有源濾波器的相位響應第二部分:低通和高通響應
發布時間:2018-04-28 來源:Hank Zumbahlen 責任編輯:wenwei
【導讀】上shang一yi篇pian文wen章zhang討tao論lun了le濾lv波bo器qi相xiang位wei與yu濾lv波bo器qi實shi現xian拓tuo撲pu之zhi間jian的de關guan係xi,本ben篇pian將jiang討tao論lun濾lv波bo器qi傳chuan遞di函han數shu本ben身shen的de相xiang位wei漂piao移yi。雖sui然ran濾lv波bo器qi主zhu要yao是shi針zhen對dui幅fu度du響xiang應ying而er設she計ji的de,但dan在zai延yan時shi仿fang真zhen、級聯濾波器電路特別是過程控製環路等應用中相位響應非常重要。
本文主要討論低通和高通響應。後續係列文章還將討論帶通和陷波(帶阻)響應、全通響應以及濾波器的脈衝與階躍響應。
回顧以前的文章可知,有源濾波器的傳遞函數可以被看作是濾波器傳遞函數和放大器傳遞函數的級聯響應(圖1)。
圖1. 以兩個級聯的傳遞函數的形式表示的濾波器。
低通傳遞公式
首先,我們再看一下傳遞公式的相位響應。
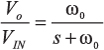
對於單極點低通濾波器,傳遞函數的相移等於:
其中ω代表角頻率(ω = 2π f 弧度每秒,1 Hz = 2π 弧 度 每 秒),ω0代表濾波器的弧度 中心頻率。中心頻率也可被看作是截止頻率。就相位 而言,中心頻率是相移在整個範圍一半處的頻率。由於角頻率用在比值公式中,因此f/f0完全可以代替ω/ω0。
圖2(左軸)是在中心頻率以下二十倍頻到中心頻率以上二十倍頻範圍內對公式1的 求值 結果。由於單 極 點低 通濾 波器 具 有90°的相移範圍—從0°至90° —中心頻率的相移為-45°。當ω = ω0時,歸一化中心頻率等於1。

圖2. 中心頻率為1的單極點低通濾波器(左軸)和高通濾波器(右軸)的相位響應
同樣,單極點高通濾波器的相位響應等於
圖2(右軸)是在中心頻率以下二十倍頻至中心頻率以上二十倍頻範 圍內對公式2的求值結果。中心頻率 (=1) 的相移等於+45°。
如果低通通帶定義為截止頻率以下的頻率,高通通帶定義為中心頻率以上的頻率,那麼最小相移(0°至45°)應在通帶內。反之,最大相 移(45°至90°)發生在阻帶內(頻率高於低通截止頻率並且低於高通截止頻率)。
在低通情況下,濾波器輸出滯後於輸入(負相移);在高通情況下,輸出領先於輸入(正相移)。圖3顯示了相關波形:輸入正弦波信號(中間曲線),截止頻率為1k H z 的單極點高通濾波器輸出信號(頂部曲線),截止頻率為1k H z的單極點低通濾波器輸出信號(底部曲線)。信號頻率也是1k H z—兩個濾波器的截止頻率。圖中波形領先和滯後45°顯而易見。

圖3. 輸入(中間曲線)、單極點高通濾波器輸出(頂部曲線)和低通濾波器輸出(底部曲線)。
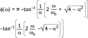
二階低通濾波器傳遞函數的相移可以近似表示為:
(3)圖4(左軸)是在中心頻率以下二十倍頻至中心頻率以上二十倍頻範 圍內對公式3的求值結果(代入α= √2 = 1.414)。這裏的中心頻率等於1,相移為-90°。

圖4. 中心頻率為1 的雙極點低通濾波器(左軸)和高通濾波器(右軸)的相位響應
在公式3中,α是濾波器的阻尼比,等於Q的倒數(即Q = 1/α)。它決定了幅度(和瞬態)響應中的峰值和相位變化的尖銳度。α等於1.414很 好地表征了雙極點巴特沃斯(最大平坦度)響應。
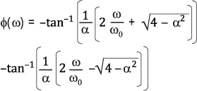
雙極點高通濾波器的相位響應可以被近似表示為:
(4)圖4(右軸)是在中心頻率以下二十倍頻至中心頻率以上二十倍頻範 圍內對公式4的求值結果(α=1.414)。在中心頻率(=1) 點,相移為90°。
圖2和圖4隻使用了一條曲線,這是因為高通和低通相位響應是相似的,隻是相移分別是90°和180° (π/2和π弧度)。這等效於相位符號的改變,導致低通濾波器輸出滯後而高通濾波器領先。
在實際使用中,高通濾波器其實是一個寬帶帶通濾波器,因為放大器的響應至少會引入一個低通單極點。
圖5是雙極點低通濾波器的相位響應和增益響應,圖中給出了不同Q值時的曲線。這個傳遞函數表明,相位變化遍布在相當寬範圍的頻 率上,而變化的範圍與電路Q值呈反比關係。雖然本文主要討論相位響應,但相位變化率和幅度變化率之間的關係也值得我們認真思考。

圖5. 作為Q函數的雙極點低通濾波器電路的相位和幅度響應。
值得注意的是,每級雙極點電路提供最大180°的相移,在極端情況下,相移–180°,雖然滯後360°,但這個角度與180°相移具有相同的屬 性。基於這個原因,多級濾波器的傳遞函數圖形經常在一個限定範圍內,比如180°至–180°,以提高圖形讀取的準確性(見圖9和圖11)。 在這種情況下,我們必須認識到,圖形上的角度實際上是真正的角度加上或減去m×360°。雖然在這種情況下圖形的頂部和底部會出 現不連續(因為圖形變化了±180°),但實際相位角度的變化是平滑和單調的.
圖6給出了不同Q值下雙極點高通濾波器的增益和相位響應。這個傳遞函數表明,180°的相位變化可以發生在很大的頻率範圍內,而變 化的範圍反比於電路Q值。另外值得注意的是,曲線的形狀非常類似。 特別是相位響應具有相同的形狀,隻是覆蓋範圍不同。

圖6. 作為Q 函數的雙極點高通濾波器的相位與幅度響應。
放大器傳遞函數
放大器的開環傳遞函數基本上就是單極點濾波器的傳遞函數。如果是反相放大器,效果上等同於插入180°的額外相移。放大器的閉 環相移通常被忽略,但如果它的帶寬不夠的話,將影響複合濾波器的總傳遞函數。本文選用了A D822進行濾波器仿真。 A D822jiangyingxiangfuhelvboqidechuandihanshu,danzhishizaijiaogaopinlvchu,yinweitadezengyihexiangyibaochizaibilvboqibenshendezhuanzhepinlvgaodeduodepinlv。congshujushouceshangzhailu 的AD822開環傳遞函數見圖7。

圖7. A D822 增益和相位波特圖。
例1:1kHz、5極點、0.5dB切比雪夫低通濾波器
下麵舉一個1k Hz、5極點、0.5dB的切比雪夫低通濾波器例子進行討論。選擇這個特定例子的原因如下:
1) 與yu巴ba特te沃wo斯si濾lv波bo器qi不bu同tong,切qie比bi雪xue夫fu濾lv波bo器qi各ge級ji電dian路lu的de中zhong心xin頻pin率lv是shi完wan全quan不bu同tong的de,這zhe樣yang能neng使shi圖tu形xing上shang的de曲qu線xian伸shen展zhan得de更geng開kai一yi些xie,使shi得de圖tu形xing更geng加jia有you趣qu。
2) 電路的Q值一般要高一點。
3) 奇數個極點可以突出單極點和雙極點電路之間的區別。
濾波器部分采用ADI網站上提供的濾波器設計向導進行設計。
這部分電路的f0和Q見下表:

圖8是整個濾波器的原理圖。所選擇的濾波器拓撲— 多反饋 (M F B)—又是任意的,這種選擇使得單極點部分是一個有源積分器,而不是簡單緩衝的無源RC電路。

圖8. 1kHz、5 極點、0.5dB切比雪夫低通濾波器。
圖9給出了整個濾波器的各級電路的相移。圖上顯示了單獨第一級電路(第1級 — 藍 色)、前麵兩級電路(第1和第2級 — 紅色)和整個 濾波器(第1、第2和第3級—綠色)的相移。這些相移包含了濾波器部分的基本相移、每個反相放大器貢獻的180°相移和放大器頻率響應對總相移的影響。

圖9. 圖8 所示1kHz、5極點、0.5dB切比雪夫低通濾波器的相位響應。
讓人感興趣的一些細節:首先,作為淨滯後的相位響應是負相加的。 由於在低頻段放大器的倒相,第一個雙極點電路開始相位是–180°(=180°以360°為模),在高頻段增加到–360°(=0°以360°為模)。第 二級電路增加另外一次倒相,開始相位是–540°(=180°以360°為模),在高頻段相位增加到–720°(=0°以360°為模)。第三級電路在低頻 段的相位開始於–990°(=180°以360°為模),在高頻段增加到–990°(=90°以360°為模)。另外需要注意,當頻率超過10k H z 時,由於放大器的頻率響應,相位將發生輕度的滾降。這種滾降是累積的,每級電路都會有所增加。
例2:1kHz、5極點、0.5dB切比雪夫高通濾波器
第二個例子(見圖10)考慮的是一個1kHz、5極點、0.5dB切比雪夫高通濾波器的相位響應。在這個例子中,濾波器采用S allen-Key 壓控電壓源(VC V S) 電路而不是多反饋 (M F B) 進行設計(仍使用濾波器設計向 導)。雖然是任意選擇的,但VCVS 隻需要每級雙極點電路兩個電容,不像MFB中的每級電路三個電容,而且前兩級電路是同相的。

圖 10:1kHz、5極點、0.5dB切比雪夫高通濾波器。
圖11給出了濾波器中每級電路的相位響應。第一級電路相移開始於低頻段的180°,高頻段下降到0°。第二級電路在低頻段增加了180°,開始於 360°(=0°以360°為模),在高頻段下降到0°。第三級電路增加了一次倒相,開始於低頻段的–180°+90°=-90°,在高頻段下降到–540°(= –180°以360°為模)。請再次注意,由於放大器的頻率響應,在高頻 段會有額外的滾降發生。

圖11:圖10 所示1kHz、5極點、0.5dB切比雪夫高通濾波器的相位響應。
結束語
本文討論了低通和高通濾波器的相移特性。這個係列中的前一篇文章介紹了相移與濾波器拓撲之間的關係,在後續文章中,我們還將 討論帶通、陷波和全通濾波器—最後,我們會對所有內容進行回顧,並介紹相移將如何影響濾波器的瞬態響應,同時討論群延時、脈衝響應和階躍響應。
附錄
單極點和雙極點的低通和高通濾波器的通用傳遞函數見公式A1到公式A4。
單極點低通濾波器的傳遞函數:
其中 s = jω and ω0 = 2πf0.
雙極點有源低通濾波器的傳遞函數:
(A2)其中 HO 是這級電路增益。
單極點高通濾波器的傳遞函數:
雙極點有源高通濾波器的傳遞函數:
(A4)1k Hz、0.5dB 切比雪夫低通濾波器的f0和Q值如下:

推薦閱讀:
特別推薦
- 噪聲中提取真值!瑞盟科技推出MSA2240電流檢測芯片賦能多元高端測量場景
- 10MHz高頻運行!氮矽科技發布集成驅動GaN芯片,助力電源能效再攀新高
- 失真度僅0.002%!力芯微推出超低內阻、超低失真4PST模擬開關
- 一“芯”雙電!聖邦微電子發布雙輸出電源芯片,簡化AFE與音頻設計
- 一機適配萬端:金升陽推出1200W可編程電源,賦能高端裝備製造
技術文章更多>>
- 築基AI4S:摩爾線程全功能GPU加速中國生命科學自主生態
- 一秒檢測,成本降至萬分之一,光引科技把幾十萬的台式光譜儀“搬”到了手腕上
- AI服務器電源機櫃Power Rack HVDC MW級測試方案
- 突破工藝邊界,奎芯科技LPDDR5X IP矽驗證通過,速率達9600Mbps
- 通過直接、準確、自動測量超低範圍的氯殘留來推動反滲透膜保護
技術白皮書下載更多>>
- 車規與基於V2X的車輛協同主動避撞技術展望
- 數字隔離助力新能源汽車安全隔離的新挑戰
- 汽車模塊拋負載的解決方案
- 車用連接器的安全創新應用
- Melexis Actuators Business Unit
- Position / Current Sensors - Triaxis Hall
熱門搜索



