理解功率MOSFET的電流
發布時間:2011-11-02
中心議題:
- 功率MOSFET的連續漏極電流
- 功率MOSFET的脈衝漏極電流
- 功率MOSFET的雪崩電流
通常,在功率MOSFET的數據表中的第一頁,列出了連續漏極電流ID,脈衝漏極電流IDM,雪崩電流IAV的(de)額(e)定(ding)值(zhi),然(ran)而(er)對(dui)於(yu)許(xu)多(duo)電(dian)子(zi)工(gong)程(cheng)師(shi)來(lai)說(shuo),他(ta)們(men)對(dui)於(yu)這(zhe)些(xie)電(dian)流(liu)值(zhi)的(de)定(ding)義(yi)以(yi)及(ji)在(zai)實(shi)際(ji)的(de)設(she)計(ji)過(guo)程(cheng)中(zhong),它(ta)們(men)如(ru)何(he)影(ying)響(xiang)係(xi)統(tong)以(yi)及(ji)如(ru)何(he)選(xuan)取(qu)這(zhe)些(xie)電(dian)流(liu)值(zhi),常(chang)常(chang)感(gan)到(dao)困(kun)惑(huo)不(bu)解(jie),本(ben)文(wen)將(jiang)係(xi)統(tong)的(de)闡(chan)述(shu)這(zhe)些(xie)問(wen)題(ti),並(bing)說(shuo)明(ming)在(zai)實(shi)際(ji)的(de)應(ying)用(yong)過(guo)程(cheng)中(zhong)如(ru)何(he)考(kao)慮(lv)這(zhe)些(xie)因(yin)素(su),最(zui)後(hou)給(gei)出(chu)選(xuan)取(qu)它(ta)們(men)的(de)原(yuan)則(ze)。
功率MOSFET的連續漏極電流
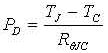
連續漏極電流在功率MOSFET的數據表中表示為ID。對於功率MOSFET來說,通常連續漏極電流ID是一個計算值。當器件的封裝和芯片的大小一定時,如對於底部有裸露銅皮的封裝DPAK,TO220,D2PAK,DFN5*6等,那麼器件的結到裸露銅皮的熱阻RθJC是一個確定值,根據矽片允許的最大工作結溫TJ和裸露銅皮的溫度TC,為常溫25℃,就可以得到器件允許的最大的功耗PD:

當功率MOSFET流過最大的連續漏極電流時,產生最大功耗為PD:
![]()
因此,二式聯立,可以得到最大的連續漏極電流ID的計算公式:

其中,RDS(ON)_TJ(max) 為在最大工作結溫TJ下,功率MOSFET的導通電阻;通常,矽片允許的最大工作結溫為150℃。需要說明的是:上述的電流是基於最大結溫的計算值;shishishang,tahaiyaoshoudaofengzhuangdexianzhi。zaishujubiaozhong,xuduogongsibiaoshideshijiyufengzhuangxianzhizuidadelianxuloujidianliu,eryouxiegongsibiaoshideshijiyuzuidajiewendedianliu,nametatongchanghuizaishujubiaozhushizhongjinxingshuoming,bingshichujiyufengzhuangxianzhidezuidadelianxuloujidianliu。
在公式(1)中,需要測量器件的熱阻RθJC,對於數據表中的熱阻都是在一定的條件下測試的,通常是將器件安裝在一個1平方英寸2oz的銅皮的PCB上,對於底部有裸露銅皮的封裝,等效熱阻模型如圖1所示。如果沒有裸露銅皮的封裝,如SOT23,SO8等,圖1中的RθJC通常要改變為RθJL,RθJL就是結到管腳的熱阻,這個管腳是芯片內部與襯底相連的那個管腳。

圖1 等效熱阻模型
功率MOSFET有(you)一(yi)個(ge)反(fan)並(bing)聯(lian)的(de)寄(ji)生(sheng)二(er)極(ji)管(guan),二(er)極(ji)管(guan)相(xiang)當(dang)於(yu)一(yi)個(ge)溫(wen)度(du)傳(chuan)感(gan)器(qi),一(yi)定(ding)的(de)溫(wen)度(du)對(dui)應(ying)著(zhe)一(yi)定(ding)的(de)二(er)極(ji)管(guan)的(de)壓(ya)降(jiang),通(tong)常(chang),二(er)極(ji)管(guan)的(de)壓(ya)降(jiang)和(he)溫(wen)度(du)曲(qu)線(xian)需(xu)要(yao)進(jin)行(xing)校(xiao)準(zhun)。
測試時,功率MOSFET的反並聯的寄生二極管中通過一定的電流,當器件進入熱平衡狀態時,測量二極管的壓降、器件裸露銅皮或與芯片內部襯底相連的管腳的溫度,以及環境溫度。
通過二極管的壓降和通過的電流,可以計算功耗;通過二極管的壓降可以查到結溫,根據功耗、結溫和器件裸露銅皮或與芯片內部襯底相連的管腳的溫度,可以計算得到RθJC或RθJL。根據功耗、結溫和環境溫度,還可以計算得到RθJA。
特別強調的是,RθJC不是結到器件的塑料外殼溫度。RθJA是器件裝在一定尺寸的PCB板測量的值,不是隻靠器件本身單獨散熱時的測試值。實際的應用中,通常RθJT+RθJA>>RθJC+RθCA,器件結到環境的熱阻通常近似為:RθJA≈RθJC+RθCA
熱阻RθJC確定了,就可以用公式(1)計算功率MOSFET的電流值連續漏極電流ID,當環境溫度升高時,相應的ID的值也會降低。
裸露銅皮的封裝,使用RθJC或RθJA來校核功率MOSFET的結溫,通常可以增大散熱器,提高器件通過電流的能力。底部沒有裸露銅皮的封裝,使用RθJL或RθJA來校核功率MOSFET的結溫,其散熱的能力主要受限於晶片到PCB的熱阻。數據表中ID隻考慮導通損耗,在實際的設計過程中,要計算功率MOSFET的最大功耗包括導通損耗、開關損耗、寄生二極管的損耗等,然後再根據功耗和熱阻來校核結溫,保證其結溫小於最大的允許值,最好有一定的裕量。
上述計算過程中,ID是基於矽片的最大允許結溫來計算的,實際的ID還要受到封裝的影響,特別是底部具有裸露銅皮的封裝。
[page]
封裝限製通常是指連接線的電流處理能力。對於額定的連接線的電流限製,常用的方法是基於連接線的熔化溫度。當連接線的溫度大於220℃時,會導致外殼塑料的熔化分解。在許多情況下,矽電阻高於線的電阻的10倍以上,大部分的熱產生於矽的表麵,最熱的點在矽片上,而且結溫通常要低於220℃,因此不會存在連接線的熔化問題。連接線的熔化隻有在器件損壞的時候才會發生。
youluolutongpiqijianzaifengzhuangguochengzhongguipiantongguohanliaohanzaikuangjiashang,hanliaozhongdekongqiyijiguipianyukuangjiahanjiedepingzhengduhuishijubudelianjiedianzufenbubujunyun,tongguolianjiexianlianjieguipiandeguanjiao,zailianjiexianheguipianjiehechuhuichanshengjiaogaodelianjiedianzu,yincishijidelianxuloujidianliuID會(hui)小(xiao)於(yu)數(shu)基(ji)於(yu)結(jie)溫(wen)計(ji)算(suan)的(de)電(dian)流(liu)。基(ji)於(yu)封(feng)裝(zhuang)限(xian)製(zhi)的(de)電(dian)流(liu)是(shi)測(ce)試(shi)的(de)實(shi)際(ji)工(gong)作(zuo)的(de)最(zui)大(da)電(dian)流(liu),因(yin)此(ci),在(zai)數(shu)據(ju)表(biao)中(zhong),寄(ji)生(sheng)二(er)極(ji)管(guan)的(de)電(dian)流(liu)通(tong)常(chang)也(ye)用(yong)這(zhe)個(ge)值(zhi)表(biao)示(shi)。
功率MOSFET的脈衝漏極電流
脈衝漏極電流在功率MOSFET的數據表中表示為IDM,對於這個電流值,許多工程師不明白它是如何定義的。
通常,功率MOSFET也可以工作在飽和區,即放大區恒流狀態。如果功率MOSFET穩態工作在可變電阻區,此時,對應的VGS的放大恒流狀態的漏極電流遠遠大於係統的最大電流,因此在導通過程中,功率MOSFET要經過Miller平台區,此時Miller平台區的VGS的電壓對應著係統的最大電流。然後Miller電容的電荷全部清除後,VGS的電壓才慢慢增加,進入到可變電阻區,最後,VGS穩定在最大的柵極驅動電壓,Miller平台區的電壓和係統最大電流的關係必須滿足功率MOSFET的轉移工作特性或輸出特性。
也就是,對於某一個值的VGS1,在轉移工作特性或輸出特性的電流為IDM1,器件不可能流過大於IDM1的電流,轉移工作特性或輸出特性限製著功率MOSFET的最大電流值。
這也表明,數據表中功率MOSFET脈衝漏極電流額定值IDM對應著器件允許的最大的VGS,在此條件下,器件工作在飽和區,即放大區恒流狀態時,器件能夠通過的最大漏極電流,同樣,最大的VGS和IDM也要滿足功率MOSFET的轉移工作特性或輸出特性。
另外,最大的脈衝漏極電流IDM還要滿足最大結溫的限製,IDM工作在連續的狀態下,功率MOSFET的結溫可能會超出範圍。在脈衝的狀態下,瞬態的熱阻小於穩態熱阻,可以滿足最大結溫的限製。
因此IDM要滿足兩個條件:(1) 在一定的脈衝寬度下,基於功率MOSFET的轉移工作特性或輸出特性的真正的單脈衝最大電流測量值;(2)在一定的脈衝寬度下,基於瞬態的熱阻和最大結溫的計算值。數據表通常取二者中較小的一個。功率MOSFET的數據表後麵通常列出了瞬態的熱阻的等效圖。
因為VGS限定的漏極的電流,單純的考慮IDM對(dui)於(yu)實(shi)際(ji)應(ying)用(yong)沒(mei)有(you)太(tai)多(duo)的(de)參(can)考(kao)價(jia)值(zhi),因(yin)為(wei)實(shi)際(ji)的(de)應(ying)用(yong)中(zhong),柵(zha)極(ji)的(de)驅(qu)動(dong)電(dian)壓(ya)通(tong)常(chang)小(xiao)於(yu)最(zui)大(da)的(de)額(e)定(ding)電(dian)壓(ya)。同(tong)樣(yang)的(de),在(zai)實(shi)際(ji)的(de)柵(zha)極(ji)驅(qu)動(dong)電(dian)壓(ya)下(xia),單(dan)純(chun)的(de)考(kao)慮(lv)電(dian)流(liu)也(ye)沒(mei)有(you)意(yi)義(yi),而(er)是(shi)考(kao)慮(lv)最(zui)大(da)漏(lou)極(ji)電(dian)流(liu)的(de)持(chi)續(xu)時(shi)間(jian)。
IDMheshijideyingyongzuixiangguandezhuangtaijiushixitongfashengduanlu,yinci,zaixitongkongzhiqidezhaqudongdianyaxia,ceshiduanlushizuidaloujidianliudechixushijian。tongchangzaishejiguochengzhong,shixitongduanlubaohushijianxiaoyu1/3~1/2的上述的持續時間,這樣才能使係統可靠。
事shi實shi上shang,對dui於yu大da電dian流liu,在zai導dao通tong狀zhuang態tai下xia或huo關guan斷duan的de過guo程cheng,由you於yu芯xin片pian內nei部bu的de不bu平ping衡heng或huo其qi他ta一yi些xie至zhi今jin還hai沒mei有you理li論lun可ke以yi解jie釋shi的de原yuan因yin,即ji使shi芯xin片pian沒mei有you超chao過guo結jie溫wen,也ye會hui產chan生sheng損sun壞huai。
yinci,zaishijideyingyongzhong,yaojinliangdeshiduanlubaohudeshijianduan,yijianxiaoxitongduanluzuidachongjidianliudechongji。jutifangfajiushijianxiaoduanlubaohuhuiludeyanshi,zhongduanxiangyingdeshijiandeng。
在不同的柵級電壓下測量短路電流,測試波形如圖2所示,采用的功率MOSFET為AOT266。圖2(a):VGS電壓為13V,短路電流達1000A,MOSFET在經過47μs後電流失控而損壞;圖2(b):VGS電壓為8V,短路電流僅為500A,MOSFET在經過68μs後電流失控而損壞。電流測試使用了20:1的電流互感器,因此電流為200A/格。

圖2 AOT266短路測試波形
可以的看到,VGS =13V,最大電流為1000A,持續的時間為47μs;VGS =8V,最大電流為500A,持續的時間為68μs。
功率MOSFET的雪崩電流
雪崩電流在功率MOSFET的數據表中表示為IAV,雪崩能量代表功率MOSFET抗過壓衝擊的能力。在測試過程中,選取一定的電感值,然後將電流增大,也就是功率MOSFET開通的時間增加,然後關斷,直到功率MOSFET損壞,對應的最大電流值就是最大的雪崩電流。
在數據表中,標稱的IAV通常要將前麵的測試值做70%或80%降額處理,因此它是一個可以保證的參數。一些功率MOSFET供應商會對這個參數在生產線上做100%全部檢測,因為有降額,因此不會損壞器件。
注意:測量雪崩能量時,功率MOSFET工作在UIS非鉗位開關狀態下,因此功率MOSFET不是工作在放大區,而是工作在可變電阻區和截止區。因此最大的雪崩電流IAV通常小於最大的連續的漏極電流值ID。
采cai用yong的de電dian感gan值zhi越yue大da,雪xue崩beng電dian流liu值zhi越yue小xiao,但dan雪xue崩beng能neng量liang越yue大da,生sheng產chan線xian上shang需xu要yao測ce試shi時shi間jian越yue長chang,生sheng產chan率lv越yue低di。電dian感gan值zhi太tai小xiao,雪xue崩beng能neng量liang越yue小xiao。目mu前qian低di壓ya的de功gong率lvMOSFET通常取0.1mH,此時,雪崩電流相對於最大的連續的漏極電流值ID有明顯的改變,而且測試時間比較合適範圍。
- 噪聲中提取真值!瑞盟科技推出MSA2240電流檢測芯片賦能多元高端測量場景
- 10MHz高頻運行!氮矽科技發布集成驅動GaN芯片,助力電源能效再攀新高
- 失真度僅0.002%!力芯微推出超低內阻、超低失真4PST模擬開關
- 一“芯”雙電!聖邦微電子發布雙輸出電源芯片,簡化AFE與音頻設計
- 一機適配萬端:金升陽推出1200W可編程電源,賦能高端裝備製造
- 邊緣AI的發展為更智能、更可持續的技術鋪平道路
- IAR作為Qt Group獨立BU攜兩項重磅汽車電子應用開發方案首秀北京車展
- 數字化的線性穩壓器
- 安森美:用全光譜“智慧之眼”定義下一代工業機器人
- 貿澤EIT係列新一期,探索AI如何重塑日常科技與用戶體驗
- 車規與基於V2X的車輛協同主動避撞技術展望
- 數字隔離助力新能源汽車安全隔離的新挑戰
- 汽車模塊拋負載的解決方案
- 車用連接器的安全創新應用
- Melexis Actuators Business Unit
- Position / Current Sensors - Triaxis Hall






