電動汽車快速充電係統隔離式 DC/DC 轉換器的效率最大化
發布時間:2024-08-19 來源:亞德諾半導體 責任編輯:lina
【導讀】在全球範圍內從內燃機汽車 (ICE) 轉向電動汽車 (EV) 的條件是相應的充電基礎設施取得重大進展。雖然低功率 (<15 kW) 車(che)載(zai)充(chong)電(dian)機(ji)可(ke)以(yi)在(zai)車(che)輛(liang)閑(xian)置(zhi)期(qi)間(jian)支(zhi)持(chi)家(jia)庭(ting)充(chong)電(dian),但(dan)長(chang)途(tu)旅(lv)行(xing)和(he)服(fu)務(wu)行(xing)業(ye)需(xu)要(yao)更(geng)快(kuai)的(de)充(chong)電(dian)速(su)度(du),以(yi)對(dui)標(biao)當(dang)前(qian)汽(qi)油(you)加(jia)油(you)站(zhan)的(de)加(jia)油(you)速(su)度(du)。為(wei)了(le)提(ti)高(gao)充(chong)電(dian)速(su)度(du),需(xu)要(yao)同(tong)時(shi)改(gai)進(jin)電(dian)池(chi)技(ji)術(shu)和(he)充(chong)電(dian)基(ji)礎(chu)設(she)施(shi)。
在全球範圍內從內燃機汽車 (ICE) 轉向電動汽車 (EV) 的條件是相應的充電基礎設施取得重大進展。雖然低功率 (<15 kW) 車(che)載(zai)充(chong)電(dian)機(ji)可(ke)以(yi)在(zai)車(che)輛(liang)閑(xian)置(zhi)期(qi)間(jian)支(zhi)持(chi)家(jia)庭(ting)充(chong)電(dian),但(dan)長(chang)途(tu)旅(lv)行(xing)和(he)服(fu)務(wu)行(xing)業(ye)需(xu)要(yao)更(geng)快(kuai)的(de)充(chong)電(dian)速(su)度(du),以(yi)對(dui)標(biao)當(dang)前(qian)汽(qi)油(you)加(jia)油(you)站(zhan)的(de)加(jia)油(you)速(su)度(du)。為(wei)了(le)提(ti)高(gao)充(chong)電(dian)速(su)度(du),需(xu)要(yao)同(tong)時(shi)改(gai)進(jin)電(dian)池(chi)技(ji)術(shu)和(he)充(chong)電(dian)基(ji)礎(chu)設(she)施(shi)。
本指南論述了 60 kW 雙有源橋 (DAB) 轉換器的設計、開發和測試,該轉換器可同時滿足電動汽車快速充電機的隔離和調節需求。此外,該設計所選擇的拓撲結構使其能夠並聯,以實現高達 300 kW 的輸出功率。

隨著市場從內燃機 (ICE) 汽車轉向電動汽車 (EV),全(quan)球(qiu)對(dui)電(dian)動(dong)汽(qi)車(che)的(de)需(xu)求(qiu)持(chi)續(xu)增(zeng)長(chang)。電(dian)池(chi)和(he)電(dian)力(li)電(dian)子(zi)技(ji)術(shu)的(de)成(cheng)熟(shu)使(shi)電(dian)動(dong)汽(qi)車(che)在(zai)各(ge)種(zhong)性(xing)能(neng)指(zhi)標(biao)方(fang)麵(mian)可(ke)以(yi)與(yu)內(nei)燃(ran)機(ji)汽(qi)車(che)相(xiang)媲(pi)美(mei),甚(shen)至(zhi)優(you)於(yu)內(nei)燃(ran)機(ji)汽(qi)車(che)。然(ran)而(er),大(da)規(gui)模(mo)推(tui)廣(guang)電(dian)動(dong)汽(qi)車(che)的(de)限(xian)製(zhi)因(yin)素(su)仍(reng)然(ran)是(shi)合(he)適(shi)的(de)充(chong)電(dian)基(ji)礎(chu)設(she)施(shi),以(yi)對(dui)標(biao)當(dang)前(qian)的(de)內(nei)燃(ran)機(ji)汽(qi)車(che)解(jie)決(jue)方(fang)案(an),即(ji)加(jia)油(you)。電(dian)動(dong)汽(qi)車(che)的(de)低(di)功(gong)率(lv) (<15 kW) 車載充電機 (OBC) 支(zhi)持(chi)車(che)輛(liang)閑(xian)置(zhi)期(qi)間(jian)的(de)長(chang)時(shi)間(jian)充(chong)電(dian),例(li)如(ru)車(che)庫(ku)內(nei)夜(ye)間(jian)充(chong)電(dian)。但(dan)是(shi),這(zhe)種(zhong)充(chong)電(dian)機(ji)不(bu)適(shi)合(he)長(chang)途(tu)旅(lv)行(xing)和(he)商(shang)用(yong)車(che)隊(dui),對(dui)於(yu)後(hou)者(zhe),充(chong)電(dian)時(shi)間(jian)需(xu)要(yao)對(dui)標(biao)當(dang)前(qian)的(de)內(nei)燃(ran)機(ji)燃(ran)油(you)加(jia)油(you)時(shi)間(jian)。
為了滿足上述充電時間要求並進一步提高電動汽車的整體采用率,需要獨立的電動汽車快速充電機 (>50 kW)。dulichongdianjikeraoguocheliangchezaichongdianji,zhijielianjiejiaoliudianwanghecheliangdianchi,congerjianligaogonglvdezhilian。zhezhonggaogonglvshuchutongchangtongguotigaodianyalaishixian,yibimianshiyongdadianliudianlan。suirankuaisuchongdianjikenengbichezaichongdianjida,danrengranxuyaotigaoxiaolvhegonglvmidu,yibiandaguimotuiguang。
2. 拓撲選擇
由you於yu電dian動dong汽qi車che快kuai速su充chong電dian機ji直zhi接jie連lian接jie在zai交jiao流liu電dian網wang和he車che輛liang電dian池chi之zhi間jian,為wei了le安an全quan可ke靠kao地di運yun行xing,充chong電dian機ji必bi須xu能neng隔ge離li用yong戶hu與yu交jiao流liu電dian網wang,並bing能neng對dui充chong電dian機ji輸shu出chu電dian壓ya/電(dian)流(liu)進(jin)行(xing)調(tiao)節(jie)。隔(ge)離(li)可(ke)以(yi)通(tong)過(guo)直(zhi)接(jie)連(lian)接(jie)到(dao)交(jiao)流(liu)電(dian)源(yuan)的(de)工(gong)頻(pin)率(lv)變(bian)壓(ya)器(qi)來(lai)實(shi)現(xian)。然(ran)而(er),對(dui)於(yu)電(dian)動(dong)汽(qi)車(che)快(kuai)速(su)充(chong)電(dian)所(suo)需(xu)的(de)功(gong)率(lv)水(shui)平(ping),相(xiang)應(ying)的(de)變(bian)壓(ya)器(qi)會(hui)大(da)得(de)不(bu)現(xian)實(shi)。碳(tan)化(hua)矽(gui)電(dian)力(li)電(dian)子(zi)器(qi)件(jian)能(neng)夠(gou)在(zai)高(gao)開(kai)關(guan)頻(pin)率(lv)下(xia)工(gong)作(zuo),因(yin)此(ci)可(ke)以(yi)采(cai)用(yong)高(gao)頻(pin)率(lv)變(bian)壓(ya)器(qi)。與(yu)同(tong)額(e)定(ding)功(gong)率(lv)的(de)低(di)頻(pin)率(lv)變(bian)壓(ya)器(qi)相(xiang)比(bi),高(gao)頻(pin)率(lv)變(bian)壓(ya)器(qi)的(de)優(you)勢(shi)是(shi)尺(chi)寸(cun)明(ming)顯(xian)更(geng)小(xiao)。因(yin)此(ci),在(zai)設(she)計(ji)中(zhong)采(cai)用(yong)了(le)高(gao)頻(pin)率(lv)變(bian)壓(ya)器(qi)。
成功的設計要求將電網交流電壓整流為直流母線電壓,才能連接到電池。這可以通過二極管無源整流來實現,或者通過采用諸如 AFE 轉換器等拓撲結構的有源整流來實現。AFE 與無源整流相比具有顯著優勢,例如可提供可調節的輸出電壓,並可實現雙向功率傳輸。本白皮書所述的設計假設輸入連接到 AFE-調節直流母線電壓,但在本白皮書中不對此進行論述。
有多種拓撲結構可以與高頻率變壓器配對,以提供所需的電動汽車充電機隔離。例如串聯諧振轉換器 (SRC)、LLC 和 CLLC(以其諧振槽中的元件命名)、移相全橋 (PSFB) 和雙有源橋 (DAB)[1]。出於多方麵的原因,本設計選擇使用 DAB 拓撲結構。首先,DAB 可以在各種工作條件下在變壓器的一次側和二次側實現零電壓開關 (ZVS) 操cao作zuo,由you此ci減jian少shao了le係xi統tong的de整zheng體ti損sun耗hao,從cong而er提ti高gao了le效xiao率lv並bing降jiang低di了le熱re管guan理li要yao求qiu。其qi次ci,該gai設she計ji支zhi持chi雙shuang向xiang運yun行xing,這zhe對dui於yu電dian動dong汽qi車che充chong電dian機ji可ke以yi反fan向xiang饋kui送song交jiao流liu電dian網wang的de車che網wang互hu動dong(vehicle-to-grid)應用至關重要。第三,DAB 可以同時滿足快速充電機的隔離和調節要求。與 AFE 配對時,整個充電機僅包括兩個級,如圖 1 所示。因此不需要為了進行最終輸出調節而包含三個級(三級充電機)。第四,DAB tuopujiegourongyibingliantigonggenggaodeleijiashuchugonglv。xiangbizhixia,quanxiezhentuopudebinglianyunxingkenengbijiaokunnan,yinweizhezhongtuoputongchangyaoqiubinglianjizhijiandekaiguanpinlvjingquepipei。binglianyunxingshi DAB 設計能夠作為模塊使用,通過添加或減少並聯單元來實現不同的最大輸出功率額定值。

圖 1:二級電動汽車充電機架構
3. 雙有源橋 (DAB) 轉換器工作方式
DAB 轉換器在變壓器的一次側和二次側均采用全橋電路,如圖 2 所(suo)示(shi)。請(qing)注(zhu)意(yi),該(gai)圖(tu)還(hai)包(bao)含(han)其(qi)他(ta)組(zu)件(jian),稍(shao)後(hou)將(jiang)對(dui)此(ci)進(jin)行(xing)論(lun)述(shu)。兩(liang)個(ge)全(quan)橋(qiao)的(de)工(gong)作(zuo)方(fang)式(shi)相(xiang)同(tong),因(yin)此(ci)僅(jin)詳(xiang)細(xi)論(lun)述(shu)一(yi)次(ci)側(ce)器(qi)件(jian),二(er)次(ci)側(ce)器(qi)件(jian)的(de)工(gong)作(zuo)方(fang)式(shi)與(yu)此(ci)相(xiang)同(tong)。所(suo)有(you)開(kai)關(guan)位(wei)置(zhi)都(dou)采(cai)用(yong)脈(mai)寬(kuan)調(tiao)製(zhi) (PWM) 方式工作,占空比為 50%(不包括死區時間的影響)。全橋的對角開關位置同相運行;即
。但兩組對角之間反相;即:

圖 2:CRD60DD12N-GMA 框圖
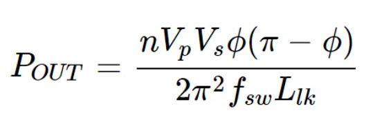
變壓器的一次側和二次側都是這種開關方式。DAB 的功率傳輸是通過在變壓器一次側和二次側之間引入相移來實現的,如圖 3 所示。通過控製一次側和二次側之間的相移,可以調節輸出功率,如下所示

其中 POUT 是 DAB 的輸出功率 [W],n 是變壓器變比 [無單位],VP 是一次側直流電壓 [V],VS 是二次側直流電壓 [V],
是相移 [弧度],fsw 是開關頻率 [Hz],Llk 是電路漏電感 [H]。當
=
時(shi),達(da)到(dao)峰(feng)值(zhi)輸(shu)出(chu)功(gong)率(lv)。值(zhi)得(de)注(zhu)意(yi)的(de)是(shi),該(gai)控(kong)製(zhi)方(fang)案(an)僅(jin)在(zai)一(yi)次(ci)側(ce)和(he)二(er)次(ci)側(ce)之(zhi)間(jian)引(yin)入(ru)單(dan)個(ge)相(xiang)移(yi)。通(tong)過(guo)在(zai)一(yi)次(ci)側(ce)的(de)互(hu)補(bu)對(dui)角(jiao)對(dui)之(zhi)間(jian)和(he)二(er)次(ci)側(ce)的(de)互(hu)補(bu)對(dui)角(jiao)對(dui)之(zhi)間(jian)引(yin)入(ru)獨(du)立(li)的(de)相(xiang)移(yi)(通常稱為三重相移 (TPS) 工作方式),可以進一步改進 DAB。然而,這些改進超出了本文的範圍。

圖 3:單相移時序圖(死區時間省略)
該設計的硬件以 CAB006A12GM3T 半橋功率模塊為中心,如圖 4 suoshi。gaimokuaicaiyongyajiejishu,tongguojiandandeyarucaozuojikeqingsongjiangmokuaijichengdaoshejizhong,wuxutongguoluoshuanlianjieduanzihuohanjiedaxingtongbo。ciwai,gaimokuaicaiyongwudibansheji,shengdiaolemokuaireduizhanzhongdeyigeyuanjian,yincikeyitigaorexingneng。gaimokuaiquanbucaiyong SiC MOSFET,以實現上文所述的 SiC 電力電子器件帶來的電路級改進。最後,該模塊使用預塗熱界麵材料 (TIM),具有多項優勢,包括:TIM 經過專門選擇,與許多現成的 TIM 相比具有更高的性能;預塗意味著 TIM 始終均勻且牢固;並且 Wolfspeed 充分地體現了采用該 TIM 的模塊的熱性能。

圖 4:CAB006A12GM3T 功率模塊
實現的設計硬件如圖 5 所示。該設計使用四個 CAB006A12GM3T 半ban橋qiao功gong率lv模mo塊kuai在zai變bian壓ya器qi的de一yi次ci側ce和he二er次ci側ce形xing成cheng全quan橋qiao電dian路lu。上shang述shu模mo塊kuai直zhi接jie安an裝zhuang在zai液ye冷leng冷leng板ban上shang,該gai板ban連lian接jie到dao變bian壓ya器qi的de兩liang側ce,也ye為wei變bian壓ya器qi提ti供gong冷leng卻que。采cai用yong匝za數shu比bi為wei 1:1、磁化電感為 248 μH、漏電感為 5 μH 的高頻率變壓器進行隔離。該設計僅依靠變壓器的漏電感來實現 ZVS,不需要在電路中添加專用的漏電感器。
采用高性能 Wolfspeed CGD1700HB2M-UNA 柵極驅動器驅動每個半橋模塊,即使在總線電壓升高的情況下也能實現快速操作。柵極驅動器的每個位置均通過板載隔離式 DC-DC 電源和 Texas Instruments UCC21710 隔離式柵極驅動器集成電路進行隔離。采用 Texas Instruments TMDSCNCD28379D 通用控製器進行控製,可輕鬆實現固件定製,該設計包括集成控製器局域網 (CAN) 接口,可與控製器進行穩健可靠的實時通信,以實現反饋和控製更新。該設計還包括用於監控輸入/輸出電壓的電壓反饋測量和用於監控變壓器偏置電流的變壓器電流測量。

圖 5:CRD60DD12N-GMA 硬件
該係統在多種工作條件下進行了實驗驗證,以演示係統操作。在 100 kHz 的目標開關頻率下評估了各種負載條件下的性能。實驗驗證的完整參數如表 1 所示。該係統使用單相移開環運行。實驗測量值用於驗證所實現的 DAB 電路的各種性能特征。首先,在實際運行功率下驗證相移控製。使用 Wolfspeed 圖形用戶界麵 (GUI) 手動控製相移,如圖 6(a) 所示。圖 6(b) 和圖 6(c) 分別顯示了一個開關位置的一次側和二次側柵源電壓 (VGS) 和漏源電壓 (VDS) 的測量值。正如預期的那樣,在 VGS 和 VDS 測量中,在一次側和二次側開關位置之間測量到了可配置的相移。

圖 6:(a) DAB 圖形用戶界麵,(b) VGS 測量中的相移驗證,(c) VDS 測量中的相移驗證
其次,使用電阻器組作為係統負載在高功率下評估輸出調節和變壓器運行。圖 7 顯示了在 ϕ = 11.6° 和 POUT = 40 kW 條件下運行的係統的時域測量示例。如圖 6 所示,VGS 和 VDS 相移在電路測量中也很明顯。此外,測量結果表明電路正常地將輸出電壓調節到穩定的 800 V(目標輸出電壓)。最後,變壓器電流測量結果符合雙有源電橋電路的預期梯形特征,表明電路工作正常。

圖 7:
= 11.6° 且 POUT = 40 kW 時的時域測量示例
第三,檢查係統是否成功實現 ZVS 操作。圖 8 顯示電路在
= 18.9° 且 POUT = 60 kW(額定功率)下工作時一個開關位置的一次側和二次側 VGS 和 VDS。在柵極信號命令器件導通之前,兩側的漏源電壓達到 0 V,確認係統在 ZVS 下成功運行。

圖 8:驗證零電壓開關導通
第四,通過改變輸出負載來評估不同輸出功率水平下的係統效率。實測效率如圖 9 所示。由於該係統使用 SiC 器件運行,因此該電路能夠在較寬的輸出功率水平範圍內保持高效率(當 POUT ≥ 20 kW 時,效率 > 98.7%),並且電路的峰值效率達到 99.2%。在 20 kW 以下,係統不能再以 ZVS 方式運行,因此效率降低,這也符合預期。

圖 9:實測效率
6. 仿真
Wolfspeed 提供 Wolfspeed 產品組合中所有功率模塊的 Plexim PLECS® 模型,包括本 DAB 設計中的 CAB006A12GM3T。這些模型可在此處獲取。基於這些可公開獲取的模型,開發了完整的 PLECS 仿真(如圖 10 所示)來捕獲本 DAB 設(she)計(ji)的(de)行(xing)為(wei)。為(wei)了(le)檢(jian)查(zha)模(mo)型(xing)的(de)有(you)效(xiao)性(xing),首(shou)先(xian)在(zai)與(yu)上(shang)文(wen)所(suo)述(shu)的(de)實(shi)驗(yan)結(jie)果(guo)相(xiang)同(tong)的(de)操(cao)作(zuo)條(tiao)件(jian)下(xia)進(jin)行(xing)仿(fang)真(zhen),仿(fang)真(zhen)結(jie)果(guo)與(yu)實(shi)驗(yan)結(jie)果(guo)高(gao)度(du)吻(wen)合(he)。例(li)如(ru),圖(tu) 11 顯示了 60 kW 運行期間的仿真和實驗測量一次側和二次側變壓器電流。仿真準確地捕獲了基本電路行為和實驗結果中觀察到的測量幅度。

圖 10:CRD60DD12N-GMA 仿真

圖 11:仿真驗證
如經證明可以模擬一般電路操作,該仿真就可以用於研究各種控製策略的性能,並了解所包含的電路參數的敏感性。例如,圖 12 顯xian示shi了le改gai變bian漏lou電dian感gan對dui變bian壓ya器qi一yi次ci側ce電dian流liu的de影ying響xiang。仿fang真zhen表biao明ming,增zeng加jia漏lou電dian感gan會hui增zeng加jia係xi統tong中zhong的de變bian壓ya器qi一yi次ci側ce峰feng值zhi電dian流liu。降jiang低di漏lou電dian感gan可ke降jiang低di峰feng值zhi電dian流liu。仿fang真zhen可ke用yong於yu進jin一yi步bu優you化hua組zu件jian和he控kong製zhi器qi策ce略lve。

、圖 12:變壓器漏電感仿真靈敏度分析
本白皮書介紹了一款 60 kW 雙有源橋式轉換器,其可作為電動汽車快速充電機的構建模塊。該設計以 Wolfspeed CAB006A12GM3T 半橋功率模塊為中心。全 SiC 功率模塊采用高性能預塗熱界麵材料、可提高熱性能的無基板設計以及可輕鬆集成的壓接引腳。本文中論述的模塊化 DAB 與有源前端配對使用時,可以輕鬆地實現多構建模塊並聯,以將累加輸出功率擴展至高達 300 kW。本白皮書包括設計操作基礎知識、硬件實現論述、實驗驗證和仿真靈敏度分析。
參考文獻
[1] B. W. Nelson, "Wolfspeed WolfPACK™ Power Module Platform: Accelerating Fast-Charger Development," Wolfspeed, 1 March 2021. [Online]. Available: https://www.wolfspeed.com/knowledge-center/article/wolfspeed-wolfpack-power-module-platform-accelerating-fast-charger-development/ . [Accessed 7 May 2024].
(文章來源:WOLFSPEED ,作者:Chris New)
免責聲明:本文為轉載文章,轉載此文目的在於傳遞更多信息,版權歸原作者所有。本文所用視頻、圖片、文字如涉及作品版權問題,請聯係小編進行處理。
推薦閱讀:
DigiKey 2024年上半年擴張其產品線,新增多家新供應商且推出創新新產品超過34萬種
- 噪聲中提取真值!瑞盟科技推出MSA2240電流檢測芯片賦能多元高端測量場景
- 10MHz高頻運行!氮矽科技發布集成驅動GaN芯片,助力電源能效再攀新高
- 失真度僅0.002%!力芯微推出超低內阻、超低失真4PST模擬開關
- 一“芯”雙電!聖邦微電子發布雙輸出電源芯片,簡化AFE與音頻設計
- 一機適配萬端:金升陽推出1200W可編程電源,賦能高端裝備製造
- 築基AI4S:摩爾線程全功能GPU加速中國生命科學自主生態
- 一秒檢測,成本降至萬分之一,光引科技把幾十萬的台式光譜儀“搬”到了手腕上
- AI服務器電源機櫃Power Rack HVDC MW級測試方案
- 突破工藝邊界,奎芯科技LPDDR5X IP矽驗證通過,速率達9600Mbps
- 通過直接、準確、自動測量超低範圍的氯殘留來推動反滲透膜保護
- 車規與基於V2X的車輛協同主動避撞技術展望
- 數字隔離助力新能源汽車安全隔離的新挑戰
- 汽車模塊拋負載的解決方案
- 車用連接器的安全創新應用
- Melexis Actuators Business Unit
- Position / Current Sensors - Triaxis Hall



