智能大功率軟啟動恒流源的設計
發布時間:2011-11-16
中心議題:
- 智能大功率軟啟動恒流源的設計
解決方案:
- PID控製算法實現大功率電源的軟啟動和控製
- 大功率運放 OPA549構成大電流恒流源
為了獲得穩定的大電流,本文設計了基於單片機控製的智能軟啟動大功率恒流源, 電流範圍0~8 A,最大峰值可達10 A。采用大功率運放OPA549 構成大電流恒流源,利用PID 控製算法實現了大功率電源的軟啟動和控製。該方法設計的電源在軟啟動過程中超調量很小,具有很好的穩定性;在恒流源工作時,穩定性也很好。
電源軟啟動方式就是控製輸出電壓和電流, 使負載的電壓和電流漸增。對於線性時不變模型的被控對象適當整定PID 參數可獲得較滿意的控製效果, 可以很好地解決電流過大的問題。PID 控製能很好地解決啟動過程中震蕩和超調的問題, 可以更好地保護電源, 且啟動可靠、穩定性強。采用單片機作為控製器, 編程靈活、性價比較高, 易實現人機界麵管理。利用軟件調整係統的非線性, 以降低實測值與設定值之間的偏差。電源電壓或電流的波動、電路元件的老化、環境溫度等因素都將影響電源的穩定性。為了穩定地控製電源功率, 該方案采用基於單片機的高速AD、DA 數據采集係統, 並采用PID算法實現大功率電源的軟啟動, 係統采用PID 電壓采樣反饋控製輸出電流的恒定不變, 精度較高、響應速度較快、靈活性較好、穩定性較高。
1 大功率精密恒流源的實現
1.1 電源係統設計
以單片機為核心, 完成以下功能: 處理鍵盤輸入數值, 包括電路預定值和"+" 、"-" 步進; 控製數LCD 顯示預定值和實際值; 控製ADC 和DAC; 根據得到的反饋信號通過程序控製算法進行偏差值補償。由於運放OPA549 一路受D/A 轉換器控製, 調整運放OPA549 輸入端電壓, 一路為比例放大電路。當DAC 輸出預定值或步進值後, 電流源的輸出在0 ~8 A 範圍內變化。輸出電壓經與負載串聯的小電阻采樣後, 送入ADC, 采樣值與預定值在單片機內部進行計算、比較輸出控製信號,對偏差值進行補償。利用軟件調整係統的非線性, 以降低實測值與設定值之間的偏差。
1.2 電源電路設計
(1) 數控部分核心
采用單C8051F , 控製數控直流源的鍵盤和顯示, 與D/A 轉換器和A/D 轉換器控製輸出電流。A/D 轉換器的基準電壓由專門±9 V 電源供電,D/A 轉換器的基準電壓由+20 V 電源供電, 由單片機送出數據經DAC 轉換輸出控製電壓。
(2) 運放OPA549 放大電路電流源
OPA549 是BB 公司新推出的一種高電壓大電流功率運算放大器。它能夠提供極好的低電平信號、輸出高電壓、大電流, 可驅動各種負載。該器件的主要特點: 輸出電流大, 連續輸出電流可達8 A, 峰值電流可達10 A; 工作電壓範圍寬, 單電源為+8 V~+60 V, 雙電源為±4 V~±60 V; 輸出電壓擺動大;有過熱關閉功能, 電流極限可調; 有使能及禁止功能; 有過熱關閉指示; 轉換效率( 壓擺率) 最高為9 V/μs ; 工作溫度範圍為-40℃~+85℃。該器件主要應用於驅動工業設備、測試設備、電源、音頻功率放大器等大電流負載。
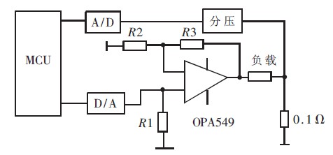
在該電源係統中, 主要為負載提供大電流, 采用PID 控製算法控製負載的發光強度。輸入為單片機經DAC輸出的控製電壓, 一路為比例放大電路, 如圖1 所示增益G=1+R3/R2.電流型DAC 通過R1 轉換成電壓, 控製OPA549 .輸出電流經采樣電阻轉換為采樣電壓, 送入A/D 轉換器反饋至單片機進行偏差值補償。

圖1 OPA549 構成可調大電流恒流源
(3) 散熱及抗幹擾
OPA549 大功率管工作時產生恒定的大電流, 功耗較大, 產生的熱量較多, 散熱成為該電源急需處理的問題。一般的軸流風扇內部電機置有脈衝驅動電路, 驅動時, 脈衝成分很容易直接順電機電源線" 外溢" , 幹擾其他電器設備。視頻設備上幹擾表現為橫通斜線, 音響設備上產生噪音。為此, 安裝大麵積的銅散熱片, 同時用風扇對設備中的電子元器件強製散熱。安裝風扇時, 需要在風扇電機電源線上串繞一隻高頻磁環以抗幹擾。串繞磁環有效濾除這些幹擾成分, 一般隻需繞上1~3 匝即可。
[page]
2 PID 控製算法
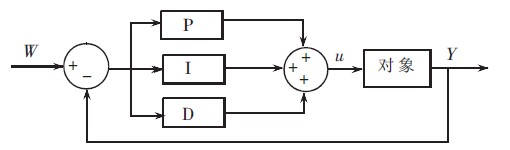
係統軟啟動的控製功能通過比例積分微分控製器實現。通過比較給定信號與反饋信號的偏差, 並進行比例、積分、微分等運算進行控製, 是技術較成熟、應用、廣泛的一種控製方式。其結構簡單、靈活性強、係統參數調整方便, 不需要求出模型。
PID 控製原理如圖2 所示。PID 控製是一種線性調節器, 它把設定值W 與實際輸出值相減, 得到控製偏差e .偏差值e 經比例、積分、微分後通過線性組合構成控製量U, 對對象進行控製。其中比例調節器起到基礎調節作用, 主要對控製係統的靈敏度和控製速度有影響。積分調節器可以自動調節控製量, 消除穩態誤差,使係統趨於穩定。微分調節器可以減小超調, 克服振蕩, 同時加快係統的穩定速度, 縮短調整時間, 從而改善係統的動態性能。

圖2 PID 控製原理圖
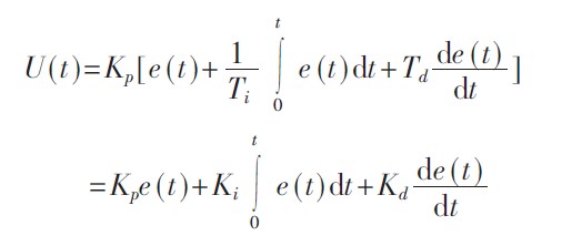
PID 控製器的輸出與輸入之間的關係可表達為:

式中: Ti為積分時間常數; Td為微分時間常數; Kp為比例係數; Ki為積分常數, Ki=Kp/Ti ; Kd為微分常數,Kd=Kp/Td.
係統啟動時間較短, 啟動電壓、電流較大, 負載所承受的衝擊也較大, 致使啟動階段負載的動負荷峰值遠遠大於正常運行時的負荷, 容易造成負載的損壞。為解決此問題, 設計了一種新型的PID 控製軟啟動電源係統, 主要由電源、大電流恒流源、輸出大電流端采樣和控製係統組成, 並完成了實驗室內的試驗。當電源啟動時, 首先由單片機係統給定設定電壓、電流或功率。PID軟啟動是按負載線性上升的規律控製輸出。在負載電壓線性增加的過程中, 如果電流超出了所限定的範圍, 則馬上投入電壓閉環, 使電流值限定在所設定的範圍內後, 再線性逐漸增加電壓至額定值, 係統的光強也由零逐漸增大, 完成啟動過程。
PID 控製係統軟啟動效果圖如圖3 所示。通過串行通信端口com1 通信, 電壓單位mV、電流單位mA, 功率單位mW, 時間單位s.

從圖3 的軟啟動效果圖可以看出, 在恒定電壓、電流、功率的模式下工作時, 係統開機過程超調量很小, 有效地控製了啟動過程, 防止了啟動過程產生過大的擾動電壓, 產生過大的功率, 有效地保護了負載。
[page]
3 實驗結果
由於輸出電流達到8 A, 對電源的功率要求較高, 易產生噪聲, 這種隨機噪聲也會對輸出電流產生一定的影響。為減弱這種噪聲, 各個模塊分別供電, 以減少交叉幹擾, 同時在電路板上多加裝去耦濾波電容, 減小幹擾的影響, 同時OPA549 能有效地抑製紋波。影響電源穩定性的因素很多, 如負載的變化、取樣電阻的變化、A/D、D/A 的影響等。如圖4 所示, 不同負載的情況下, 電源誤差不同。10 W 的負載, 由於功率較低, 在電壓、電流增加時, 誤差變化也較小。35 W 的負載, 由於功率較大, 工作電流的變化範圍比較大, 功耗較大, 電源的誤差變化相應地也比較大。如圖5, 在10 W、20 W 和35 W 的負載時, 工作狀態穩定, 能夠滿足大電流、大功率的需要。


總結
該係統利用PID 算法進行控製, 采用大功率運放OPA549 輸出電流在0~8 A 範圍內可調, 最大峰值可達到10 A, 能夠有效抑製紋波電流, 克服了傳統電流源輸出電流範圍小的缺點。可設置並能實時顯示輸出電壓、電流、功率實測值, 具有"+ " , "- " 步進調整功能, 輸出可在LCD12864 顯示, 同時通過RS232 與上位機同步通信, 直接顯示, 保存實驗數據。通過對測試結果的分析,係統在軟啟動的過程中, 超調量很小, 啟動效果很好, 避免了對負載的衝擊。由於大功率調整管的電流大範圍變化時, 經過軟件補償、放大電路調整等方法解決線性度較差,實測值和設定值存在偏差的問題。該電源適用於大功率的場合,本電源具有很好的實用性。
- 噪聲中提取真值!瑞盟科技推出MSA2240電流檢測芯片賦能多元高端測量場景
- 10MHz高頻運行!氮矽科技發布集成驅動GaN芯片,助力電源能效再攀新高
- 失真度僅0.002%!力芯微推出超低內阻、超低失真4PST模擬開關
- 一“芯”雙電!聖邦微電子發布雙輸出電源芯片,簡化AFE與音頻設計
- 一機適配萬端:金升陽推出1200W可編程電源,賦能高端裝備製造
- 貿澤EIT係列新一期,探索AI如何重塑日常科技與用戶體驗
- 算力爆發遇上電源革新,大聯大世平集團攜手晶豐明源線上研討會解鎖應用落地
- 創新不止,創芯不已:第六屆ICDIA創芯展8月南京盛大啟幕!
- AI時代,為什麼存儲基礎設施的可靠性決定數據中心的經濟效益
- 矽典微ONELAB開發係列:為毫米波算法開發者打造的全棧工具鏈
- 車規與基於V2X的車輛協同主動避撞技術展望
- 數字隔離助力新能源汽車安全隔離的新挑戰
- 汽車模塊拋負載的解決方案
- 車用連接器的安全創新應用
- Melexis Actuators Business Unit
- Position / Current Sensors - Triaxis Hall





