DC-DC動態特性怎麼優化改善
發布時間:2023-04-18 責任編輯:lina
【導讀】電dian源yuan是shi現xian代dai電dian子zi產chan品pin必bi不bu可ke缺que的de模mo塊kuai,現xian今jin大da多duo數shu的de通tong用yong電dian源yuan芯xin片pian都dou會hui提ti供gong如ru下xia圖tu所suo示shi的de反fan饋kui引yin腳jiao,便bian於yu客ke戶hu使shi用yong反fan饋kui電dian阻zu實shi現xian所suo需xu的de輸shu出chu,簡jian化hua設she計ji並bing節jie省sheng調tiao試shi時shi間jian。但dan是shi通tong用yong化hua也ye從cong根gen本ben上shang製zhi約yue了le轉zhuan換huan器qi的de帶dai寬kuan及ji瞬shun態tai響xiang應ying能neng力li。這zhe種zhong情qing況kuang下xia,設she計ji師shi可ke以yi通tong過guo使shi用yong前qian饋kui電dian容rong在zai一yi定ding程cheng度du上shang對dui此ci進jin行xing改gai善shan。
電dian源yuan是shi現xian代dai電dian子zi產chan品pin必bi不bu可ke缺que的de模mo塊kuai,現xian今jin大da多duo數shu的de通tong用yong電dian源yuan芯xin片pian都dou會hui提ti供gong如ru下xia圖tu所suo示shi的de反fan饋kui引yin腳jiao,便bian於yu客ke戶hu使shi用yong反fan饋kui電dian阻zu實shi現xian所suo需xu的de輸shu出chu,簡jian化hua設she計ji並bing節jie省sheng調tiao試shi時shi間jian。但dan是shi通tong用yong化hua也ye從cong根gen本ben上shang製zhi約yue了le轉zhuan換huan器qi的de帶dai寬kuan及ji瞬shun態tai響xiang應ying能neng力li。這zhe種zhong情qing況kuang下xia,設she計ji師shi可ke以yi通tong過guo使shi用yong前qian饋kui電dian容rong在zai一yi定ding程cheng度du上shang對dui此ci進jin行xing改gai善shan。
本次對前饋補償進行基本介紹,以方便設計人員選取合適的前饋電容以達到更的產品性能。
前饋電容的影響
常見的可調電源電路如下圖所示。
*可調電源電路
A(s)為電源係統的開環增益,為方便討論我們假定A(s)裏已經包含了輸出電容、負載等其他因素的影響。
上述電路在不使用前饋電容CF時的輸出電壓為
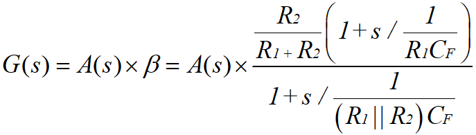
其中,β為反饋係數。其環路增益為
可見,通過調節分壓電阻雖然可以改變輸出電壓OUT,但同時也使得G(s)的帶寬變窄。
合理地使用前饋電容可以提升電源的帶寬及響應速度,此時環路增益為
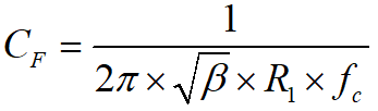
由此可得,CF並不改變DC輸出,而是為係統引入了一對低頻零點fz和高頻極點fp。零點會使相位裕量增加,極點則惡化相位裕量,使零點與極點盡量遠離才能獲得更多的相位裕量。但CF引入的零極點對的距離在對數坐標裏是固定的,因為
據此可確定,前饋電容在R1/R2越大時作用越明顯,在R1=0時不產生作用。而在R1/R2確定的場合,需要合理地選擇前饋電容CF。
前饋電容的選擇
為了兼顧係統的帶寬和相位裕量,通過以下步驟可以得到化的前饋電容容值
1. 在沒有前饋電容的情況下測得係統的穿越頻率fc;
2. 選擇的前饋電容引入的零點和極點,使其滿足
化簡為
免責聲明:本文為轉載文章,轉載此文目的在於傳遞更多信息,版權歸原作者所有。本文所用視頻、圖片、文字如涉及作品版權問題,請聯係小編進行處理。
推薦閱讀:
- 噪聲中提取真值!瑞盟科技推出MSA2240電流檢測芯片賦能多元高端測量場景
- 10MHz高頻運行!氮矽科技發布集成驅動GaN芯片,助力電源能效再攀新高
- 失真度僅0.002%!力芯微推出超低內阻、超低失真4PST模擬開關
- 一“芯”雙電!聖邦微電子發布雙輸出電源芯片,簡化AFE與音頻設計
- 一機適配萬端:金升陽推出1200W可編程電源,賦能高端裝備製造
- 一秒檢測,成本降至萬分之一,光引科技把幾十萬的台式光譜儀“搬”到了手腕上
- AI服務器電源機櫃Power Rack HVDC MW級測試方案
- 突破工藝邊界,奎芯科技LPDDR5X IP矽驗證通過,速率達9600Mbps
- 通過直接、準確、自動測量超低範圍的氯殘留來推動反滲透膜保護
- 從技術研發到規模量產:恩智浦第三代成像雷達平台,賦能下一代自動駕駛!
- 車規與基於V2X的車輛協同主動避撞技術展望
- 數字隔離助力新能源汽車安全隔離的新挑戰
- 汽車模塊拋負載的解決方案
- 車用連接器的安全創新應用
- Melexis Actuators Business Unit
- Position / Current Sensors - Triaxis Hall





