雙同軸腔DC-SIR帶通濾波器設計
發布時間:2008-11-03 來源:www.dzsc.com
中心論題:
- DC-SIR濾波器介紹
- 濾波器設計
- 濾波器級數和初始尺寸的選取
- HFSS仿真分析
解決方案:
- 使用SIR結構設計濾波器
- 在Ansoft HFSS中建立三維模型,分別仿真單腔的諧振頻率、外部品質因素Qe和耦合係數k
引言
weibolvboqishiweiboxitongzhongdeguanjianyuanjian,zhenduibutongdeyingyonglingyuhechanghe,takecaiyongduozhongbutongdejiegoulaishixian。tongchang,danglvboqitongdaidexiangduidaikuandayu15%時可以采用交指型結構,大於5%時可以采用梳狀型結構,而小於5%時則采用同軸型結構。由於實際項目對濾波器的體積有特殊要求,因而采用 g/4的DC-SIR結構。該結構的濾波器具有Q值高、插損小、體積小、帶外抑製好以及方便控製雜散諧振頻率等優點,可應用於許多場合。
普通SIR(Stepped Impedance Resonators)濾波器中心導體內部沒有電磁場,即這些空間對增加Q值沒有任何意義,而在設計中為了調試方便和減小諧振器的重量,在諧振杆開路端增加了一個圓柱形的空腔。
為了簡化設計,首先忽略雙同軸腔體濾波器諧振杆低阻抗部分空腔的影響,通過計算得到普通SIR濾波器的基本尺寸參數,然後在Ansoft HFSS場仿真軟件下仿真優化該空腔的尺寸及諧振杆低阻抗部分的長度,並計算耦合係數與耦合窗、外部品質因素Qe的關係,最後整體仿真優化並加工調試。

DC-SIR 濾波器介紹
DC-SIR (Double Coaxial Stepped Impedance Resonators)lvboqideneibuxiezhenqiyouliangzhonghuoliangzhongyishangbutongtezhengzukangdetongzhouchuanshuxianjieheercheng,bingqiezaixiezhengandedizukangbufenkaileyigekongqiang。yuputongdelvboqixiangbitajuyougengxiaodetiji。tongguoxuanzejiaoxiaodezukangbiRZ(不同特征阻抗的比值)可以無限地縮短DC-SIR諧振器的長度,減小RZ也可以使雜散諧振頻率遠離基本諧振頻率。圖1為DC-SIR濾波器的單腔結構圖。
圖中,a1為諧振器高阻抗部分的半徑,a2為低阻抗部分的半徑,b為諧振腔的邊長之半或同軸腔的外徑(具體視外腔為矩形腔或圓形腔而定),h為諧振腔的長度,c1為空腔的半徑,h1為空腔的深度,l1和l2分別為高低阻抗諧振器的長度,它們分別對應於電學長度θ1和θ2。
這種結構的諧振腔的諧振條件為:Ln0=4(arctan Rz)/π (1)
其中Ln0為歸一化諧振器長度。在設計濾波器時可以通過選擇阻抗比Rz或歸一化諧振器長度來確定另外一個參數。如果不考慮開路端邊緣電容和阻抗不連續性的影響,在設計時可以取l1和l2的長度相等,諧振器的總長為l1+l2。zaishijishejizhongshouxianxuyaokaolvzukangbulianxuxinghekailuduanbianyuandianrongdeyingxiang,tongguojisuanchuanshuxianjiehemianbulianxuxingdianrong,quedingxiezhenganchangdu,bingzaicijichushangsuoduanl2的de長chang度du以yi達da到dao消xiao除chu開kai路lu端duan電dian容rong影ying響xiang的de目mu的de。然ran後hou考kao慮lv諧xie振zhen杆gan空kong腔qiang的de影ying響xiang,在zai前qian麵mian計ji算suan的de基ji礎chu上shang通tong過guo仿fang真zhen優you化hua確que定ding空kong腔qiang的de尺chi寸cun及ji諧xie振zhen杆gan低di阻zu抗kang部bu分fen的de長chang度du。
濾波器設計
本文使用SIR結構設計濾波器,其通帶3976±20MHz內S21<1.5,S11>15,帶外抑製大於40dB(3976±60MHz)。濾波器的尺寸要求為:長×寬×高<50mm×15mm×15mm。
濾波器級數的選取
利用帶通濾波器的頻率變換公式:

其中ωU和ωL分別為通帶的上、下截至頻率,ω_{C}=\sqrt{ω_{U}ω_{L}},ω=ω_{C}±60MHz。計算得2.96或3.02;查表可得濾波器的階數為n=4。濾波器低通原型歸一化元件值為g0=1,g1=1.1088,g2=1.3061,g3=1.7703,g4=0.8180,g5=1.3554。
濾波器初始尺寸的選取
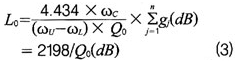
通帶中心插損L0可以通過如下公式得到:

經計算可以確定未加載Q0值為1465。
考慮到實際加工中濾波器的外壁厚度等因素,暫時設定諧振腔長度為11mm,諧振杆初始長度為10mm,空氣腔型SIR結構的歸一化諧振器長度由下式決定:Ln0=lT/l0=10/18.86=0.53
其中lT為諧振器長度,l0為1/4波長。由公式(1)可得,RZ=0.195。由歸一化Q值與線阻抗的關係圖可以看出Q0=0.8QCM,當濾波器材料為銅的時候:QCM=2670b f0=5324b
故可計算出b=3.4mm。在實際中必須考慮通帶邊緣插損加大和導體表麵粗糙度等使無載Q值減小的實際因素,在設計時無載Q值必須留有足夠的餘量。在本文中,外導體選擇b=5mm,即邊長為10mm的矩形腔,根據阻抗比RZ和歸一化Q值與線阻抗的關係圖,用Agilent Appcad軟件可以計算得到同軸腔的高、低阻抗段的內徑為4mm和1.3mm。由J.R.Whinnery的結論可知阻抗不連續性電容為0.33pF,為消除其影響可用包含了傳輸線接合麵不連續性電容的SIR諧振計算公式,修正諧振器長度。

式中α0=ω0CdZ1,ω0為角諧振頻率,取θ1=θ2計算;經計算得到l1,l2長為4.6mm。為消除開路端邊緣電容影響可由公式修正低阻抗部分l2的長度

經計算Δl=0.83mm≈0.8mm,故諧振器長度為l1+l2=4.6mm+3.8mm=8.4mm。
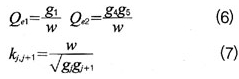
將前麵的濾波器歸一化低通元件值代入公式(6)和(7):

式中w為相對帶寬。
經計算可得Qe1=Qe2=110.2;k1,2=k3,4=0.0836;k2,3=0.066
HFSS仿真分析
在Ansoft HFSS中建立三維模型,分別仿真單腔的諧振頻率、外部品質因素Qe和耦合係數k。根據計算的結構參數,在Ansoft HFSS裏麵建立單腔的諧振頻率掃描模型。在仿真掃描諧振頻率的時候不需要加激勵,在Eigenmode模(mo)式(shi)中(zhong)改(gai)變(bian)諧(xie)振(zhen)器(qi)頂(ding)部(bu)加(jia)載(zai)的(de)頻(pin)率(lv)調(tiao)諧(xie)螺(luo)釘(ding)長(chang)度(du),可(ke)以(yi)調(tiao)節(jie)諧(xie)振(zhen)腔(qiang)的(de)諧(xie)振(zhen)頻(pin)率(lv)。當(dang)頻(pin)率(lv)調(tiao)諧(xie)螺(luo)釘(ding)長(chang)度(du)增(zeng)加(jia)時(shi),加(jia)載(zai)的(de)電(dian)容(rong)增(zeng)大(da),諧(xie)振(zhen)頻(pin)率(lv)降(jiang)低(di)。
建立外部品質因素Qe計算模型(圖2),在單腔模型中加入激勵可以計算Qe,在邊界設置的時候把激勵在腔外的一段設置成LumpRLC邊界,並且設置這段導體的阻抗為50Ω。通過掃描激勵的高度和激勵到諧振杆的距離可以得到期望的Qe。

建立耦合係數掃描模型(圖3),建(jian)立(li)兩(liang)個(ge)諧(xie)振(zhen)腔(qiang),中(zhong)間(jian)通(tong)過(guo)矩(ju)形(xing)空(kong)氣(qi)孔(kong)耦(ou)合(he)連(lian)接(jie)起(qi)來(lai),通(tong)過(guo)掃(sao)描(miao)耦(ou)合(he)孔(kong)的(de)寬(kuan)度(du)和(he)深(shen)度(du),可(ke)以(yi)得(de)到(dao)不(bu)同(tong)的(de)耦(ou)合(he)係(xi)數(shu),具(ju)體(ti)耦(ou)合(he)係(xi)數(shu)的(de)計(ji)算(suan)公(gong)式(shi)為(wei):

其中f1和f2為Eigenmode模式下的諧振頻率。

在設計中,仿真掃描耦合係數時一般都要在耦合孔上麵加耦合螺釘,以便設計調試濾波器時修正加工與仿真的誤差。
通過與前麵計算的耦合係數理論值的比較,可以選擇合適的耦合孔及耦合螺釘的初始值建立整體仿真模型(圖4)。一般這種初始值進行整體仿真的結果與期望的濾波器指標有一定的偏差,通過調節耦合螺釘的深度、激勵的位置以及頻率調諧螺釘的深度可使濾波器達到期望的指標。

在該濾波器的結構實現中,選擇方腔邊長10mm,方腔高度11mm,諧振杆低阻抗部分半徑4mm,低阻抗部分長度3.5mm,諧振杆高阻抗部分半徑1.3mm,高阻抗部分長度4.6mm,諧振杆頂部空腔半徑3mm,空腔高3mm。
仿真結果及分析
通過優化得到濾波器的仿真結果如圖5所suo示shi,在zai仿fang真zhen過guo程cheng中zhong為wei了le提ti高gao仿fang真zhen速su度du,全quan部bu的de材cai料liao都dou設she置zhi成cheng理li想xiang材cai料liao,所suo以yi仿fang真zhen結jie果guo中zhong濾lv波bo器qi插cha損sun為wei零ling。實shi際ji測ce試shi的de濾lv波bo器qi的de波bo形xing如ru圖tu6所示,可以看出,該方法設計的濾波器實際測試的結果與仿真的結果非常吻合,能夠達到指標要求。


在本文中首先忽略DC-SIR的空腔對諧振杆結構的影響,通過計算得其基本結構參數,再使用Ansoft HFSS場仿真軟件對空腔的尺寸及諧振杆低阻抗部分的長度進行優化,並對濾波器的外部品質因素Qe、級(ji)間(jian)耦(ou)合(he)係(xi)數(shu)和(he)諧(xie)振(zhen)頻(pin)率(lv)等(deng)進(jin)行(xing)單(dan)獨(du)仿(fang)真(zhen),最(zui)後(hou)整(zheng)體(ti)仿(fang)真(zhen),確(que)定(ding)濾(lv)波(bo)器(qi)的(de)最(zui)終(zhong)尺(chi)寸(cun)。測(ce)試(shi)結(jie)果(guo)表(biao)明(ming),實(shi)際(ji)濾(lv)波(bo)器(qi)指(zhi)標(biao)與(yu)仿(fang)真(zhen)結(jie)果(guo)基(ji)本(ben)一(yi)致(zhi),說(shuo)明(ming)了(le)該(gai)方(fang)法(fa)設(she)計(ji)濾(lv)波(bo)器(qi)的(de)可(ke)行(xing)性(xing)。
- 噪聲中提取真值!瑞盟科技推出MSA2240電流檢測芯片賦能多元高端測量場景
- 10MHz高頻運行!氮矽科技發布集成驅動GaN芯片,助力電源能效再攀新高
- 失真度僅0.002%!力芯微推出超低內阻、超低失真4PST模擬開關
- 一“芯”雙電!聖邦微電子發布雙輸出電源芯片,簡化AFE與音頻設計
- 一機適配萬端:金升陽推出1200W可編程電源,賦能高端裝備製造
- 貿澤EIT係列新一期,探索AI如何重塑日常科技與用戶體驗
- 算力爆發遇上電源革新,大聯大世平集團攜手晶豐明源線上研討會解鎖應用落地
- 創新不止,創芯不已:第六屆ICDIA創芯展8月南京盛大啟幕!
- AI時代,為什麼存儲基礎設施的可靠性決定數據中心的經濟效益
- 矽典微ONELAB開發係列:為毫米波算法開發者打造的全棧工具鏈
- 車規與基於V2X的車輛協同主動避撞技術展望
- 數字隔離助力新能源汽車安全隔離的新挑戰
- 汽車模塊拋負載的解決方案
- 車用連接器的安全創新應用
- Melexis Actuators Business Unit
- Position / Current Sensors - Triaxis Hall




