基於電機控製的高效家電設計實現
發布時間:2014-09-15 責任編輯:stone
【導讀】事實上,采用最新的集成運轉控製平台,設計者甚至能夠為自己的設計選擇較小和較低成本的電機,而不會犧牲最終的性能。
洗(xi)衣(yi)機(ji)和(he)冰(bing)箱(xiang)等(deng)家(jia)電(dian)製(zhi)造(zao)商(shang)都(dou)麵(mian)臨(lin)著(zhe)提(ti)高(gao)產(chan)品(pin)性(xing)能(neng)與(yu)功(gong)能(neng)的(de)壓(ya)力(li),同(tong)時(shi)還(hai)要(yao)降(jiang)低(di)整(zheng)體(ti)能(neng)耗(hao)。設(she)計(ji)者(zhe)要(yao)滿(man)足(zu)這(zhe)些(xie)似(si)乎(hu)相(xiang)互(hu)矛(mao)盾(dun)的(de)目(mu)標(biao),同(tong)時(shi)不(bu)會(hui)招(zhao)致(zhi)明(ming)顯(xian)的(de)成(cheng)本(ben)損(sun)失(shi),關(guan)鍵(jian)是(shi)使(shi)用(yong)針(zhen)對(dui)控(kong)製(zhi)家(jia)電(dian)中(zhong)中(zhong)等(deng)規(gui)模(mo)電(dian)機(ji)的(de)新(xin)技(ji)術(shu)。事(shi)實(shi)上(shang),采(cai)用(yong)最(zui)新(xin)的(de)集(ji)成(cheng)運(yun)轉(zhuan)控(kong)製(zhi)平(ping)台(tai),設(she)計(ji)者(zhe)甚(shen)至(zhi)能(neng)夠(gou)為(wei)自(zi)己(ji)的(de)設(she)計(ji)選(xuan)擇(ze)較(jiao)小(xiao)和(he)較(jiao)低(di)成(cheng)本(ben)的(de)電(dian)機(ji),而(er)不(bu)會(hui)犧(xi)牲(sheng)最(zui)終(zhong)的(de)性(xing)能(neng)。

圖1PM交流電機麵向現場無傳感器控製
家電電機控製
jiaoliuganyingdianjishiduoshujiadianyingyongzhongdianjideshouxuanmubiao。zhezhuyaoshiyouyutamenkeyizhijieyongjiaoliudianyunxing,erwuxuzengjiakongzhidianluhuozitaifankuichuanganqi。liru,bingxiangzhongdechuantongjiadiankongzhiqishiyigejiandandianlu,tadingqizhixingyasuojidekaijihetingji,yibaochimubiaoquyudewendu。
當係統開始運行時,壓縮機就連續運轉。一旦溫度到達了目標區,壓縮機便以低占空比運轉。當係統以低的開/關占空比運轉時,壓縮機在大部分時間裏都偏離最高效的工作點。改變壓縮機的轉速來匹配製冷負荷,可以減少 40% 的能耗,因為製冷係統能夠以更高占空比運行。
采用三相PM(永磁)電機,並將電機控製在變速運行狀態,就能進一步改進家電的效率。這類電機效率通常可高達 90%,與之相比,傳統的單相感應電機的效率為 70%。同時,這類電機還可以簡化速度控製和轉矩控製。
另(ling)外(wai),由(you)於(yu)有(you)更(geng)高(gao)的(de)效(xiao)率(lv),就(jiu)可(ke)以(yi)采(cai)用(yong)較(jiao)小(xiao)的(de)電(dian)機(ji),因(yin)此(ci)降(jiang)低(di)了(le)單(dan)位(wei)成(cheng)本(ben),更(geng)容(rong)易(yi)做(zuo)機(ji)械(xie)設(she)計(ji)。顯(xian)然(ran),從(cong)這(zhe)些(xie)電(dian)機(ji)獲(huo)取(qu)最(zui)大(da)利(li)益(yi)的(de)關(guan)鍵(jian)就(jiu)有(you)賴(lai)於(yu)驅(qu)動(dong)方(fang)法(fa)的(de)選(xuan)擇(ze)。要(yao)準(zhun)確(que)而(er)高(gao)效(xiao)地(di)驅(qu)動(dong)冰(bing)箱(xiang)或(huo)洗(xi)衣(yi)機(ji)等(deng)家(jia)電(dian)中(zhong)的(de)變(bian)速(su)電(dian)機(ji),重(zhong)要(yao)的(de)是(shi)能(neng)夠(gou)獲(huo)得(de)轉(zhuan)子(zi)姿(zi)態(tai)的(de)信(xin)息(xi)。最(zui)顯(xian)而(er)易(yi)見(jian)的(de)方(fang)式(shi)是(shi)采(cai)用(yong)附(fu)加(jia)的(de)檢(jian)測(ce)元(yuan)件(jian)。但(dan)是(shi),這(zhe)會(hui)同(tong)時(shi)影(ying)響(xiang)可(ke)靠(kao)性(xing)和(he)成(cheng)本(ben),實(shi)際(ji)上(shang)是(shi)不(bu)現(xian)實(shi)的(de)方(fang)法(fa)。因(yin)此(ci),設(she)計(ji)者(zhe)正(zheng)在(zai)尋(xun)找(zhao)無(wu)傳(chuan)感(gan)器(qi)技(ji)術(shu)。
無傳感器的變速電機控製
由於電機控製技術的進步,現在無需姿態傳感器也能實現高效率的三相PM電機交流傳動。圖1是這類係統的一個實例。圖中,右側是三相電源逆變器,它控製著從直流電源進入PM電機繞組的電流,同時空間矢量PWM單(dan)元(yuan)是(shi)功(gong)率(lv)晶(jing)體(ti)管(guan)計(ji)算(suan)時(shi)序(xu)信(xin)號(hao),然(ran)後(hou)由(you)功(gong)率(lv)晶(jing)體(ti)管(guan)為(wei)電(dian)機(ji)提(ti)供(gong)三(san)相(xiang)正(zheng)弦(xian)波(bo)電(dian)壓(ya)。低(di)電(dian)壓(ya)控(kong)製(zhi)信(xin)號(hao)與(yu)連(lian)接(jie)到(dao)高(gao)電(dian)壓(ya)直(zhi)流(liu)總(zong)線(xian)功(gong)率(lv)開(kai)關(guan)之(zhi)間(jian)的(de)接(jie)口(kou)是(shi)一(yi)個(ge) HVIC(高壓柵極驅動 IC)。
這些 IC 比分立的柵極驅動電路或普通光電耦合、脈衝變壓器方案更強健和精致。最新的 HVIC 技術采用先進的混合信號半導體工藝,結合了低電壓輸入能力與高電壓驅動輸出和大量板載功能。

圖2MCE與同時集成的8051微控製器芯片上帶有A/D
如圖 1 所示,控製電路的關鍵是需要實現一個磁場定向控製(FOC)算法。這種算法通常用於工業傳動係統中,它計算提供所需速度和轉矩的電機電壓與電流,有最高的電機效率。
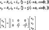
FOC 采用向量變換,將交流電機繞組的電流分解成兩個用於驅動電機磁鏈和轉矩的“準直流”(quasi DC)電流分量。這種變換包括作為轉子磁鏈角函數的一個向量旋轉(e-jq),以取得與轉子磁鏈相配合的一個電流分量(ID);還有一個產生電機轉矩的正交分量(IQ)。
電流反饋控製回路計算出兩個“準直流”的電壓分量VD和VQ,用於保持目標轉矩和磁鏈。第二個向量旋轉為脈衝寬度調製器計算出交流電壓基準。FOC算法的優勢在於,電機轉矩是IQ基準的一個線性函數,它產生一個簡單的線性速度控製規則。在PM電機情況下,控製器將磁鏈電流分量(ID)保持為零,從而實現運動係統效率的最大化。
采用這種算法的一個主要優點是,控製器能夠通過測量逆變器直流鏈接(隻用一個直流鏈接分流器為電機提供電流)中的電流,計算出轉子的位置。
估計轉子位置
使shi用yong轉zhuan子zi角jiao評ping估gu器qi電dian路lu,通tong過guo下xia麵mian的de電dian機ji繞rao組zu電dian路lu方fang程cheng,支zhi持chi無wu傳chuan感gan器qi的de轉zhuan子zi姿zi態tai反fan饋kui。三san相xiang至zhi兩liang相xiang的de變bian換huan簡jian化hua了le計ji算suan,並bing得de到dao兩liang個ge關guan係xi,分fen別bie是shi轉zhuan子zi磁ci鏈lian角jiao的de正zheng弦xian函han數shu和he餘yu弦xian函han數shu。

解(jie)出(chu)這(zhe)些(xie)方(fang)程(cheng)即(ji)得(de)到(dao)電(dian)機(ji)電(dian)流(liu)與(yu)電(dian)壓(ya)的(de)正(zheng)弦(xian)函(han)數(shu)和(he)餘(yu)弦(xian)函(han)數(shu)。反(fan)正(zheng)切(qie)計(ji)算(suan)可(ke)以(yi)確(que)定(ding)轉(zhuan)子(zi)角(jiao),但(dan)基(ji)於(yu)以(yi)下(xia)誤(wu)差(cha)函(han)數(shu)的(de)鎖(suo)相(xiang)環(huan)方(fang)法(fa)更(geng)為(wei)強(qiang)大(da),它(ta)能(neng)產(chan)生(sheng)一(yi)個(ge)副(fu)產(chan)品(pin),即(ji)過(guo)濾(lv)的(de)速(su)度(du)測(ce)量(liang)法(fa)。
kongzhiqitongguoduizhiliulianbingliandianzushangdecaiyangdianliuyijigonglvnibianqikaiguandeshixuzuotongbu,zhongjiandianjidexiangdianliu。ruqiansuoshu,shangshufangfadeyigexianzhuyoudianshidianjifankuixinhaoquzidangezhiliubingliandianzu,yinciwuxushiyongzitaichuanganqihuogelishidianliuchuanganqi。yushijiuhuodeleduijiadianPM交流電機具有成本效益的控製方法,大大提高了效率和性能。
實現無傳感器控製
雖然上述方法為電機控製提供了一種可靠、準確的方法,但它們也給設計工程師帶來了一個重大挑戰,尤其是在建立軟件編碼時。基於這個原因,國際整流器公司開發了iMOTION平台概念,它包含針對各種應用領域的集成電機控製係統,如家電。
iMOTION平台概念的核心是專用的運轉控製IC。這些 IC在單隻芯片內包含了兩個計算引擎,如圖 2 所示。第一個是運轉控製引擎(MCE),它包含了PM電機無傳感器控製所需的全部代碼;第二個是一隻8位高速微控製器。MCE包bao括kuo一yi係xi列lie硬ying件jian實shi現xian的de控kong製zhi元yuan件jian,設she計ji者zhe可ke以yi作zuo適shi當dang配pei置zhi,建jian立li針zhen對dui特te定ding應ying用yong的de運yun轉zhuan控kong製zhi算suan法fa。配pei置zhi工gong作zuo通tong過guo一yi個ge簡jian單dan易yi用yong的de圖tu形xing化hua編bian譯yi器qi完wan成cheng。
MCE中提供了FOC算法的關鍵部分,作為完整的預定控製塊。IC還包括一個ADC以及相應的算法,完全支持單一並聯電流重建。有了MCE處理運轉控製,8051微控製器就能自由地運行家電應用軟件,包括排序、用戶界麵、主機通信以及較高層的控製任務。MCE和8051MCU共同訪問雙口RAM,允許共享目標速度等設置點,並可在軟件控製下作調整。
相關閱讀:
馬達控製中關鍵安全應用的解決方案
工業自動化方案:傳感器技術及馬達控製的實現
實例告訴你——如何使用 PolySwitch 器件保護馬達
特別推薦
- 噪聲中提取真值!瑞盟科技推出MSA2240電流檢測芯片賦能多元高端測量場景
- 10MHz高頻運行!氮矽科技發布集成驅動GaN芯片,助力電源能效再攀新高
- 失真度僅0.002%!力芯微推出超低內阻、超低失真4PST模擬開關
- 一“芯”雙電!聖邦微電子發布雙輸出電源芯片,簡化AFE與音頻設計
- 一機適配萬端:金升陽推出1200W可編程電源,賦能高端裝備製造
技術文章更多>>
- 築基AI4S:摩爾線程全功能GPU加速中國生命科學自主生態
- 一秒檢測,成本降至萬分之一,光引科技把幾十萬的台式光譜儀“搬”到了手腕上
- AI服務器電源機櫃Power Rack HVDC MW級測試方案
- 突破工藝邊界,奎芯科技LPDDR5X IP矽驗證通過,速率達9600Mbps
- 通過直接、準確、自動測量超低範圍的氯殘留來推動反滲透膜保護
技術白皮書下載更多>>
- 車規與基於V2X的車輛協同主動避撞技術展望
- 數字隔離助力新能源汽車安全隔離的新挑戰
- 汽車模塊拋負載的解決方案
- 車用連接器的安全創新應用
- Melexis Actuators Business Unit
- Position / Current Sensors - Triaxis Hall
熱門搜索
微波功率管
微波開關
微波連接器
微波器件
微波三極管
微波振蕩器
微電機
微調電容
微動開關
微蜂窩
位置傳感器
溫度保險絲
溫度傳感器
溫控開關
溫控可控矽
聞泰
穩壓電源
穩壓二極管
穩壓管
無焊端子
無線充電
無線監控
無源濾波器
五金工具
物聯網
顯示模塊
顯微鏡結構
線圈
線繞電位器
線繞電阻




