線性穩壓器的短路保護電路設計
發布時間:2012-02-13
中心議題:
- 短路保護電路的工作原理分析
- 線性穩壓器的短路保護電路設計
一(yi)個(ge)高(gao)可(ke)靠(kao)性(xing)的(de)線(xian)性(xing)穩(wen)壓(ya)器(qi)通(tong)常(chang)需(xu)要(yao)有(you)限(xian)流(liu)保(bao)護(hu)電(dian)路(lu),以(yi)防(fang)止(zhi)因(yin)負(fu)載(zai)短(duan)路(lu)或(huo)者(zhe)過(guo)載(zai)對(dui)穩(wen)壓(ya)器(qi)造(zao)成(cheng)永(yong)久(jiu)性(xing)的(de)損(sun)壞(huai)。限(xian)流(liu)保(bao)護(hu)通(tong)常(chang)有(you)限(xian)流(liu)和(he)折(zhe)返(fan)式(shi)限(xian)流(liu)2種zhong類lei型xing。前qian者zhe是shi指zhi將jiang輸shu出chu電dian流liu限xian定ding在zai最zui大da值zhi,該gai方fang法fa最zui大da缺que點dian是shi穩wen壓ya器qi內nei部bu損sun失shi的de功gong耗hao很hen大da,而er後hou者zhe是shi指zhi在zai降jiang低di輸shu出chu電dian壓ya的de同tong時shi也ye降jiang低di了le輸shu出chu電dian流liu,其qi最zui大da優you點dian是shi當dang過guo流liu情qing況kuang發fa生sheng時shi,消xiao耗hao在zai功gong率lv管guan能neng量liang相xiang對dui較jiao小xiao,但dan在zai負fu載zai短duan路lu時shi,大da多duo數shu折zhe返fan式shi限xian流liu型xing保bao護hu電dian路lu也ye沒mei有you徹che底di關guan斷duan穩wen壓ya器qi,依yi然ran有you電dian流liu流liu過guo,進jin而er使shi功gong率lvMOSguanxiaohaonengliang,jiakuaiqijiandelaohua。zhenduishangshuqingkuang,zaixianliuxingbaohudianludejichushang,shejigaijinleyigeduanlubaohudianlu,quebaoduanluqingkuangxia,guanduangonglvMOS管。本文分別定性和定量地分析了這種短路保護電路的工作過程和原理,同時給出基於TSMCO.18μm CMOS工藝的Spectra仿真結果。
1 短路保護電路的工作原理
高可靠性短路保護電路的實現電路如圖1所示,其中VMP是線性穩壓器的功率MOS管,R1、R2為穩壓器的反饋電阻;VMO和VMP管是電流鏡電路,VMO管以一定的比例複製功率管的電流,通過電阻R4轉化為檢測電壓;晶體管VM1完成電平移位功能,最後接入由VM8~VM12等MOS管組成的比較器的正輸入端(Vinp),比較器的負輸入端(Vinm)與輸出端(0UT)相連;VM13、VM14組成二極管連接形式為負載的共源級放大電路;VM14和VMp1構成電流鏡電路;晶體管VMp1完成對功率管VMP的開關控製,正常工作時,VMp1的柵級電位(Vcon)為高電平,不會影響係統的正常工作,短路發生時,Vcon將為低電平,使功率管關斷。

1.1 工作原理的定性分析
當短路發生時,比較器的負輸入端電位(Vinm)為0 V;同時VM1管將導通,因此比較器的正輸入端電位大於0 V,最終比較器的輸出節點電位(Vcom)為高電平,在MOS管VM13、VM14作用下,控製信號Vcon將為低電平,最終VMP管的柵極電壓將升高,進而關斷P功率管,實現短路保護。
實現短路保護後,VM1管將關斷;VM3和VM4組成電流鏡,晶體管VM2的作用是保證電路在短路期間(VM1管關斷),比較器正輸入端的電壓始終高於比較器的負輸入端電壓(即使係統存在地平麵噪聲),從而使Vcon電壓始終為低電平,確保電路在短路發生期間始終都能關斷P功率管,實現保護電路的高可靠性。
同時當短路發生時(即Vcon信號為低電平),VM7管正常工作,VM5管將導通,有一定的電流流向0UT端;因此一旦短路消除(即0UT端接有負載電阻),VM5管將對負載電容和負載電阻組成的並聯RC網絡充電,0UT端電壓升高,Vcon信號將變為高電平,電路自動恢複正常狀態。
[page]
1.2 工作原理的定量分析
由電路分析可知,比較器的正負輸入端關係為:

比較器輸入端的Vinp,因此比較器輸出信號Vcon為低電平,將關斷P功率管,實現短路保護。
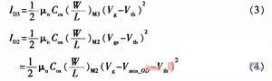
當P功率管關斷後,ID0=O,晶體管Vcon將截止,此時比較器Vinp輸入端電壓Vmin_OD取決於晶體管VM2、VM3、VM4組成的網絡,隻要保證Vmin_OD大於Vinm電壓(Vinm=VOUT=O),P功率管將一直處於關閉狀態。
接下來將分析VM2、VM3和VM4組成的網絡如何確保Vmin_OD大於0。分析電路可知,VM2、VM3工作在飽和區,VM4工作在線性區,因此ID3>ID4,ID4=ID2。

因此選取
,即可得到Vinp>0。本文VM3的寬長比為VM2的寬長比的10倍,Vmin_OD=2.6 mV。
當短路排除後,流過VM5的電流將對RC網絡充電,過t秒後Vinm(0UT)端電壓將大於Vmin_OD,電路正常工作。其中充電時間為:
![]()
式中IDM5為VM5的漏電電流,RL=VOUT/Imax,CL為負載電容,其中Imax是係統規定的最大負載電流。要使係統能正常啟動,IDM5必須滿足IDM5>VOUT/RL,因此合理選取參數,就能正常啟動。
2 仿真結果與討論
基於TSMC O.18μm CMOS工藝,仿真結果如圖2~圖3所示。仿真結果表明輸出短路時,輸出電流為O,P功率管被關斷,實現短路保護。

圖3(a)所示曲線的仿真條件是輸出負載周期性地從0 Ω變化到5 Ω。仿真結果表明當輸出發生短路時(即負載為0),輸出電流被限製在最大電流值,這樣功率MOS管會消耗大量功耗,將加快器件的老化。
圖3(b)所示曲線的仿真條件與圖3(a)的條件一樣。仿真結果表明當輸出發生短路時(即負載為0),輸出電流被限製為O,即功率MOS管被完全關斷,同時表明係統具有自動恢複的特點,即負載短路消除後,係統恢複正常工作。
3 結論
在限流電路的基礎上,設計改進一個短路保護電路,確保在短路情況下,徹底關斷功率MOS管,減少短路發生時係統損失的功耗。同時該電路具有以下特點:高可靠性、zidonghuifu,jishidipingmiancunzaidaliangzaosheng,dangduanlufashengshi,wenyaqidegonglvguanjiezhi,shixianbaohu,erduanluyidanxiaochu,wenyaqideshuchujiangzidonghuifudaozhengchangzhuangtai,youxiaodibaohuxitong。zailanyagonglvfangdaqidianyuanguanlidianluzhongdedaolehenhaoyingyong。
- 噪聲中提取真值!瑞盟科技推出MSA2240電流檢測芯片賦能多元高端測量場景
- 10MHz高頻運行!氮矽科技發布集成驅動GaN芯片,助力電源能效再攀新高
- 失真度僅0.002%!力芯微推出超低內阻、超低失真4PST模擬開關
- 一“芯”雙電!聖邦微電子發布雙輸出電源芯片,簡化AFE與音頻設計
- 一機適配萬端:金升陽推出1200W可編程電源,賦能高端裝備製造
- 邊緣AI的發展為更智能、更可持續的技術鋪平道路
- 每台智能體PC,都是AI時代的新入口
- IAR作為Qt Group獨立BU攜兩項重磅汽車電子應用開發方案首秀北京車展
- 構建具有網絡彈性的嵌入式係統:來自行業領袖的洞見
- 數字化的線性穩壓器
- 車規與基於V2X的車輛協同主動避撞技術展望
- 數字隔離助力新能源汽車安全隔離的新挑戰
- 汽車模塊拋負載的解決方案
- 車用連接器的安全創新應用
- Melexis Actuators Business Unit
- Position / Current Sensors - Triaxis Hall



