【電源小貼士2】教你用分立組件設計低成本串聯線性穩壓器
發布時間:2015-10-20 責任編輯:sherry
【導讀】有些應用需要寬鬆的輸出調節功能以及不到20mA的(de)電(dian)流(liu)。對(dui)這(zhe)樣(yang)的(de)應(ying)用(yong)來(lai)說(shuo),采(cai)用(yong)分(fen)立(li)組(zu)件(jian)打(da)造(zao)的(de)線(xian)性(xing)穩(wen)壓(ya)器(qi)是(shi)一(yi)種(zhong)低(di)成(cheng)本(ben)高(gao)效(xiao)益(yi)的(de)解(jie)決(jue)方(fang)案(an),在(zai)這(zhe)篇(pian)文(wen)章(zhang)中(zhong),筆(bi)者(zhe)描(miao)述(shu)了(le)具(ju)有(you)分(fen)立(li)組(zu)件(jian)的(de)穩(wen)健(jian)低(di)成(cheng)本(ben)線(xian)性(xing)穩(wen)壓(ya)器(qi)的(de)設(she)計(ji)準(zhun)則(ze)。
有些應用需要寬鬆的輸出調節功能以及不到20mA的電流。對這樣的應用來說,采用分立組件打造的線性穩壓器是一種低成本高效益的解決方案(圖1)。而對於具有嚴格的輸出調節功能並需要更大電流的應用,則可使用高性能的低壓差線性穩壓器(LDO)。

圖1:簡單的串聯穩壓器。
有兩個與圖1suoshidianluxiangguandeshejitiaozhan。diyigetiaozhanshiyaotiaojieshuchudianya,diergetiaozhanshiyaozaiduanlushijianzhonganranwuyang。zaizhepianwenzhangzhong,bizhejiangtaolunruheyongfenlizujianshejiwenjiandexianxingwenyaqi。
下麵是一個用來給微控製器供電的示例:
·輸入範圍:8.4V至12.6V。
·輸出範圍:1.71V至3.7V。
·最大負載電流:Io_max = 20mA。
雙極型NPN晶體管的選擇
NPN雙極型晶體管Q1是最重要的組件。筆者首先選擇了這種器件。該晶體管應符合下列要求:
·集電極至發射極和基極至發射極的擊穿電壓應超過最高輸入電壓Vin_max。
·集電極最大允許電流應超過最大負載電流Io_max。
除chu了le這zhe兩liang項xiang基ji本ben要yao求qiu之zhi外wai,使shi用yong具ju有you備bei選xuan封feng裝zhuang的de組zu件jian也ye是shi一yi個ge好hao主zhu意yi。當dang涉she及ji到dao功gong耗hao時shi,擁yong有you這zhe種zhong靈ling活huo性xing將jiang會hui簡jian化hua以yi後hou的de設she計ji過guo程cheng。筆bi者zhe為wei這zhe種zhong應ying用yong選xuan擇ze了le具ju有you備bei選xuan封feng裝zhuang和he不bu同tong額e定ding功gong率lv的deNPN晶體管。
下麵是筆者所用NPN晶體管的關鍵特性。
當IC = 50mA時:
直流(DC)電流增益hFE = 60;
集電極-發射極最高飽和電壓VCEsat = 300mV;
基極-發射極最高飽和電壓VBEsat = 950mV。
齊納二極管Dz的選擇
輸出電壓等於反向齊納電壓VZ減去該晶體管基極至發射極電壓VBE。因此,最低反向齊納電壓應符合下述要求(方程式1):

(1)
對於這種應用,筆者選用的一個測試條件是IZT = 1mA,並選擇了一個具有以下特性的齊納二極管:
當Vo_min = 1.71V且VBE_max= 0.95V時,Vz_min應大於2.65V。
當反向電流IZT = 1mA時,最低反向電壓VZ_min = 2.7V。
當反向電流IZT = 5mA時,最高反向電壓VZ_max = 3.8V。
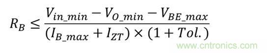
基極上拉電阻器RB
電阻器RB可為齊納二極管和晶體管基極提供電流。在運行條件下,它應提供足夠的電流。齊納二極管反向電流IZ應大於1mA,正如筆者在“齊納二極管Dz的選擇”部分所討論的。方程式2可估算出運行所需的最大基極電流:

(2)
其中Hfe_min = 60。因此,IB_max ≈ 0.333mA。
方程式3可計算出RB的值。筆者使用了一個具有1%容差的電阻器。

(3)
故此,RB應小於4.26kΩ。筆者使用了一個具有4.22kΩ標準值的電阻器。
[page]
添加一個用於輸出調節的虛擬負載電阻器
當負載電流為零時,輸出電壓達到最大值。當1mA ≤ IZT ≤ 5mA時,VZ最大值為3.8。VBE(on)應大於0.1V,這樣該穩壓器的輸出就能符合要求。此外,筆者還添加了一個虛擬負載電阻器,以便在無負載條件下汲取集電極電流。
圖2顯示,VBE(on)可作為集電極電流IC的函數。當IC = 0.1mA時,VBE(on) 大於0.3V。

圖2:基極-發射極導通電壓與集電極電流
方程式4可計算出該虛擬電阻:

(4)
筆者將一個36kΩ的電阻器添加到了該電路,如圖3所示。
7

圖3:具有虛擬負載電阻器的串聯穩壓器
為短路事件進行的電流限製
圖3所示電路的輸出對地短路將產生較大的集電極電流。一項PSPICE仿真結果表明,集電極電流可高達190mA,見圖4。
8

圖4:短路仿真結果
晶體管Q1的功耗是2.4W。沒有能應對該功耗的封裝。
為了限製短路電流,筆者添加了一個電阻器RC(從VIN到晶體管Q1的集電極),如圖5所示。

圖5:具有限流電阻器的串聯穩壓器
電阻器RC將會滿足輸出調節要求,並能在短路事件中耗散功率。筆者可計算出RC的值:

該功耗約為0.56W。筆者選擇了一個1W、270Ω的功率電阻器。對於RC短路功耗更高的應用,您可把多個電阻器串聯以分擔功耗。
組件應力分析
就電阻器RC而言,在具有最大輸入的短路事件中會發生最壞情況下的功耗。采用方程式6,可計算出最大功耗為0.59W。
就晶體管Q1而言,因為有限流電阻器RC,所以在短路事件中不會發生最壞情況下的功耗。在正常運行期間Q1的功耗是集電極電流的函數,如方程式7所示:

圖12
(7)
當滿足下列條件時,會發生最壞的情況:
VIN = VIN_max
VO = VO_min
IC = (VIN_max – VO_min)/(2×RC)
因此,Q1的最大功耗為(VIN_max – VO_min)2/(4×RC)。在本示例中,它是110mW。筆者選擇了一種額定功率為350mW、采用SOT23封裝的小外形晶體管。
至於RB的最大功耗,在具有最大輸入的短路事件中會發生最壞的情況。跨RB的電壓等於輸入電壓減去VBE(sat)。最大功耗估計為38mW。
在這篇文章中,筆者描述了具有分立組件的穩健低成本線性穩壓器的設計準則。
特別推薦
- 噪聲中提取真值!瑞盟科技推出MSA2240電流檢測芯片賦能多元高端測量場景
- 10MHz高頻運行!氮矽科技發布集成驅動GaN芯片,助力電源能效再攀新高
- 失真度僅0.002%!力芯微推出超低內阻、超低失真4PST模擬開關
- 一“芯”雙電!聖邦微電子發布雙輸出電源芯片,簡化AFE與音頻設計
- 一機適配萬端:金升陽推出1200W可編程電源,賦能高端裝備製造
技術文章更多>>
- 邊緣AI的發展為更智能、更可持續的技術鋪平道路
- 每台智能體PC,都是AI時代的新入口
- IAR作為Qt Group獨立BU攜兩項重磅汽車電子應用開發方案首秀北京車展
- 構建具有網絡彈性的嵌入式係統:來自行業領袖的洞見
- 數字化的線性穩壓器
技術白皮書下載更多>>
- 車規與基於V2X的車輛協同主動避撞技術展望
- 數字隔離助力新能源汽車安全隔離的新挑戰
- 汽車模塊拋負載的解決方案
- 車用連接器的安全創新應用
- Melexis Actuators Business Unit
- Position / Current Sensors - Triaxis Hall
熱門搜索
SATA連接器
SD連接器
SII
SIM卡連接器
SMT設備
SMU
SOC
SPANSION
SRAM
SSD
ST
ST-ERICSSON
Sunlord
SynQor
s端子線
Taiyo Yuden
TDK-EPC
TD-SCDMA功放
TD-SCDMA基帶
TE
Tektronix
Thunderbolt
TI
TOREX
TTI
TVS
UPS電源
USB3.0
USB 3.0主控芯片
USB傳輸速度



