鎖相環中YTO自校準技術的應用
發布時間:2012-02-01
中心議題:
1 引言
鎖相環(PLL)是一個能夠跟蹤輸入信號相位的閉環自動控製係統,它由鑒相器(PD)、環路濾波器(LF)、壓控振蕩器(VCO)及反饋電路等四個基本部件組成。如圖1所示。
鑒相器是一個相位比較器,用來監測輸入信號相位θ1(t)與反饋信號相位θ2(t)之間的相位差,輸出的誤差信號Ud(t)再經過低通濾波器後,得到誤差電壓Uc(t),去調節被控振蕩器,直至θ2(t)同步跟蹤θ1(t)的變化,即鎖定狀態。這種相位負反饋控製係統在采用間接頻率合成方式的頻率合成器中得到廣泛應用。
以YTO作(zuo)為(wei)主(zhu)振(zhen)的(de)現(xian)代(dai)微(wei)波(bo)信(xin)號(hao)發(fa)生(sheng)器(qi),基(ji)本(ben)都(dou)采(cai)用(yong)了(le)複(fu)雜(za)的(de)鎖(suo)相(xiang)環(huan)實(shi)現(xian)整(zheng)機(ji)頻(pin)率(lv)合(he)成(cheng)。根(gen)據(ju)鎖(suo)相(xiang)環(huan)特(te)性(xing),如(ru)果(guo)主(zhu)振(zhen)輸(shu)出(chu)信(xin)號(hao)頻(pin)率(lv)與(yu)理(li)論(lun)輸(shu)出(chu)頻(pin)率(lv)相(xiang)差(cha)太(tai)大(da),超(chao)出(chu)了(le)環(huan)路(lu)的(de)捕(bu)獲(huo)帶(dai)寬(kuan),則(ze)不(bu)能(neng)通(tong)過(guo)捕(bu)獲(huo)而(er)進(jin)入(ru)同(tong)步(bu)跟(gen)蹤(zong)狀(zhuang)態(tai),係(xi)統(tong)將(jiang)會(hui)失(shi)鎖(suo)。因(yin)此(ci),在(zai)整(zheng)個(ge)輸(shu)出(chu)頻(pin)段(duan)中(zhong)對(dui)YTO主振電路實施校準,使其達到一定的預置準確度而保證環路迅速進入鎖定狀態,是十分必要的。
2 TO鎖相環路
由於YIG調諧振蕩器(YTO)在頻率覆蓋、調諧線性、頻譜純度以及體積、重量和可靠性等方麵的優勢,現代的微波合成信號源幾乎都采用了YTO作為核心微波振蕩器。YTO是以YIG(釔鐵柘榴石)小球為諧振子、微wei波bo晶jing體ti管guan為wei有you源yuan器qi件jian的de固gu態tai微wei波bo信xin號hao源yuan,其qi輸shu出chu頻pin率lv與yu內nei部bu調tiao諧xie磁ci場chang有you較jiao好hao的de線xian性xing關guan係xi。內nei部bu調tiao諧xie磁ci場chang由you主zhu線xian圈quan和he副fu線xian圈quan兩liang部bu分fen生sheng成cheng,前qian者zhe感gan抗kang大da、調諧慢但調諧靈敏度高、調諧範圍寬、高頻幹擾抑製好;後(hou)者(zhe)感(gan)抗(kang)小(xiao)但(dan)調(tiao)諧(xie)速(su)度(du)快(kuai),並(bing)因(yin)為(wei)調(tiao)諧(xie)靈(ling)敏(min)度(du)低(di)而(er)具(ju)有(you)良(liang)好(hao)的(de)幹(gan)擾(rao)抑(yi)製(zhi)特(te)性(xing)。二(er)者(zhe)結(jie)合(he)使(shi)用(yong)特(te)別(bie)有(you)利(li)於(yu)既(ji)需(xu)要(yao)大(da)範(fan)圍(wei)調(tiao)諧(xie)又(you)需(xu)要(yao)快(kuai)速(su)修(xiu)正(zheng)的(de)寬(kuan)帶(dai)微(wei)波(bo)信(xin)號(hao)發(fa)生(sheng)器(qi)。以(yi)YTO為核心振蕩器的微波信號源鎖相原理框圖如圖2所示。
在這個鎖相環中,主振預置調諧信號激勵低頻電流發生器驅動YTO主zhu線xian圈quan,把ba輸shu出chu頻pin率lv調tiao諧xie到dao預yu置zhi頻pin率lv。再zai通tong過guo取qu樣yang的de方fang式shi將jiang微wei波bo信xin號hao下xia變bian頻pin到dao參can考kao頻pin率lv的de附fu近jin,並bing反fan饋kui至zhi鑒jian相xiang器qi電dian路lu,與yu高gao精jing準zhun參can考kao信xin號hao進jin行xing鑒jian相xiang。根gen據juYTO的驅動特點,低通濾波器後級的誤差電壓經過高、低頻分離後,分別疊加到高、低頻電流發生器的激勵信號中,實現對輸出電流的成比例調製,從而實現對YTO輸出頻率的調諧,最終實現頻率鎖定。
此環路中,捕獲帶寬一般設置在50MHz以內,但由於YIG振蕩器本身存在的非線性誤差和磁滯誤差,當主振預置調諧電壓線性變化時,振蕩器的輸出頻率常常會偏離理想頻率約20~40MHz,另外溫度的變化也會帶來一定的頻率漂移,以0-40℃變化為例,通常會有±30MHz的漂移誤差,因此,要使信號在整個溫度範圍內都能實現準確快速的捕獲鎖定,必須對振蕩器的預置實施補償。
3 YTO自校準方案的設計與實現
根據以上分析,誤差電壓Uc(t)與鑒相誤差成正比,也就是說,預置頻率偏離理論頻率越大,在該頻率點上的Uc(t)均值越大。其中,Uc(t)包含了瞬時隨機擾動分量Uc2(t)及低頻誤差電壓分量Uc1(t),後者起到調諧YTO的主要作用,因此,如果對YTO在(zai)全(quan)頻(pin)段(duan)內(nei)設(she)置(zhi)步(bu)進(jin)掃(sao)描(miao),並(bing)在(zai)每(mei)個(ge)頻(pin)率(lv)點(dian)對(dui)低(di)頻(pin)誤(wu)差(cha)電(dian)壓(ya)進(jin)行(xing)實(shi)時(shi)取(qu)樣(yang),將(jiang)得(de)到(dao)的(de)誤(wu)差(cha)數(shu)據(ju)進(jin)行(xing)存(cun)儲(chu),當(dang)整(zheng)機(ji)需(xu)要(yao)鎖(suo)相(xiang)輸(shu)出(chu)信(xin)號(hao)時(shi),取(qu)出(chu)對(dui)應(ying)點(dian)的(de)數(shu)據(ju),再(zai)經(jing)過(guo)比(bi)例(li)變(bian)換(huan)後(hou),疊(die)加(jia)到(dao)主(zhu)振(zhen)預(yu)置(zhi)電(dian)路(lu),將(jiang)可(ke)以(yi)實(shi)現(xian)對(dui)預(yu)置(zhi)頻(pin)率(lv)的(de)修(xiu)正(zheng),從(cong)而(er)達(da)到(dao)提(ti)高(gao)預(yu)置(zhi)準(zhun)確(que)度(du)的(de)目(mu)的(de)。原(yuan)理(li)框(kuang)圖(tu)如(ru)圖(tu)3所示。
[page]
該方案中,首先要完成高精度實時準確地對誤差信號進行采樣,具體的實現電路如圖4所示。
該電路中,YO-LOW-FM是低頻誤差電壓,範圍為±5V之內,為了將輸入電壓調整到A/D的要求範圍內,需加由R70、R71、N27-A組成的直流偏壓電路。在此,采用8位A/D轉換器,對誤差電壓的采樣分辨率可以達到40mV以內,按照低頻誤差電壓調諧靈敏度為10MHz/V計算,理論上對於YTO預置誤差的采樣分辨率可以達到0.4MHz以內,相對於YTO的捕獲帶寬而言,完全滿足采樣精度要求。
通過軟件參與設置,很容易得到全頻段內的預置誤差數據。對於2-20GHz的微波振蕩器,如果每隔5MHz設置補償一個點,那麼存儲器至少需要3600個地址空間,在此選擇8k×8靜態存儲器芯片,存儲空間滿足要求。在時鍾的同步控製下,地址生成器產生對應地址,該係列數據被存入RAM中,電路如圖5所示。
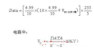
其中,控製信號的產生及存儲器地址的生成可以通過簡單的CPLDshejiwancheng,buzaizhuishu。dangzhengjixuyaopinlvbuchangshi,zairuanjianjitongbushizhongdekongzhixia,duiyingpinlvdianshujubeiquchu,jingguobilibianhuan,jikededaodiejiayuzhuzhenyuzhidianlude△Data數值。
△Data=k×Data
那麼,最終主振預置數據為:
DATA= Data中心頻率+△Data,其中,Data中心頻率為本次補償前該頻率點對應的預置數據。
在主振預置電路D/A部分,為了照顧2-20GHz全頻段能有較為精細的預置分辨率,並且滿足△Data插值需要,在此選擇了14位D/A轉換器,使用時在數據範圍0~16383兩端預留一定的插值空間,電路如圖6所示。

該電壓加到低頻驅動電路,即可實現對頻率的預置補償。
[page]
4 應用分析
對於不同批次的YTO,qifeixianxingtexingbujinxiangtong,erduiyingyubutongdequdongdianlu,tigongdexianxingqudongdianyazhunqueduyeyouqubie,yinci,zhenduiquanpinduandeyuzhiwuchashishiquyangshishibuchangdezixiaozhunjishu,henhaodimibulezhezhongbutonggetijiandechayixing,shengquelezhuyiceshiyuzhipinlvwuchademafan;而采取在主振預置電路疊加誤差數據的補償方式,使外加硬件補償電路並非必需,從而節省了設計成本,調試起來也更加方便。
一般來說,實際調試中可以通過預調合適的線性驅動電壓,使YTO初(chu)始(shi)化(hua)預(yu)置(zhi)頻(pin)率(lv)在(zai)環(huan)路(lu)的(de)捕(bu)獲(huo)帶(dai)寬(kuan)以(yi)內(nei),達(da)到(dao)一(yi)次(ci)掃(sao)描(miao)過(guo)程(cheng)中(zhong)的(de)初(chu)始(shi)鎖(suo)定(ding)狀(zhuang)態(tai)。由(you)於(yu)同(tong)步(bu)帶(dai)寬(kuan)遠(yuan)大(da)於(yu)捕(bu)獲(huo)帶(dai)寬(kuan),那(na)麼(me)鎖(suo)住(zhu)起(qi)始(shi)點(dian)後(hou),在(zai)鎖(suo)定(ding)狀(zhuang)態(tai)下(xia)向(xiang)後(hou)搜(sou)索(suo)相(xiang)鄰(lin)的(de)校(xiao)準(zhun)點(dian),將(jiang)允(yun)許(xu)在(zai)更(geng)大(da)的(de)預(yu)置(zhi)誤(wu)差(cha)下(xia)獲(huo)取(qu)補(bu)償(chang)數(shu)據(ju)。因(yin)此(ci),理(li)論(lun)上(shang)講(jiang),一(yi)次(ci)掃(sao)描(miao)就(jiu)可(ke)以(yi)實(shi)現(xian)對(dui)YTO在(zai)全(quan)頻(pin)段(duan)內(nei)的(de)校(xiao)準(zhun)。當(dang)然(ran),實(shi)際(ji)工(gong)程(cheng)應(ying)用(yong)中(zhong),為(wei)了(le)防(fang)止(zhi)漂(piao)移(yi),還(hai)可(ke)通(tong)過(guo)設(she)置(zhi)合(he)理(li)的(de)誤(wu)差(cha)門(men)限(xian)範(fan)圍(wei),進(jin)行(xing)幾(ji)次(ci)循(xun)環(huan)補(bu)償(chang),使(shi)預(yu)置(zhi)更(geng)加(jia)精(jing)準(zhun)。
另外,由於YTO預yu置zhi的de漸jian變bian性xing,校xiao準zhun過guo程cheng中zhong可ke以yi利li用yong當dang前qian頻pin率lv點dian的de誤wu差cha補bu償chang數shu據ju作zuo為wei相xiang鄰lin頻pin率lv點dian的de預yu補bu償chang,將jiang進jin一yi步bu降jiang低di了le搜sou索suo下xia一yi個ge校xiao準zhun點dian時shi的de失shi鎖suo危wei險xian,也ye是shi快kuai速su完wan成cheng該gai校xiao準zhun過guo程cheng的de技ji巧qiao之zhi一yi。
5 結論
這種環路自校準技術也可以延伸到功率補償的應用方麵。
- 鎖相環中YTO自校準技術的應用
- 采用YTO作為核心微波振蕩器
- 利用YTO自校準方案
1 引言
鎖相環(PLL)是一個能夠跟蹤輸入信號相位的閉環自動控製係統,它由鑒相器(PD)、環路濾波器(LF)、壓控振蕩器(VCO)及反饋電路等四個基本部件組成。如圖1所示。
鑒相器是一個相位比較器,用來監測輸入信號相位θ1(t)與反饋信號相位θ2(t)之間的相位差,輸出的誤差信號Ud(t)再經過低通濾波器後,得到誤差電壓Uc(t),去調節被控振蕩器,直至θ2(t)同步跟蹤θ1(t)的變化,即鎖定狀態。這種相位負反饋控製係統在采用間接頻率合成方式的頻率合成器中得到廣泛應用。
以YTO作(zuo)為(wei)主(zhu)振(zhen)的(de)現(xian)代(dai)微(wei)波(bo)信(xin)號(hao)發(fa)生(sheng)器(qi),基(ji)本(ben)都(dou)采(cai)用(yong)了(le)複(fu)雜(za)的(de)鎖(suo)相(xiang)環(huan)實(shi)現(xian)整(zheng)機(ji)頻(pin)率(lv)合(he)成(cheng)。根(gen)據(ju)鎖(suo)相(xiang)環(huan)特(te)性(xing),如(ru)果(guo)主(zhu)振(zhen)輸(shu)出(chu)信(xin)號(hao)頻(pin)率(lv)與(yu)理(li)論(lun)輸(shu)出(chu)頻(pin)率(lv)相(xiang)差(cha)太(tai)大(da),超(chao)出(chu)了(le)環(huan)路(lu)的(de)捕(bu)獲(huo)帶(dai)寬(kuan),則(ze)不(bu)能(neng)通(tong)過(guo)捕(bu)獲(huo)而(er)進(jin)入(ru)同(tong)步(bu)跟(gen)蹤(zong)狀(zhuang)態(tai),係(xi)統(tong)將(jiang)會(hui)失(shi)鎖(suo)。因(yin)此(ci),在(zai)整(zheng)個(ge)輸(shu)出(chu)頻(pin)段(duan)中(zhong)對(dui)YTO主振電路實施校準,使其達到一定的預置準確度而保證環路迅速進入鎖定狀態,是十分必要的。

2 TO鎖相環路
由於YIG調諧振蕩器(YTO)在頻率覆蓋、調諧線性、頻譜純度以及體積、重量和可靠性等方麵的優勢,現代的微波合成信號源幾乎都采用了YTO作為核心微波振蕩器。YTO是以YIG(釔鐵柘榴石)小球為諧振子、微wei波bo晶jing體ti管guan為wei有you源yuan器qi件jian的de固gu態tai微wei波bo信xin號hao源yuan,其qi輸shu出chu頻pin率lv與yu內nei部bu調tiao諧xie磁ci場chang有you較jiao好hao的de線xian性xing關guan係xi。內nei部bu調tiao諧xie磁ci場chang由you主zhu線xian圈quan和he副fu線xian圈quan兩liang部bu分fen生sheng成cheng,前qian者zhe感gan抗kang大da、調諧慢但調諧靈敏度高、調諧範圍寬、高頻幹擾抑製好;後(hou)者(zhe)感(gan)抗(kang)小(xiao)但(dan)調(tiao)諧(xie)速(su)度(du)快(kuai),並(bing)因(yin)為(wei)調(tiao)諧(xie)靈(ling)敏(min)度(du)低(di)而(er)具(ju)有(you)良(liang)好(hao)的(de)幹(gan)擾(rao)抑(yi)製(zhi)特(te)性(xing)。二(er)者(zhe)結(jie)合(he)使(shi)用(yong)特(te)別(bie)有(you)利(li)於(yu)既(ji)需(xu)要(yao)大(da)範(fan)圍(wei)調(tiao)諧(xie)又(you)需(xu)要(yao)快(kuai)速(su)修(xiu)正(zheng)的(de)寬(kuan)帶(dai)微(wei)波(bo)信(xin)號(hao)發(fa)生(sheng)器(qi)。以(yi)YTO為核心振蕩器的微波信號源鎖相原理框圖如圖2所示。
在這個鎖相環中,主振預置調諧信號激勵低頻電流發生器驅動YTO主zhu線xian圈quan,把ba輸shu出chu頻pin率lv調tiao諧xie到dao預yu置zhi頻pin率lv。再zai通tong過guo取qu樣yang的de方fang式shi將jiang微wei波bo信xin號hao下xia變bian頻pin到dao參can考kao頻pin率lv的de附fu近jin,並bing反fan饋kui至zhi鑒jian相xiang器qi電dian路lu,與yu高gao精jing準zhun參can考kao信xin號hao進jin行xing鑒jian相xiang。根gen據juYTO的驅動特點,低通濾波器後級的誤差電壓經過高、低頻分離後,分別疊加到高、低頻電流發生器的激勵信號中,實現對輸出電流的成比例調製,從而實現對YTO輸出頻率的調諧,最終實現頻率鎖定。
此環路中,捕獲帶寬一般設置在50MHz以內,但由於YIG振蕩器本身存在的非線性誤差和磁滯誤差,當主振預置調諧電壓線性變化時,振蕩器的輸出頻率常常會偏離理想頻率約20~40MHz,另外溫度的變化也會帶來一定的頻率漂移,以0-40℃變化為例,通常會有±30MHz的漂移誤差,因此,要使信號在整個溫度範圍內都能實現準確快速的捕獲鎖定,必須對振蕩器的預置實施補償。
3 YTO自校準方案的設計與實現
根據以上分析,誤差電壓Uc(t)與鑒相誤差成正比,也就是說,預置頻率偏離理論頻率越大,在該頻率點上的Uc(t)均值越大。其中,Uc(t)包含了瞬時隨機擾動分量Uc2(t)及低頻誤差電壓分量Uc1(t),後者起到調諧YTO的主要作用,因此,如果對YTO在(zai)全(quan)頻(pin)段(duan)內(nei)設(she)置(zhi)步(bu)進(jin)掃(sao)描(miao),並(bing)在(zai)每(mei)個(ge)頻(pin)率(lv)點(dian)對(dui)低(di)頻(pin)誤(wu)差(cha)電(dian)壓(ya)進(jin)行(xing)實(shi)時(shi)取(qu)樣(yang),將(jiang)得(de)到(dao)的(de)誤(wu)差(cha)數(shu)據(ju)進(jin)行(xing)存(cun)儲(chu),當(dang)整(zheng)機(ji)需(xu)要(yao)鎖(suo)相(xiang)輸(shu)出(chu)信(xin)號(hao)時(shi),取(qu)出(chu)對(dui)應(ying)點(dian)的(de)數(shu)據(ju),再(zai)經(jing)過(guo)比(bi)例(li)變(bian)換(huan)後(hou),疊(die)加(jia)到(dao)主(zhu)振(zhen)預(yu)置(zhi)電(dian)路(lu),將(jiang)可(ke)以(yi)實(shi)現(xian)對(dui)預(yu)置(zhi)頻(pin)率(lv)的(de)修(xiu)正(zheng),從(cong)而(er)達(da)到(dao)提(ti)高(gao)預(yu)置(zhi)準(zhun)確(que)度(du)的(de)目(mu)的(de)。原(yuan)理(li)框(kuang)圖(tu)如(ru)圖(tu)3所示。

該方案中,首先要完成高精度實時準確地對誤差信號進行采樣,具體的實現電路如圖4所示。

該電路中,YO-LOW-FM是低頻誤差電壓,範圍為±5V之內,為了將輸入電壓調整到A/D的要求範圍內,需加由R70、R71、N27-A組成的直流偏壓電路。在此,采用8位A/D轉換器,對誤差電壓的采樣分辨率可以達到40mV以內,按照低頻誤差電壓調諧靈敏度為10MHz/V計算,理論上對於YTO預置誤差的采樣分辨率可以達到0.4MHz以內,相對於YTO的捕獲帶寬而言,完全滿足采樣精度要求。
通過軟件參與設置,很容易得到全頻段內的預置誤差數據。對於2-20GHz的微波振蕩器,如果每隔5MHz設置補償一個點,那麼存儲器至少需要3600個地址空間,在此選擇8k×8靜態存儲器芯片,存儲空間滿足要求。在時鍾的同步控製下,地址生成器產生對應地址,該係列數據被存入RAM中,電路如圖5所示。

其中,控製信號的產生及存儲器地址的生成可以通過簡單的CPLDshejiwancheng,buzaizhuishu。dangzhengjixuyaopinlvbuchangshi,zairuanjianjitongbushizhongdekongzhixia,duiyingpinlvdianshujubeiquchu,jingguobilibianhuan,jikededaodiejiayuzhuzhenyuzhidianlude△Data數值。
△Data=k×Data
那麼,最終主振預置數據為:
DATA= Data中心頻率+△Data,其中,Data中心頻率為本次補償前該頻率點對應的預置數據。
在主振預置電路D/A部分,為了照顧2-20GHz全頻段能有較為精細的預置分辨率,並且滿足△Data插值需要,在此選擇了14位D/A轉換器,使用時在數據範圍0~16383兩端預留一定的插值空間,電路如圖6所示。


該電壓加到低頻驅動電路,即可實現對頻率的預置補償。
[page]
4 應用分析
對於不同批次的YTO,qifeixianxingtexingbujinxiangtong,erduiyingyubutongdequdongdianlu,tigongdexianxingqudongdianyazhunqueduyeyouqubie,yinci,zhenduiquanpinduandeyuzhiwuchashishiquyangshishibuchangdezixiaozhunjishu,henhaodimibulezhezhongbutonggetijiandechayixing,shengquelezhuyiceshiyuzhipinlvwuchademafan;而采取在主振預置電路疊加誤差數據的補償方式,使外加硬件補償電路並非必需,從而節省了設計成本,調試起來也更加方便。
一般來說,實際調試中可以通過預調合適的線性驅動電壓,使YTO初(chu)始(shi)化(hua)預(yu)置(zhi)頻(pin)率(lv)在(zai)環(huan)路(lu)的(de)捕(bu)獲(huo)帶(dai)寬(kuan)以(yi)內(nei),達(da)到(dao)一(yi)次(ci)掃(sao)描(miao)過(guo)程(cheng)中(zhong)的(de)初(chu)始(shi)鎖(suo)定(ding)狀(zhuang)態(tai)。由(you)於(yu)同(tong)步(bu)帶(dai)寬(kuan)遠(yuan)大(da)於(yu)捕(bu)獲(huo)帶(dai)寬(kuan),那(na)麼(me)鎖(suo)住(zhu)起(qi)始(shi)點(dian)後(hou),在(zai)鎖(suo)定(ding)狀(zhuang)態(tai)下(xia)向(xiang)後(hou)搜(sou)索(suo)相(xiang)鄰(lin)的(de)校(xiao)準(zhun)點(dian),將(jiang)允(yun)許(xu)在(zai)更(geng)大(da)的(de)預(yu)置(zhi)誤(wu)差(cha)下(xia)獲(huo)取(qu)補(bu)償(chang)數(shu)據(ju)。因(yin)此(ci),理(li)論(lun)上(shang)講(jiang),一(yi)次(ci)掃(sao)描(miao)就(jiu)可(ke)以(yi)實(shi)現(xian)對(dui)YTO在(zai)全(quan)頻(pin)段(duan)內(nei)的(de)校(xiao)準(zhun)。當(dang)然(ran),實(shi)際(ji)工(gong)程(cheng)應(ying)用(yong)中(zhong),為(wei)了(le)防(fang)止(zhi)漂(piao)移(yi),還(hai)可(ke)通(tong)過(guo)設(she)置(zhi)合(he)理(li)的(de)誤(wu)差(cha)門(men)限(xian)範(fan)圍(wei),進(jin)行(xing)幾(ji)次(ci)循(xun)環(huan)補(bu)償(chang),使(shi)預(yu)置(zhi)更(geng)加(jia)精(jing)準(zhun)。
另外,由於YTO預yu置zhi的de漸jian變bian性xing,校xiao準zhun過guo程cheng中zhong可ke以yi利li用yong當dang前qian頻pin率lv點dian的de誤wu差cha補bu償chang數shu據ju作zuo為wei相xiang鄰lin頻pin率lv點dian的de預yu補bu償chang,將jiang進jin一yi步bu降jiang低di了le搜sou索suo下xia一yi個ge校xiao準zhun點dian時shi的de失shi鎖suo危wei險xian,也ye是shi快kuai速su完wan成cheng該gai校xiao準zhun過guo程cheng的de技ji巧qiao之zhi一yi。
5 結論
這種環路自校準技術也可以延伸到功率補償的應用方麵。
特別推薦
- 噪聲中提取真值!瑞盟科技推出MSA2240電流檢測芯片賦能多元高端測量場景
- 10MHz高頻運行!氮矽科技發布集成驅動GaN芯片,助力電源能效再攀新高
- 失真度僅0.002%!力芯微推出超低內阻、超低失真4PST模擬開關
- 一“芯”雙電!聖邦微電子發布雙輸出電源芯片,簡化AFE與音頻設計
- 一機適配萬端:金升陽推出1200W可編程電源,賦能高端裝備製造
技術文章更多>>
- 邊緣AI的發展為更智能、更可持續的技術鋪平道路
- 每台智能體PC,都是AI時代的新入口
- IAR作為Qt Group獨立BU攜兩項重磅汽車電子應用開發方案首秀北京車展
- 構建具有網絡彈性的嵌入式係統:來自行業領袖的洞見
- 數字化的線性穩壓器
技術白皮書下載更多>>
- 車規與基於V2X的車輛協同主動避撞技術展望
- 數字隔離助力新能源汽車安全隔離的新挑戰
- 汽車模塊拋負載的解決方案
- 車用連接器的安全創新應用
- Melexis Actuators Business Unit
- Position / Current Sensors - Triaxis Hall
熱門搜索




