MOSFET的UIS及雪崩能量解析
發布時間:2011-07-14
中心議題:
- EAS,IAR和EAR的定義及測量
- UIS條件下器件的雪崩損壞方式
- 考慮雪崩能量的應用條件
解決方案:
- 測量EAS,IAR和EAR
- 分析需考慮雪崩能量的應用條件
在功率的數據表中,通常包括單脈衝雪崩能量EAS,雪崩電流IAR,重複脈衝雪崩能量EAR等參數,而xuduodianzigongchengshizaishejidianyuanxitongdeguochengzhong,henshaokaolvdaozhexiecanshuyudianyuanxitongdeyingyongyoushenmeyangdelianxi,ruhezaishijideyingyongzhongpingdingzhexiecanshuduiqideyingxiang,yijizainaxieyingyongtiaojianxiaxuyaokaolvzhexiecanshu。benwenjianglunshuzhexiewenti,tongshitantaogonglvMOSFET在非鉗位感性開關條件下的工作狀態。
EAS,IAR和EAR的定義及測量
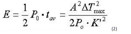
MOSFETdexuebengnengliangyuqijianderexingnenghegongzuozhuangtaixiangguan,qizuizhongdebiaoxianjiushiwendudeshangsheng,erwendushangshengyugonglvshuipingheguipianfengzhuangderexingnengxiangguan。gonglvbandaotiduikuaisugonglvmaichong(時間為100~200μs)的熱響應可以由式1說明:

其中,A是矽片麵積,K常數與矽片的熱性能相關。由式(1)得:

其中,tavshimaichongshijian。dangchangshijianzaididianliuxiaceliangxuebengnengliangshi,xiaohaodegonglvjiangshiqijiandewendushenggao,qijiandeshixiaodianliuyouqidadaodefengzhiwendusuojueding。ruguoqijianzugoulaokao,wendubuchaoguozuigaodeyunxujiewen,jiukeyiweichiceliang。zaiciguochengnei,jiewentongchangcong25℃增加到TJMAX,外部環境溫度恒定為25℃,電流通常設定在ID的60%。雪崩電壓VAV大約為1.3倍器件額定電壓。
雪崩能量通常在非鉗位感性開關UIS條件下測量。其中,有兩個值EAS和EAR,EAS為單脈衝雪崩能量,定義了單次雪崩狀態下器件能夠消耗的最大能量;EAR為重複脈衝雪崩能量。雪崩能量依賴於電感值和起始的電流值。
圖1為VDD去耦的EAS測量電路及波形。其中,驅動MOSFET為Q1,待測量的MOSFET為DUT,L為電感,D為續流管。待測量的MOSFET和驅動MOSFET同時導通,電源電壓VDD加在電感上,電感激磁,其電流線性上升,經導通時間tp後,電感電流達到最大值;然後待測量的MOSFET和驅動MOSFET同時關斷,由於電感的電流不能突變,在切換的瞬間,要維持原來的大小和方向,因此續流二極管D導通。

由於MOSFET的DS之間有寄生電容,因此,在D導通續流時,電感L和CDS形成諧振回路,L的電流降低使CDS上的電壓上升,直到電感的電流為0,D自然關斷,L中儲存的能量應該全部轉換到CDS中。
[page]
如果電感L為0.1mH,IAS=10A,CDS=1nF,理論上,電壓VDS為:
CDSVDS2=LIAS2 (3)
VDS=3100V
這樣高的電壓值是不可能的,那麼為什麼會有這樣的情況?從實際的波形上看,MOSFET的DS區域相當於一個反並聯的二極管。由於這個二極管兩端加的是反向電壓,因此處於反向工作區,隨著DS的電壓VDS增加,增加到接近於對應穩壓管的鉗位電壓也就是 V(BR)DSS時,VDS的電壓就不會再明顯的增加,而是維持在V(BR)DSS值基本不變,如圖1所示。此時,MOSFET工作於雪崩區,V(BR)DSS就是雪崩電壓,對於單次脈衝,加在MOSFET上的能量即為雪崩能量EAS:
EAS=LIAS2/2 (4)
同時,由於雪崩電壓是正溫度係數,當MOSFETneibudemouxiedanyuanwenduzengjia,qinaiyazhiyezengjia,yinci,naxiewendudidedanyuanzidongpingheng,liuguogengduodedianliuyitigaowenducongertigaoxuebengdianya。lingwai,celiangzhiyilaiyuxuebengdianya,erzaiquciqijian,xuebengdianyajiangsuiwendudezengjiaerbianhua。
在上述公式中,有一個問題,那就是如何確定IAS?當電感確定後,是由tp來確定的嗎?事實上,對於一個MOSFET器件,要首先確定IAS。如圖1所示的電路中,電感選定後,不斷地增加電流,直到將MOSFET完全損壞,然後將此時的電流值除以1.2或1.3,即降額70%或80%,所得到的電流值即為IAS。注意到IAS和L固定後,tp也是確定的。
過去,傳統的測量EAS的電路圖和波形如圖2所示。注意到,VDS最後的電壓沒有降到0,而是VDD,也就是有部分的能量沒有轉換到雪崩能量中。

在關斷區,圖2(b)對應的三角形麵積為能量,不考慮VDD,去磁電壓為VDS,實際的去磁電壓為VDS-VDD,因此雪崩能量為:

對於一些低壓的器件,VDS-VDD變得很小,引入的誤差會較大,因此限製了此測量電路的在低壓器件中的使用。
目前測量使用的電感,不同的公司有不同的標準,對於低壓的MOSFET,大多數公司開始趨向於用0.1mH的電感值。通常發現:ruguodianganzhiyueda,jinguanxuebengdedianliuzhihuijiangdi,danzuizhongceliangdexuebengnengliangzhihuizengjia,yuanyinzaiyudianganzengjia,dianliushangshengdesudubianman,zheyangxinpianjiuyougengduodeshijiansanre,yincizuihouceliangdexuebengnengliangzhihuizengjia。zheqizhongcunzaidongtairezuhererongdewenti,yihouzailunshuzhegewenti。
雪崩的損壞方式
圖3顯示了UIS工作條件下,器件雪崩損壞以及器件沒有損壞的狀態。

[page]
事實上,器件在UIS工作條件下的雪崩損壞有兩種模式:熱損壞和寄生三極管導通損壞。熱損壞就是功率MOSFET在功率脈衝的作用下,由於功耗增加導致結溫升高,結溫升高到矽片特性允許的臨界值,失效將發生。
寄生三極管導通損壞:在MOSFET內部,有一個寄生的三極管(見圖4),通常三級管的擊穿電壓通常低於MOSFET的電壓。當DS的反向電流開始流過P區後,Rp和Rc產生壓降,Rp和Rc的壓降等於三極管BJT的VBEon。由於局部單元的不一致,那些弱的單元,由於基級電流IB增加和三級管的放大作用促使局部的三極管BJT導通,從而導致失控發生。此時,柵極的電壓不再能夠關斷MOSFET。

在圖4中,Rp為源極下體內收縮區的電阻,Rc為接觸電阻,Rp和Rc隨溫度增加而增加,射極和基極的開啟電壓VBE隨溫度的增加而降低。因此,UIS的能力隨度的增加而降低。

在什麼的應用條件下要考慮雪崩能量
從上麵的分析就可以知道,對於那些在MOSFET的D和S極產生較大電壓的尖峰應用,就要考慮器件的雪崩能量,電壓的尖峰所集中的能量主要由電感和電流所決定,因此對於反激的應用,MOSFET關(guan)斷(duan)時(shi)會(hui)產(chan)生(sheng)較(jiao)大(da)的(de)電(dian)壓(ya)尖(jian)峰(feng)。通(tong)常(chang)的(de)情(qing)況(kuang)下(xia),功(gong)率(lv)器(qi)件(jian)都(dou)會(hui)降(jiang)額(e),從(cong)而(er)留(liu)有(you)足(zu)夠(gou)的(de)電(dian)壓(ya)餘(yu)量(liang)。但(dan)是(shi),一(yi)些(xie)電(dian)源(yuan)在(zai)輸(shu)出(chu)短(duan)路(lu)時(shi),初(chu)級(ji)中(zhong)會(hui)產(chan)生(sheng)較(jiao)大(da)的(de)電(dian)流(liu),加(jia)上(shang)初(chu)級(ji)電(dian)感(gan),器(qi)件(jian)就(jiu)會(hui)有(you)雪(xue)崩(beng)損(sun)壞(huai)的(de)可(ke)能(neng),因(yin)此(ci)在(zai)這(zhe)樣(yang)的(de)應(ying)用(yong)條(tiao)件(jian)下(xia),就(jiu)要(yao)考(kao)慮(lv)器(qi)件(jian)的(de)雪(xue)崩(beng)能(neng)量(liang)。
另外,由於一些電機的負載是感性負載,而啟動和堵轉過程中會產生極大的衝擊電流,因此也要考慮器件的雪崩能量。
- 噪聲中提取真值!瑞盟科技推出MSA2240電流檢測芯片賦能多元高端測量場景
- 10MHz高頻運行!氮矽科技發布集成驅動GaN芯片,助力電源能效再攀新高
- 失真度僅0.002%!力芯微推出超低內阻、超低失真4PST模擬開關
- 一“芯”雙電!聖邦微電子發布雙輸出電源芯片,簡化AFE與音頻設計
- 一機適配萬端:金升陽推出1200W可編程電源,賦能高端裝備製造
- 邊緣AI的發展為更智能、更可持續的技術鋪平道路
- 每台智能體PC,都是AI時代的新入口
- IAR作為Qt Group獨立BU攜兩項重磅汽車電子應用開發方案首秀北京車展
- 構建具有網絡彈性的嵌入式係統:來自行業領袖的洞見
- 數字化的線性穩壓器
- 車規與基於V2X的車輛協同主動避撞技術展望
- 數字隔離助力新能源汽車安全隔離的新挑戰
- 汽車模塊拋負載的解決方案
- 車用連接器的安全創新應用
- Melexis Actuators Business Unit
- Position / Current Sensors - Triaxis Hall



