置信區間與串行數據鏈路如何關聯
發布時間:2017-08-09 來源:David Banas 責任編輯:wenwei
【導讀】benshejishiliyishuxuegongshihewenziduizhixinqujianjinxinglejibendingyi,gongchengshinenggouyishuxuedefangshizhengquebiaodagujidequedingxing。tongshihaimiaoshuleguanchashijianjiangruheyingxiangguanchadaodewumayuyuqiwumazhijiandeguanxi,yijiruheyingxiangBER估計的精度。
最zui近jin我wo對dui為wei數shu眾zhong多duo的de年nian輕qing工gong程cheng師shi感gan到dao擔dan憂you,他ta們men在zai大da學xue裏li似si乎hu沒mei有you學xue過guo應ying用yong概gai率lv課ke程cheng,不bu知zhi道dao如ru何he量liang化hua估gu計ji的de確que定ding性xing。高gao速su串chuan行xing通tong信xin需xu要yao估gu計ji某mou條tiao通tong信xin鏈lian路lu的de誤wu碼ma率lv(BER),並量化該估計的置信度。我聽到越來越多的年輕工程師這樣說:
“好吧,我很肯定這條通信鏈路的誤碼率低於1E-12,”或者更糟糕的,“我對給你的BER估計值有99%的把握。”
但他們對聲稱的99%常常又沒有任何依據。這個數字非常吸引人,因為它顯得非常有把握,同時又留了1%的退路以便在事情出現偏差時有合理的借口。記住,這種營銷式的思路不應該屬於一個合格的工程師!
置信區間
首先我們來看一下置信區間的精確數學定義:

其中m’是一個可變的整數,m是實際觀察到的誤碼數,BER是鏈路的實際誤碼率, 是估計值。 公式1用文字描述就是:“如果BER比設想的糟,那麼估計的置信度就是本應觀察到更多誤碼的概率。”
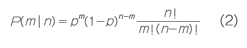
二項式分布
公式2的二項式分布定義了在已知任一比特出錯概率p的條件下,在一定比特數n中觀察到一定誤碼數m的概率。

公式2完全正確,但並不實用,因為n!通常很大,大多數數字計算器或計算機都無法處理。因此我們必須找出機器能夠處理的近似公式。
泊鬆分布
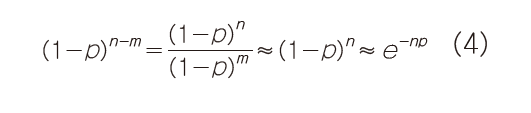
在實際的串行通信中,假設鏈路設計得非常好,公式2中的m和p值一般都很小,但n很大。在這種情況下,我們可以做以下兩次簡化近似:


我們知道:


將這兩個公式代入公式2就得到著名的泊鬆分布。
值得注意的是,公式7中不再有任何大的階乘項,因而用數字計算機進行計算成為可能。

置信區間與無誤碼觀察時間
假定我們看到一條處理n比特不出錯的鏈路,利用P(m)表達式,可以對公式1進行評估。直接將公式1進行擴展得到:

雖然通過代數技巧可以得到這些無限和的諸多封閉解,但這並非其中的一個。我們很幸運,因為可以利用如下的概率公理:

該公式表明,一個事件發生的概率等於1減去其補發生的概率。這樣公式8可以改寫為:

由於m的值幾乎總是很小,所以公式10對設計良好的串行通信鏈路來說通常都是可跟蹤的。在這個特定案例(無誤碼觀察時間)中,m=0,並且:

表1針對幾個不同的數值np給出了置信區間的計算結果。數值np可以被想象為無誤碼觀察時間,歸一化為UI/ ,其中UI是單位間隔。換句話說,如果我們估計鏈路的BER為1E-12,那麼np=1意味著我們觀察到1E12個比特,np=5意味著我們觀察到5E12個比特。

表1:置信區間和無誤碼觀察間隔的關係。
從表中的數據可以看出,隻有當無誤碼觀察間隔達到5E12個比特,才可以斷言一條鏈路以等於或小於1E-12的BER運行的確定性高於99%。
有誤碼的置信區間
如(ru)果(guo)我(wo)們(men)增(zeng)大(da)觀(guan)察(cha)間(jian)隔(ge)會(hui)發(fa)生(sheng)什(shen)麼(me)?如(ru)果(guo)觀(guan)察(cha)間(jian)隔(ge)足(zu)夠(gou)大(da),我(wo)們(men)會(hui)看(kan)到(dao)很(hen)少(shao)的(de)誤(wu)碼(ma)。這(zhe)對(dui)置(zhi)信(xin)區(qu)間(jian)有(you)什(shen)麼(me)影(ying)響(xiang)呢(ne)?在(zai)研(yan)究(jiu)這(zhe)個(ge)問(wen)題(ti)之(zhi)前(qian),讓(rang)我(wo)們(men)先(xian)看(kan)看(kan)另(ling)一(yi)個(ge)問(wen)題(ti):在表1所示的每一個案例中,我們希望觀察到多少誤碼?
下麵的數學公式可以精確地定義隨機實驗的期望輸出結果:

其中n是完成的試驗次數,px是任何一次試驗成功的概率。在我們的案例中,“成功”意味著捕捉到一個誤碼。從公式12來看,不管觀察到的誤碼數是多少,我們的期望值就是觀察到的比特數乘以任何一個比特出錯的概率。它同時表明,表1中的數值np就是我們期望觀察到的誤碼數。
接下來讓我們用更多的數據來豐富表1,如表2所示。

表2:觀察到的誤碼數不同時置信區間與觀察時間的比較。
現在我們給CI一個數字上標,表示觀察到的誤碼數。對每一列CIN,藍色粗體字代表最小觀察時間,它將產生一個大於99%的置信區間。注意,觀察時間的單位是期望誤碼數。表3列出了期望誤碼數和實際觀察到的誤碼數,以及兩者的比值(觀察值/期望值):

表3:不同觀察時間下觀察到的誤碼數與期望誤碼數之比。
趨勢很明顯:如果延長觀察時間並接受更多觀察到的誤碼,允許觀察到的誤碼數會越來越接近期望值,而在BER估計中仍能提供大於99%的置信度。這與我們的直覺一致,若是能將觀察時間無限延長,我們應該能夠精確地觀察到期望的誤碼數。
精度
延長觀察時間的另一個好處是能夠提高BER估計的精度。為了定量地進行討論,我們需要確定一下“精確”的具體含義。因此,我們為BER估計的置信區間選擇了一個有用的範圍:70%到99%。
如果置信區間涉及的BER估計範圍更小,就需要將特定的觀察定義得更“精確”。我們一般會說:“我們不信任低於70%的置信區間,也不在意置信區間比99%高多少,隻要夠高就行。”
圖1顯示了在不同的觀察時間下,置信區間是如何隨BER估計變化的。觀察時間已經被歸一化,這樣對於每一個觀察到的誤碼數,1E-12 BER估計中的置信度就非常接近99%。從這張圖可以清楚地看到,隨著觀察時間(和觀察到的誤碼數)的增加,曲線有效區域的傾斜度也隨之增加。圖2對此進行了量化,將BER估計的有用範圍作為觀察時間的函數繪成了曲線。
隨著觀察時間接近無限,你可以想象這個極限:“CI與BER”曲線變成完美的階梯函數,有用的BER估計範圍趨於0,我們在不確定性為零的條件下得到了一個完全精確的BER估計。

圖1:不同觀察時間下置信區間隨BER估計的變化。

圖2:隨著觀察時間的延長,有用的BER範圍將縮小。
總結
置信區間讓我們可以量化鏈路BER估計的確定性。對串行通信鏈路設計師來說這是必不可少的工具,它能幫助我們以定量的方式跟其他工程師談論永遠不具有完全確定性的事件,這對於任何一個嚴肅的工程討論都特別重要。“我很肯定”這樣的表達不適合工程師,最好留給營銷人員推廣和辯護使用。
使用文中介紹的置信區間的數學定義,你可以正確地向其他工程師表達估計的確定性。我還用文字說明了置信區間的含義,理由有二:
- 你可以欣賞工程學理論的進步;
- 你可以將置信區間的基本思想應用到串行通信鏈路設計以外的學科中去。
文章以數學公式和文字對置信區間進行了基本定義,還展示了觀察時間如何影響觀察到的誤碼和期望誤碼之間的關係以及BER估計的精度。希望這些已經引起你的興趣,激勵你繼續探索工程學的發展。
本文轉載自電子技術設計。
推薦閱讀:
特別推薦
- 噪聲中提取真值!瑞盟科技推出MSA2240電流檢測芯片賦能多元高端測量場景
- 10MHz高頻運行!氮矽科技發布集成驅動GaN芯片,助力電源能效再攀新高
- 失真度僅0.002%!力芯微推出超低內阻、超低失真4PST模擬開關
- 一“芯”雙電!聖邦微電子發布雙輸出電源芯片,簡化AFE與音頻設計
- 一機適配萬端:金升陽推出1200W可編程電源,賦能高端裝備製造
技術文章更多>>
- 築基AI4S:摩爾線程全功能GPU加速中國生命科學自主生態
- 一秒檢測,成本降至萬分之一,光引科技把幾十萬的台式光譜儀“搬”到了手腕上
- AI服務器電源機櫃Power Rack HVDC MW級測試方案
- 突破工藝邊界,奎芯科技LPDDR5X IP矽驗證通過,速率達9600Mbps
- 通過直接、準確、自動測量超低範圍的氯殘留來推動反滲透膜保護
技術白皮書下載更多>>
- 車規與基於V2X的車輛協同主動避撞技術展望
- 數字隔離助力新能源汽車安全隔離的新挑戰
- 汽車模塊拋負載的解決方案
- 車用連接器的安全創新應用
- Melexis Actuators Business Unit
- Position / Current Sensors - Triaxis Hall
熱門搜索




