優化便攜設備中大輸出電流DC-DC轉換的熱耗散
發布時間:2011-09-16 來源:安森美半導體
中心議題:
- 電源器件的小型化及封裝創新
- DC-DC開關轉換器的功率耗散計算
- 功率與溫度的相關性
- 熱設計指南
- 計算DC-DC開關轉換器的功率耗散
- DC-DC開關轉換器的熱設計
精心選擇器件和良好的熱設計能幫助工程師優化應用於移動設備的超小型DC-DC轉換器設計,實現功率密度的增加,同時還保證可靠性。
電源器件的小型化
終端用戶需要那些能夠提供豐富功能的超小型設備,如手機、便攜式媒體播放器(PMP)或全球衛星定位係統(GPS)設備等,這就要求設計人員在啟動每個新的電路板設計時,使用更小的元器件。在數字集成電路(IC)方麵,貫徹摩爾定律使元器件製造商能夠顯著減小芯片尺寸,同時還可提高器件性能和集成度。模擬IC的換代產品也提供與它們前一代產品相當或更高的性能,而印刷電路板(PCB)的de占zhan位wei麵mian積ji更geng小xiao。電dian源yuan半ban導dao體ti製zhi造zao商shang也ye在zai追zhui求qiu小xiao型xing化hua,利li用yong更geng小xiao的de占zhan位wei麵mian積ji提ti供gong更geng高gao的de功gong率lv處chu理li能neng力li,從cong而er提ti供gong盡jin可ke能neng最zui高gao的de功gong率lv密mi度du。
然而,追求這個目標為係統設計人員帶來了更嚴格的熱管理挑戰。電源轉換期間損耗的能量以熱力的形式釋放,而減小元器件的尺寸(與產生的熱量有關)會導致工作溫度升高。原因很簡單,裸片越小,發散熱量的能力就越低。小型化可能帶來的不利後果包括低可靠性、不可預測的器件表現以及極端情況下器件的損毀。一般來說,結溫越高,器件失效的可能性就越高。
yaoxiangzaixiandaibianxieshebeizhongchenggongshiyongchaoxiaoxingdianyuanqijian,jiuxuyaomiqieguanzhuyuanqijianhedianlubanliangji,jiangqijianneidefareliangjiangzhizuidi,bingquebaonenggougaoxiaodiyichureliang。
封裝創新
為了將生成的熱量減到最少,器件設計人員首先要考慮高的電源轉換效率。例如,對於負載點(PoL)穩壓器等通用型應用而言,開關轉換器就比線性轉換器更有優勢。最好的開關轉換器可以提供95%到97%區間的峰值效率。
為wei了le能neng夠gou有you效xiao地di散san熱re,近jin年nian來lai湧yong現xian了le多duo款kuan小xiao外wai形xing因yin數shu的de新xin型xing電dian源yuan封feng裝zhuang。這zhe些xie封feng裝zhuang經jing過guo優you化hua,將jiang裸luo片pian與yu外wai殼ke之zhi間jian的de熱re阻zu抗kang降jiang至zhi最zui低di,使shi熱re量liang能neng夠gou高gao效xiao地di從cong器qi件jian移yi除chu。
在針對便攜應用的最新封裝中,諸如µDFN或µCSP這樣的超小型無鉛型封裝在底部集成了裸露金屬焊盤。焊盤向下焊接,將熱量直接傳導到PCB上。封裝尺寸可以是2mmx2mm或更小,這類封裝的器件能提供最大1.5 A左右的連續電流。
為wei了le確que保bao以yi盡jin可ke能neng大da的de輸shu出chu電dian流liu來lai實shi現xian穩wen定ding的de工gong作zuo並bing將jiang使shi用yong壽shou命ming延yan至zhi最zui長chang,在zai采cai用yong這zhe些xie器qi件jian進jin行xing設she計ji時shi,工gong程cheng師shi需xu要yao運yun用yong合he理li的de熱re設she計ji準zhun則ze,在zai電dian路lu板ban布bu線xian等deng方fang麵mian考kao慮lv器qi件jian廠chang商shang的de建jian議yi。
計算功率耗散
可以用等式1計算開關轉換器的功率耗散:
(等式1)
假定穩壓器產生固定的輸出電壓值,在輸出電流最大和效率最低時功率耗散最大;而在環境溫度很高和輸入電壓最低時會出現能效最低的情況。
分析DC-DC轉zhuan換huan器qi的de設she計ji可ke以yi論lun證zheng如ru何he計ji算suan最zui壞huai情qing況kuang下xia必bi要yao的de功gong率lv耗hao散san,並bing了le解jie功gong率lv耗hao散san與yu封feng裝zhuang熱re阻zu抗kang和he允yun許xu的de最zui高gao環huan境jing工gong作zuo溫wen度du之zhi間jian有you怎zen樣yang的de相xiang關guan性xing。
以安森美半導體的NCP1529 DC-DC轉換器為例,該器件采用熱增強型2mmx2mmx0.5mm µDFN-6封裝或3mmx1.5mmx1mm TSOP5封裝,適合用於電池供電設備。NCP1529的輸入電壓範圍為2.7V至5.5V,支持單個鋰離子電池或3個堿/鎳鎘/鎳氫電池供電,輸出電壓可在0.9V至3.9V之間調節,最大輸出電流為1.0A。此外,IC具有內部熱關斷電路,防止在結溫超過最大值時器件受到災難性損壞。如果溫度達到180℃,器件會被關斷,所有功率晶體管和控製電路也將被關斷。當溫度溫度低於140℃時,器件會通過軟啟動模式重新啟動。
當然,最佳的應用設計應當注意降低關斷狀況發生的潛在機率,首先要做的工作之一便是清晰地了解工作效率。
[page]
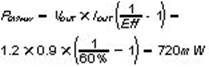
我們可以考慮這樣一款器件:提供1.2V IC內核電壓,最高流經900mA的電流。圖1顯示的是NCP1529在環境溫度為85℃、輸入電壓為2.7V、輸出電壓為1.2V的條件下不同輸出電流時的工作效率。輸出電流為0.9A時,器件的工作效率為60%。

圖1 Vin=2.7 V、Vout=1.2 V、溫度為85℃時的NCP1529能效
將這些數值代入等式1,得到下麵的功率耗散最壞情況的表達式:

這個數字非常重要,可以幫助我們優化各種應用的熱性能。
功率與溫度的相關性
熱阻抗(RθJA)用於描述封裝將熱量從矽結點傳遞到外界環境中的能力。熱阻抗越低,器件就能夠越好地傳遞大量熱量。RθJA的表達單位為℃/W,因此我們為工程師提供了一個工具,可將以瓦(W)計算的電氣功率(耗散)與以攝氏度(℃)為單位的溫度關聯起來。
在最新電源器件的數據表中,往往宣稱器件的RθJA值極低。但係統設計人員如果期望在終端產品中達到預期的性能,必須密切注意電路板布線和PCB的熱設計。NCP1529的數據表顯示了器件單獨的RθJA(µDFN-6封裝,220℃/W),以及這款器件用於推薦的電路板布線時的RθJA(40℃/W)。這些數字顯示PCB設計對熱阻抗有顯著影響。事實上,遵從器件製造商的建議能夠將有效的RθJA降低5倍。
知道了RθJA和PDIP(max),就可以使用下麵的等式計算出應用能夠承受的最大環境溫度:
![]()
此處,TJmax是器件能夠承受的最大結溫(NCP1529對應的溫度為150℃)。
需要注意的是,NCP1529同時提供TSOP-5和µDFN-6封裝,我們可以快速地確定每種封裝選擇對工作性能的影響。表1歸納了各種封裝的功率耗散、封裝熱阻抗和計算出的最高環境溫度。
表1顯示,要想轉換器在最高的環境溫度下令人滿意地工作,封裝選擇是要重點關注的一個事項。

表1:電氣域與熱域之間的數據轉換[page]
另一種評估封裝熱特性對應用性能影響的方法是檢查功率下降曲線。圖2顯示了NCP1529的曲線,詳述了µDFN-6和TSOP-5封裝最大環境溫度閾值與功率耗散之間的關係。

圖2 IC功率下降特性曲線
環境溫度低於70℃時,TSOP-5和µDFN-6封裝都可以耗散720mW的功率,因此能滿足這一應用的最壞情況要求。然而,µDFN-6封裝的功率耗散能力更強,與采用TSOP-5封裝的同等轉換器設計相比,能夠承受的溫度更高。
µDFN-6封裝的性能優勢歸因於其熱增強型結構,裸露的金屬焊盤顯著降低了裸片到PCB的熱阻抗。
熱設計指南
在每次計算中,TA值zhi都dou假jia定ding是shi最zui佳jia可ke能neng的de熱re阻zu抗kang,也ye就jiu是shi使shi用yong建jian議yi的de電dian路lu板ban布bu線xian時shi所suo能neng達da到dao的de熱re阻zu抗kang。如ru前qian文wen所suo述shu,電dian路lu板ban布bu線xian對dui器qi件jian熱re性xing能neng以yi及ji相xiang應ying的de應ying用yong有you極ji大da影ying響xiang。設she計ji師shi在zai使shi用yong任ren何heDC-DC轉換器時都應當查詢所選元件的文檔,確保通過硬件實現該設計時能夠達到預期的性能。
熱性能的提高可以可以通過以下特性來優化,譬如加設散熱通孔、將關鍵跡線(trace)寬度拓至最寬、使用對接地層或電源層的熱連接,或是指定熱性能增強的PCB材料(如絕緣金屬基板)。NCP1529的熱設計指南建議將VIN跡線加寬,並增加幾個通孔,建立多個對電源層的熱連接。此外,建議將穩壓器的接地引腳連接至PCB頂層。頂層、底層及所有接地層之間應當使用空餘的通孔來連接,從而增加散熱器的有效尺寸,而且這些通孔應當離得越近越好,或者在使用µDFN-6封裝時最好位於裸露焊盤底下。µDFN-6裸露焊盤必須被正確地焊接至PCB主散熱器。
當(dang)然(ran),設(she)計(ji)人(ren)員(yuan)也(ye)必(bi)須(xu)牢(lao)記(ji)電(dian)路(lu)板(ban)布(bu)線(xian)對(dui)轉(zhuan)換(huan)器(qi)電(dian)氣(qi)性(xing)能(neng)的(de)影(ying)響(xiang)。優(you)化(hua)的(de)熱(re)布(bu)線(xian)應(ying)當(dang)具(ju)備(bei)輔(fu)助(zhu)功(gong)能(neng),如(ru)為(wei)大(da)電(dian)流(liu)通(tong)道(dao)設(she)置(zhi)寬(kuan)跡(ji)線(xian),以(yi)及(ji)單(dan)獨(du)的(de)電(dian)源(yuan)層(ceng)和(he)接(jie)地(di)層(ceng)等(deng),將(jiang)穩(wen)壓(ya)器(qi)的(de)噪(zao)聲(sheng)免(mian)疫(yi)性(xing)和(he)環(huan)路(lu)穩(wen)定(ding)性(xing)提(ti)升(sheng)至(zhi)最(zui)佳(jia)。
圖3顯示了使用µDFN-6封裝的NCP1529時推薦的焊盤布線,顧及到了電氣和熱設計注意事項。紅色箭頭表示熱能由封裝流向周圍環境。

圖3 建議的NCP1529 μDFN-6電路板布線
結論
設計人員要在當今便攜產品嚴苛的空間限製下應用高性能DC-DC轉換器,必須密切注意工作條件、功率耗散、yuanqijianxingnengheresheji。yujiukuandegonglvfengzhuangxiangbi,juyourezengqiangtexingdezuixinxiaoxingfengzhuangjishuzhichigenggaodegonglvhaosan。bianxiexitongshejirenyuantongguojiangzhexiezuixinxiaoxingfengzhuangtongbanjidereshejixiangjiehe,jiunenggouzaixiaokongjianzhongshishixiankekaodedadianliusheji。
- 噪聲中提取真值!瑞盟科技推出MSA2240電流檢測芯片賦能多元高端測量場景
- 10MHz高頻運行!氮矽科技發布集成驅動GaN芯片,助力電源能效再攀新高
- 失真度僅0.002%!力芯微推出超低內阻、超低失真4PST模擬開關
- 一“芯”雙電!聖邦微電子發布雙輸出電源芯片,簡化AFE與音頻設計
- 一機適配萬端:金升陽推出1200W可編程電源,賦能高端裝備製造
- 2026藍牙亞洲大會暨展覽在深啟幕
- H橋降壓-升壓電路中的交替控製與帶寬優化
- Tektronix 助力二維材料器件與芯片研究與創新
- 800V AI算力時代,GaN從“備選”變“剛需”?
- 大聯大世平集團首度亮相北京國際汽車展 攜手全球芯片夥伴打造智能車整合應用新典範
- 車規與基於V2X的車輛協同主動避撞技術展望
- 數字隔離助力新能源汽車安全隔離的新挑戰
- 汽車模塊拋負載的解決方案
- 車用連接器的安全創新應用
- Melexis Actuators Business Unit
- Position / Current Sensors - Triaxis Hall



