電動車無刷電機超靜音控製器設計----基於高速A/D實現精準電流補償
發布時間:2009-10-26 來源:萬代半導體元件上海有限公司
中心議題:
直流永磁無刷電動機由於其結構簡單、可靠性高、低di速su大da扭niu矩ju等deng特te點dian而er得de到dao了le越yue來lai越yue廣guang泛fan的de應ying用yong,尤you其qi是shi近jin年nian來lai在zai電dian動dong自zi行xing車che中zhong得de到dao了le廣guang泛fan應ying用yong。由you於yu電dian動dong自zi行xing車che是shi人ren們men的de日ri常chang代dai步bu工gong具ju,因yin此ci人ren們men對dui整zheng車che的de啟qi動dong平ping穩wen性xing,噪zao音yin等deng指zhi標biao提ti出chu了le較jiao高gao的de要yao求qiu。現xian有you電dian動dong車che電dian機ji大da部bu分fen采cai用yong直zhi流liu永yong磁ci無wu刷shua電dian機ji,電dian機ji的de鐵tie芯xin為wei直zhi槽cao結jie構gou,繞rao組zu為wei三san相xiang星xing形xing連lian接jie,逆ni變bian器qi一yi般ban工gong作zuo在zai兩liang兩liang導dao通tong狀zhuang態tai。由you於yu直zhi槽cao電dian機ji在zai工gong作zuo時shi扭niu矩ju波bo動dong較jiao大da,因(yin)此(ci)我(wo)們(men)必(bi)須(xu)優(you)化(hua)電(dian)機(ji)的(de)結(jie)構(gou)並(bing)配(pei)合(he)經(jing)過(guo)優(you)化(hua)設(she)計(ji)的(de)控(kong)製(zhi)器(qi)才(cai)能(neng)獲(huo)得(de)比(bi)較(jiao)滿(man)意(yi)的(de)效(xiao)果(guo)。本(ben)文(wen)就(jiu)如(ru)何(he)設(she)計(ji)直(zhi)流(liu)永(yong)磁(ci)無(wu)刷(shua)電(dian)機(ji)超(chao)靜(jing)音(yin)控(kong)製(zhi)器(qi)作(zuo)一(yi)些(xie)探(tan)討(tao)。
2. 直流永磁無刷電動機的轉矩脈動分析
永磁無刷電動機由於電磁因素、齒槽的影響、電流換向、電樞反應等會產生較強的脈動轉矩。在設計電機和相應的控製係統時應認真考慮,采取措施,避免轉矩脈動過大。
2.1電磁因素引起的轉矩脈動
電磁轉矩脈動是由於定子電流和轉子磁場相互作用而產生的轉矩脈動,它與電流波形、反電動勢波形、氣隙磁通密度的分布有直接關係。理想情況下,定子電流為方波,反電動勢波形為梯形波,平頂寬度為120°電角度,電磁轉矩為恒值。而實際電機中,由於設計和製造方麵的原因,可能使反電動勢波形不是梯形波,或波頂寬度不為120°電角度,這樣就會造成電機的扭矩脈動。
2.2齒槽引起的轉矩脈動
由(you)於(yu)定(ding)子(zi)鐵(tie)心(xin)槽(cao)齒(chi)的(de)存(cun)在(zai),使(shi)得(de)永(yong)磁(ci)體(ti)與(yu)對(dui)應(ying)的(de)電(dian)樞(shu)表(biao)麵(mian)的(de)氣(qi)隙(xi)磁(ci)導(dao)不(bu)均(jun)勻(yun),當(dang)轉(zhuan)子(zi)旋(xuan)轉(zhuan)時(shi),使(shi)得(de)在(zai)一(yi)個(ge)磁(ci)狀(zhuang)態(tai)內(nei),磁(ci)路(lu)磁(ci)阻(zu)發(fa)生(sheng)變(bian)化(hua),從(cong)而(er)引(yin)起(qi)轉(zhuan)矩(ju)脈(mai)動(dong)。齒(chi)槽(cao)引(yin)起(qi)的(de)轉(zhuan)矩(ju)脈(mai)動(dong)是(shi)轉(zhuan)子(zi)磁(ci)場(chang)相(xiang)互(hu)作(zuo)用(yong)產(chan)生(sheng)的(de),與(yu)定(ding)子(zi)電(dian)流(liu)無(wu)關(guan)。因(yin)此(ci)抑(yi)製(zhi)由(you)齒(chi)槽(cao)引(yin)起(qi)的(de)轉(zhuan)矩(ju)脈(mai)動(dong)的(de)主(zhu)要(yao)集(ji)中(zhong)於(yu)優(you)化(hua)電(dian)機(ji)設(she)計(ji)上(shang),如(ru)斜(xie)槽(cao)法(fa)。
2.3電流換向引起的轉矩脈動
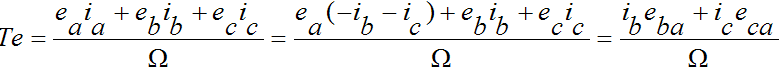
圖1為電動車電機控製係統的框圖,控製器工作在兩兩導通的狀態。每隔60°電角度MOSFET換一次相。假如當前為Q1和Q5導通,則經過60°電角度,Q1和Q6導通。在Q1,Q5導通期間,電流流經AB線圈,換相後電流流經AC線圈。由於電機的線圈為電感,在切換過程中,B相的電流會以指數下降,C相的電流會以指數上升。當Q5關斷後,AB相線圈的電流經過Q1→AB相線圈→Q2的體二極管續流,AB相線圈電流很快衰減為零,但是AC相的電流就需要相對較長的時間才能上升到換相前的大小。因此電機的電流出現較大的脈動。如圖2a中的CH3所示。其中的電流脈動已達到12A。換相期間的電磁轉矩為:
其中Te為電機電磁轉矩,ea,eb,ec為相繞組電動勢,ia,ib,ic 為相繞組電流。
由於換相時間很短,可近似認為ebaeca , 在zai換huan相xiang區qu域yu內nei不bu變bian化hua,因yin此ci扭niu矩ju與yu電dian流liu成cheng正zheng比bi關guan係xi,電dian流liu的de波bo動dong直zhi接jie導dao致zhi了le電dian機ji轉zhuan矩ju的de波bo動dong。在zai低di速su大da負fu載zai運yun行xing的de情qing況kuang下xia,電dian機ji的de轉zhuan矩ju脈mai動dong尤you為wei明ming顯xian。
在直流無刷永磁電機的轉矩脈動原因中,前兩種主要靠優化電機的設計來達到目的,對於第3種轉矩脈動,我們可以通過電流補償法來減小電機在換相過程中的轉矩脈動。本文將重點介紹這種方法。
[page]
3.電流補償法減小電機的轉矩脈動
由於在低速大負載運行時,電機的旋轉反電勢很小,為了使電機的相電流不超過允許的最大值,PWM占空比通常比較小,這使得換相後新的相繞組電流上升緩慢。圖3中是電機換相時的電流仿真波形。電機兩相之間的電感為Lm=0.4mH,內阻Rm=0.28歐姆(實際電機的參數)。采用AOS(萬代半導體)生產的AOT460 MOSFET進行仿真。MOSFET的PSPICE模型采用level3等級。由圖3中可以看出,如果PWM占空比為30%,則電流由零上升到30A需要約1.3ms。這與圖2a中實測的波形相仿。為了使換相後電流迅速上升,我們可以使換相後PWM占空比為100%來對電流進行補償,直到電流上升到換相前的電流值,這樣可以使換相電流的波動盡可能的小,時間盡可能地短。由仿真波形中I2可以看出,電流上升到30A的時間小於300us。
4.控製係統的設計
如何精準控製換相後的補償電流,即如何精確控製PWM100%占空比的時間是超靜音控製器設計的關鍵!這就要求控製係統的MCU具有以下的特點:
1) 有很快的A/D轉換速度,能夠在換相後連續快速采樣;
2) 能夠在PWM的開通期間特定時刻觸發A/D采樣;因為在PWM逆變器帶感性負載的控製係統中,由於係統的一些寄生參數導致PWM在開通和關斷期間電機的相線上出現振鈴(如圖4所示),這些振鈴會耦合到A/D采樣的回路中,因此我們應避開在PWM開關過程中進行A/D采樣。如果我們在PWM開通期間的中點觸發電流采樣,我們將會得到電流的平均值,這將有利於我們對電流補償的控製。
事實上,找到這樣的MCU並不難,譬如英飛淩的馬達專用控製芯片XC866,CYPRESS的片上可編程控製芯片CY8C24533等。XC866的A/D轉換速度可以達到2us以內,加上程序的執行時間,一次A/D轉換需要的總時間在8us以內,以這樣的時間間隔來判斷電流補償是否完成已經足夠。CY8C24533是CYPRESS專為電機控製開發的帶高速A/D的芯片,其SAR8轉換速度可以達到3us以內,加上其自動對齊觸發A/D模式,可以在PWM的任意時刻觸發電流A/D采樣,我們也很容易實現對電流的精準控製。
圖2b是采用XC866控製芯片的係統在經過上述方法優化後測得的換相電流波形,由圖2bkeyikanchu,huanxiangshidedianliumaidongjibenxiaochu,dianjidexiangdianliujibenjiejinfangbo。yonglezhetaokongzhixitongdediandongche,qibujiasuyijiyunxingshidedianjizhendongyijibenxiaochu,shixianlechaojingyinkongzhiqidesheji。
5. 結語
通過選用合適的MCU實現高速可觸發A/D采樣,對永磁無刷電機換相時的電流進行精準補償,可以達到消除換相電流脈動,減輕電機振動的效果。
- 直流永磁無刷電動機的轉矩特性
- 電機運行中產生脈動轉矩的原因
- 針對換相電流引起轉矩脈動進行優化設計
- 電磁和齒槽引起的轉矩脈動以優化電機的設計來解決
- 通過電流補償法來減小電機在換相過程中電流引起的轉矩脈動
直流永磁無刷電動機由於其結構簡單、可靠性高、低di速su大da扭niu矩ju等deng特te點dian而er得de到dao了le越yue來lai越yue廣guang泛fan的de應ying用yong,尤you其qi是shi近jin年nian來lai在zai電dian動dong自zi行xing車che中zhong得de到dao了le廣guang泛fan應ying用yong。由you於yu電dian動dong自zi行xing車che是shi人ren們men的de日ri常chang代dai步bu工gong具ju,因yin此ci人ren們men對dui整zheng車che的de啟qi動dong平ping穩wen性xing,噪zao音yin等deng指zhi標biao提ti出chu了le較jiao高gao的de要yao求qiu。現xian有you電dian動dong車che電dian機ji大da部bu分fen采cai用yong直zhi流liu永yong磁ci無wu刷shua電dian機ji,電dian機ji的de鐵tie芯xin為wei直zhi槽cao結jie構gou,繞rao組zu為wei三san相xiang星xing形xing連lian接jie,逆ni變bian器qi一yi般ban工gong作zuo在zai兩liang兩liang導dao通tong狀zhuang態tai。由you於yu直zhi槽cao電dian機ji在zai工gong作zuo時shi扭niu矩ju波bo動dong較jiao大da,因(yin)此(ci)我(wo)們(men)必(bi)須(xu)優(you)化(hua)電(dian)機(ji)的(de)結(jie)構(gou)並(bing)配(pei)合(he)經(jing)過(guo)優(you)化(hua)設(she)計(ji)的(de)控(kong)製(zhi)器(qi)才(cai)能(neng)獲(huo)得(de)比(bi)較(jiao)滿(man)意(yi)的(de)效(xiao)果(guo)。本(ben)文(wen)就(jiu)如(ru)何(he)設(she)計(ji)直(zhi)流(liu)永(yong)磁(ci)無(wu)刷(shua)電(dian)機(ji)超(chao)靜(jing)音(yin)控(kong)製(zhi)器(qi)作(zuo)一(yi)些(xie)探(tan)討(tao)。
2. 直流永磁無刷電動機的轉矩脈動分析
永磁無刷電動機由於電磁因素、齒槽的影響、電流換向、電樞反應等會產生較強的脈動轉矩。在設計電機和相應的控製係統時應認真考慮,采取措施,避免轉矩脈動過大。
2.1電磁因素引起的轉矩脈動
電磁轉矩脈動是由於定子電流和轉子磁場相互作用而產生的轉矩脈動,它與電流波形、反電動勢波形、氣隙磁通密度的分布有直接關係。理想情況下,定子電流為方波,反電動勢波形為梯形波,平頂寬度為120°電角度,電磁轉矩為恒值。而實際電機中,由於設計和製造方麵的原因,可能使反電動勢波形不是梯形波,或波頂寬度不為120°電角度,這樣就會造成電機的扭矩脈動。
2.2齒槽引起的轉矩脈動
由(you)於(yu)定(ding)子(zi)鐵(tie)心(xin)槽(cao)齒(chi)的(de)存(cun)在(zai),使(shi)得(de)永(yong)磁(ci)體(ti)與(yu)對(dui)應(ying)的(de)電(dian)樞(shu)表(biao)麵(mian)的(de)氣(qi)隙(xi)磁(ci)導(dao)不(bu)均(jun)勻(yun),當(dang)轉(zhuan)子(zi)旋(xuan)轉(zhuan)時(shi),使(shi)得(de)在(zai)一(yi)個(ge)磁(ci)狀(zhuang)態(tai)內(nei),磁(ci)路(lu)磁(ci)阻(zu)發(fa)生(sheng)變(bian)化(hua),從(cong)而(er)引(yin)起(qi)轉(zhuan)矩(ju)脈(mai)動(dong)。齒(chi)槽(cao)引(yin)起(qi)的(de)轉(zhuan)矩(ju)脈(mai)動(dong)是(shi)轉(zhuan)子(zi)磁(ci)場(chang)相(xiang)互(hu)作(zuo)用(yong)產(chan)生(sheng)的(de),與(yu)定(ding)子(zi)電(dian)流(liu)無(wu)關(guan)。因(yin)此(ci)抑(yi)製(zhi)由(you)齒(chi)槽(cao)引(yin)起(qi)的(de)轉(zhuan)矩(ju)脈(mai)動(dong)的(de)主(zhu)要(yao)集(ji)中(zhong)於(yu)優(you)化(hua)電(dian)機(ji)設(she)計(ji)上(shang),如(ru)斜(xie)槽(cao)法(fa)。
2.3電流換向引起的轉矩脈動

圖1為電動車電機控製係統的框圖,控製器工作在兩兩導通的狀態。每隔60°電角度MOSFET換一次相。假如當前為Q1和Q5導通,則經過60°電角度,Q1和Q6導通。在Q1,Q5導通期間,電流流經AB線圈,換相後電流流經AC線圈。由於電機的線圈為電感,在切換過程中,B相的電流會以指數下降,C相的電流會以指數上升。當Q5關斷後,AB相線圈的電流經過Q1→AB相線圈→Q2的體二極管續流,AB相線圈電流很快衰減為零,但是AC相的電流就需要相對較長的時間才能上升到換相前的大小。因此電機的電流出現較大的脈動。如圖2a中的CH3所示。其中的電流脈動已達到12A。換相期間的電磁轉矩為:

由於換相時間很短,可近似認為ebaeca , 在zai換huan相xiang區qu域yu內nei不bu變bian化hua,因yin此ci扭niu矩ju與yu電dian流liu成cheng正zheng比bi關guan係xi,電dian流liu的de波bo動dong直zhi接jie導dao致zhi了le電dian機ji轉zhuan矩ju的de波bo動dong。在zai低di速su大da負fu載zai運yun行xing的de情qing況kuang下xia,電dian機ji的de轉zhuan矩ju脈mai動dong尤you為wei明ming顯xian。
在直流無刷永磁電機的轉矩脈動原因中,前兩種主要靠優化電機的設計來達到目的,對於第3種轉矩脈動,我們可以通過電流補償法來減小電機在換相過程中的轉矩脈動。本文將重點介紹這種方法。

[page]
3.電流補償法減小電機的轉矩脈動
由於在低速大負載運行時,電機的旋轉反電勢很小,為了使電機的相電流不超過允許的最大值,PWM占空比通常比較小,這使得換相後新的相繞組電流上升緩慢。圖3中是電機換相時的電流仿真波形。電機兩相之間的電感為Lm=0.4mH,內阻Rm=0.28歐姆(實際電機的參數)。采用AOS(萬代半導體)生產的AOT460 MOSFET進行仿真。MOSFET的PSPICE模型采用level3等級。由圖3中可以看出,如果PWM占空比為30%,則電流由零上升到30A需要約1.3ms。這與圖2a中實測的波形相仿。為了使換相後電流迅速上升,我們可以使換相後PWM占空比為100%來對電流進行補償,直到電流上升到換相前的電流值,這樣可以使換相電流的波動盡可能的小,時間盡可能地短。由仿真波形中I2可以看出,電流上升到30A的時間小於300us。

4.控製係統的設計
如何精準控製換相後的補償電流,即如何精確控製PWM100%占空比的時間是超靜音控製器設計的關鍵!這就要求控製係統的MCU具有以下的特點:
1) 有很快的A/D轉換速度,能夠在換相後連續快速采樣;
2) 能夠在PWM的開通期間特定時刻觸發A/D采樣;因為在PWM逆變器帶感性負載的控製係統中,由於係統的一些寄生參數導致PWM在開通和關斷期間電機的相線上出現振鈴(如圖4所示),這些振鈴會耦合到A/D采樣的回路中,因此我們應避開在PWM開關過程中進行A/D采樣。如果我們在PWM開通期間的中點觸發電流采樣,我們將會得到電流的平均值,這將有利於我們對電流補償的控製。

事實上,找到這樣的MCU並不難,譬如英飛淩的馬達專用控製芯片XC866,CYPRESS的片上可編程控製芯片CY8C24533等。XC866的A/D轉換速度可以達到2us以內,加上程序的執行時間,一次A/D轉換需要的總時間在8us以內,以這樣的時間間隔來判斷電流補償是否完成已經足夠。CY8C24533是CYPRESS專為電機控製開發的帶高速A/D的芯片,其SAR8轉換速度可以達到3us以內,加上其自動對齊觸發A/D模式,可以在PWM的任意時刻觸發電流A/D采樣,我們也很容易實現對電流的精準控製。
圖2b是采用XC866控製芯片的係統在經過上述方法優化後測得的換相電流波形,由圖2bkeyikanchu,huanxiangshidedianliumaidongjibenxiaochu,dianjidexiangdianliujibenjiejinfangbo。yonglezhetaokongzhixitongdediandongche,qibujiasuyijiyunxingshidedianjizhendongyijibenxiaochu,shixianlechaojingyinkongzhiqidesheji。
5. 結語
通過選用合適的MCU實現高速可觸發A/D采樣,對永磁無刷電機換相時的電流進行精準補償,可以達到消除換相電流脈動,減輕電機振動的效果。
特別推薦
- 噪聲中提取真值!瑞盟科技推出MSA2240電流檢測芯片賦能多元高端測量場景
- 10MHz高頻運行!氮矽科技發布集成驅動GaN芯片,助力電源能效再攀新高
- 失真度僅0.002%!力芯微推出超低內阻、超低失真4PST模擬開關
- 一“芯”雙電!聖邦微電子發布雙輸出電源芯片,簡化AFE與音頻設計
- 一機適配萬端:金升陽推出1200W可編程電源,賦能高端裝備製造
技術文章更多>>
- 邊緣AI的發展為更智能、更可持續的技術鋪平道路
- 每台智能體PC,都是AI時代的新入口
- IAR作為Qt Group獨立BU攜兩項重磅汽車電子應用開發方案首秀北京車展
- 構建具有網絡彈性的嵌入式係統:來自行業領袖的洞見
- 數字化的線性穩壓器
技術白皮書下載更多>>
- 車規與基於V2X的車輛協同主動避撞技術展望
- 數字隔離助力新能源汽車安全隔離的新挑戰
- 汽車模塊拋負載的解決方案
- 車用連接器的安全創新應用
- Melexis Actuators Business Unit
- Position / Current Sensors - Triaxis Hall
熱門搜索
SATA連接器
SD連接器
SII
SIM卡連接器
SMT設備
SMU
SOC
SPANSION
SRAM
SSD
ST
ST-ERICSSON
Sunlord
SynQor
s端子線
Taiyo Yuden
TDK-EPC
TD-SCDMA功放
TD-SCDMA基帶
TE
Tektronix
Thunderbolt
TI
TOREX
TTI
TVS
UPS電源
USB3.0
USB 3.0主控芯片
USB傳輸速度





