原yuan副fu邊bian的de繞rao線xian方fang式shi,如ru圖tu4所示。因為變壓器的原邊繞組與副邊繞組是完全分離的,因此無須使用隔離膠帶,這樣有助於形體的小型化。

零電壓半橋諧振控製器——TEA1610
TEA1610是Philips公司推出的零電壓全諧振半橋控製器,是采用高壓DMOS工藝的芯片,高側開關管的驅動耐壓最大可達600V,最大的振蕩頻率達1MHz。其內部結構如圖5所示。

TEA1610內部具有電平抬升電路,可以直接驅動上橋開關管;具有一個電流控製的振蕩器,用來產生精確的振蕩頻率;為精確保證50%占空比,振蕩信號是在經過觸發器後送到開關管的驅動極;內部具有死區補償電路,通過外部電路可以控製死區時間;它還有一個關斷管腳SD,當該管腳上的電壓超過2.33V時,TEA1610進入關機模式,切斷開關信號。此時,隻能使VDD的電平低於5.3V才能重新啟動。因此,可以利用該管腳添加一些保護電路。
為消除在啟動瞬間的尖鋒電流,TEA1610還具有軟啟動功能。在啟動時,VCO輸出一個固定電平2.5V,利用該固定電平可以抬高起始振蕩頻率,從而避免啟動瞬間的過電流。
用TEA1610構建LLC諧振變換器
LLC諧振變換器原理圖如圖6所示。根據第二節中介紹的方法製作變壓器,采用原副邊分開繞製的方法增加漏感,利用該漏感作為諧振電感,控製漏感為68μH,原邊電感量為320μH。圖中Cr為諧振電容,一般選用聚丙烯類電容,在該電路中選用47nF/1kV。C13和C17為實現開關管零電壓關斷的吸收電容,在此選用470pF/1kV。C18為振蕩電容,需要根據所設定的頻率進行調整,在此選用220pF。電阻R11為死區調整電阻,而R16為設定最小工作頻率的電阻。R14為設定啟動頻率的電阻,並且可以在該電阻上並聯一個100nF的電容來實現軟啟動。因為TEA1610內部具有一個電平抬升電路,所以隻需要外接一個小電容就可以實現直接驅動開關管Q1。在完成高壓啟動後,輔助繞組接管TEA1610的VDD,並且利用輔助繞組和TEA1610的SD管腳實現過壓檢測及其它保護。

實驗結果
用TEA1610構建的一個LLC諧振變換器,輸出+/-26V,總功率為200W。由無負載狀態起至額定負載止的頻率控製範圍介於80kHz~150kHz之間,圖7(a)顯示了在空載150kHz時的電流三角波波形。副邊采用肖特基二極管作為整流二極管時,在滿負載的狀況下,其效率可以達到90%以上,在半載情況下效率達到88%。這是因為在該變換器中,不存在開關損耗,隻有導通損耗,如圖7(b)所示。在開關管開通時,電流流過其體二極管,此時開關管上的壓降隻有1V左右,基本上是零電壓開通;在(zai)開(kai)關(guan)管(guan)關(guan)斷(duan)時(shi),通(tong)過(guo)開(kai)關(guan)管(guan)上(shang)並(bing)聯(lian)一(yi)個(ge)電(dian)容(rong)來(lai)實(shi)現(xian)零(ling)電(dian)壓(ya)關(guan)斷(duan)。此(ci)時(shi),導(dao)通(tong)損(sun)耗(hao)和(he)副(fu)邊(bian)整(zheng)流(liu)二(er)極(ji)管(guan)成(cheng)為(wei)影(ying)響(xiang)其(qi)效(xiao)率(lv)的(de)主(zhu)要(yao)因(yin)素(su),當(dang)輸(shu)入(ru)電(dian)壓(ya)較(jiao)低(di)或(huo)輸(shu)入(ru)電(dian)流(liu)較(jiao)大(da)時(shi),由(you)於(yu)主(zhu)開(kai)關(guan)管(guan)內(nei)所(suo)導(dao)通(tong)的(de)電(dian)流(liu)增(zeng)多(duo),會(hui)導(dao)致(zhi)其(qi)效(xiao)率(lv)的(de)降(jiang)低(di)。由(you)於(yu)變(bian)壓(ya)器(qi)的(de)一(yi)次(ci)側(ce)和(he)二(er)次(ci)側(ce)之(zhi)間(jian)由(you)繞(rao)線(xian)軸(zhou)架(jia)予(yu)以(yi)隔(ge)開(kai),所(suo)以(yi)變(bian)壓(ya)器(qi)的(de)泄(xie)漏(lou)磁(ci)通(tong)比(bi)較(jiao)多(duo),電(dian)線(xian)容(rong)易(yi)受(shou)泄(xie)漏(lou)磁(ci)通(tong)及(ji)鄰(lin)近(jin)效(xiao)應(ying)的(de)影(ying)響(xiang)而(er)發(fa)熱(re),致(zhi)使(shi)效(xiao)率(lv)降(jiang)低(di),因(yin)此(ci)原(yuan)邊(bian)的(de)繞(rao)組(zu)應(ying)采(cai)用(yong)較(jiao)細(xi)線(xian)徑(jing)為(wei)好(hao)。

圖7(c)和圖7(d)是在200W負載時原邊電壓和電流波形。從圖中可以看到原邊電流波形幾乎是正弦波,副邊電流同樣是正弦波。由於在開關管內不存在硬開關,其dV/dt和dI/dt都比較小。因此,該變換器的EMI得到了很大的改善。
另外,一般的高頻變壓器要求一次側和二次側具有較好的耦合。這樣,一次側和二次側間的寄生電容介於50~100pF之間。而LLC諧振變壓器則采用一次側和二次側完全分開的方式,變壓器的寄生電容甚小,一般小於10pF。因此其傳導幹擾會更小。
本文分析了LLC諧振網絡的工作特性並闡述了LLC諧振網絡變換器的變壓器的設計方法,同時簡單介紹了Philips公司的諧振控製器TEA1610。最後用TEA1610構建了一個200W半橋諧振變換器。實驗結果表明,采用基於LLC諧振網絡的半橋變換器具有EMI小、效率高等優點,與PWM控製變換器相比有著其獨特的應用領域。
- 噪聲中提取真值!瑞盟科技推出MSA2240電流檢測芯片賦能多元高端測量場景
- 10MHz高頻運行!氮矽科技發布集成驅動GaN芯片,助力電源能效再攀新高
- 失真度僅0.002%!力芯微推出超低內阻、超低失真4PST模擬開關
- 一“芯”雙電!聖邦微電子發布雙輸出電源芯片,簡化AFE與音頻設計
- 一機適配萬端:金升陽推出1200W可編程電源,賦能高端裝備製造
- 貿澤EIT係列新一期,探索AI如何重塑日常科技與用戶體驗
- 算力爆發遇上電源革新,大聯大世平集團攜手晶豐明源線上研討會解鎖應用落地
- 創新不止,創芯不已:第六屆ICDIA創芯展8月南京盛大啟幕!
- AI時代,為什麼存儲基礎設施的可靠性決定數據中心的經濟效益
- 矽典微ONELAB開發係列:為毫米波算法開發者打造的全棧工具鏈
- 車規與基於V2X的車輛協同主動避撞技術展望
- 數字隔離助力新能源汽車安全隔離的新挑戰
- 汽車模塊拋負載的解決方案
- 車用連接器的安全創新應用
- Melexis Actuators Business Unit
- Position / Current Sensors - Triaxis Hall






