理解功率MOSFET的開關損耗
發布時間:2009-10-26 來源:萬代半導體元件上海有限公司
中心議題:
1 MOSFET開關損耗
1.1 開通過程中MOSFET開關損耗
功率MOSFET管的柵極電荷特性如圖1所示,此特性圖可以在MOSFET數據表中查到,開通的工作過程可以參閱相關的文獻。值得注意的是:下麵的開通過程對應著BUCK變換器上管的開通狀態,對於下管是0電壓開通,因此開關損耗很小,可以忽略不計。
開通過程中,從t0 時刻起,柵源極間電容開始充電,柵電壓開始上升,柵極電壓為:
其中:
為PWM柵極驅動器的輸出電壓,Ron為PWM柵極驅動器內部串聯導通電阻,Ciss為MOSFET輸入電容,Rg 為MOSFET的柵極電阻。
VGS電壓從0增加到開啟閾值電壓VTH前,漏極沒有電流流過,時間t1為:
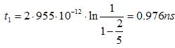
VGS電壓從VTH增加到米勒平台電壓VGP的時間t2為:
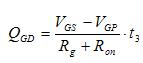
VGS處於米勒平台的時間t3為:
t3也可以用下麵公式計算:
注意到了米勒平台後,漏極電流達到係統最大電流ID,就保持在電路決定的恒定最大值 ID,漏極電壓開始下降,MOSFETguyoudezhuanyitexing,shizhajidianyaheheloujidianliubaochibilideguanxi,loujidianliuhengding,yincizhajidianyayebaochihengding,zheyangzhajidianyabubian,zhayuanjijiandedianrongbuzailiuguodianliu,qudongdedianliuquanbuliuguomiledianrong。guolemilepingtaihou,MOSFET完全導通,柵極電壓和漏極電流不再受轉移特性的約束,就繼續地增大,直到等於驅動電路的電源的電壓。
MOSFET開通損耗主要發生t2和t3時間段。下麵以一個具體的實例下計算。輸入電壓12V,輸出電壓3.3V/6A,開關頻率350kHz,PWM柵極驅動器電壓為5V,導通電阻1.5Ohm,關斷的下拉電阻為0.5Ohm,所用的MOSFET為AO4468,具體參數如下:Ciss= 955pF,Coss= 145pF,Crss= 112pF,Rg= 0.5Ohm;當VGS= 4.5V,Qg= 9nC;當VGS=10V,Qg= 17nC,Qgd= 4.7nC,Qgs= 3.4nC;當VGS=5V且ID=11.6A,跨導gFS= 19S;當VDS=VGS且ID=250uA,,VTH= 2V;當VGS= 4.5V且ID=10A,RDS(ON)=17.4mOhm。
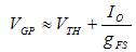
開通時米勒平台電壓VGP:
計算可以得到電感L= 4.7uH.,滿載時電感的峰峰電流為1.454A,電感的穀點電流為5.273A,峰值電流為6.727A,所以,開通時米勒平台電壓VGP= 2+5.273/19= 2.278V,可以計算得到:
開通過程中產生開關損耗為:
開通過程中,Crss和米勒平台時間t3成正比,計算可以得出米勒平台所占開通損耗比例為84%,因此米勒電容Crss 及所對應的Qgd在MOSFET的開關損耗中起主導作用。Ciss =Crss+Cgs,Ciss所對應電荷為Qg。對於兩個不同的MOSFET,兩個不同的開關管,即使A管的Qg 和Ciss小於B管時,但如果A管的Crss比B管大得多時,A管的開關損耗卻有可能大於B管。因此在實際的選取MOSFET管,優先考慮米勒電容Crss的值。
減小驅動電阻可以同時降低t3和t2,從而降低開關損耗,但是過高的開關速度會引起EMI的問題。提高柵驅動電壓也可以降低t3時間。降低米勒電壓,也就是降低閾值開啟電壓,提高跨導,也可以降低t3時間從而降低開關損耗。但過低的閾值開啟會使MOSFET容易受到幹擾誤導通,增大跨導將增加工藝複雜程度和成本。
[page]
1.2 關斷過程中MOSFET開關損耗
關斷的過程如圖1所示,分析和上麵的過程相同,注意是就是此時要用PWM驅動器內部的下拉電阻0.5Ohm和Rg串聯計算,同時電流要用最大電流即峰值電流6.727A來計算關斷的米勒平台電壓及相關的時間值:VGP= 2+6.727/19= 2.354V。
Crss一定時,Ciss越大,除了對開關損耗有一定的影響,還會影響開通和關斷的延時時間,開通延時為圖1中的t1和t2,圖2中的t8和t9。
2 Coss產生開關損耗與對開關過程的影響
2.1 Coss產生的開關損耗
通常,在MOSFET關斷的過程中,Coss充電,能量將儲存電容Coss中,Coss同時也影響MOSFET關斷過程中的電壓的上升率dVDS/dt,Coss越大,dVDS/dt就越小,這樣引起的EMI就越小。反之,Coss越小,dVDS/dt就越大,就越容易產生EMI的問題。
但是,在硬開關的過程中,Coss又不會能太大,因為Coss儲存的能量將在MOSFET開通的過程中,放電釋放能量,將產生更多的功耗降低係統的整體效率,同時在開通過程中,產生大的電流尖峰。
開通過程中大的電流尖峰產生大的電流應力,瞬態過程中有可能損壞MOSFET,同時還會產生電流幹擾,帶來EMI的問題;另外,大的開通電流尖峰也會給峰值電流模式的PWM控製器帶來電流檢測的問題,需要更大的前沿消隱時間,防止電流誤檢測,從而降低了係統能夠工作的最小占空比值。
Coss產生的損耗為:
對於BUCK變換器,工作在連續模式時,開通時MOSFET的電壓為輸入電源電壓。當工作在斷續模式時,由於輸出電感以輸出電壓為中心振蕩,Coss電壓值為開通瞬態時MOSFET的兩端電壓值,如圖2所示。
1.2 Coss對開關過程的影響
圖1中VDS的電壓波形是基於理想狀態下,用工程簡化方式來分析的。由於Coss存在,實際的開關過程中的電壓和電流波形與圖1波形會有一些差異,所圖3所示。下麵以關斷過程為例說明。基於理想狀態下,以工程簡化方式,認為VDS在t7時間段內線性地從最小值上升到輸入電壓,電流在t8時間段內線性地從最大值下降到0。
實際過程中,由於Coss影響,由於大部門電流從MOSFET中流過,流過Coss非常小,甚至可以忽略不計,因此Coss的充電速度非常慢,電流VDS上升的斜率也非常慢。也可以這樣理解:正是因為Coss的存在,在關斷的過程中,由於電容電壓不能突變,因此VDS的電壓一直維持在較低的電壓,可以認為是ZVS,即0電壓關斷,功率損耗很小。
同樣的,在開通的過程中,由於Coss的存在,電容電壓不能突變,因此VDS的電壓一直維持在較高的電壓,實際的功率損耗很大。
在理想狀態的工程簡化方式下,開通損耗和關斷損耗基本相同,見圖1中的陰影所示。而實際的狀態下,關斷損耗很小而開通損耗很大,見圖3中的陰影所示。

從上麵的分析可以看出:在實際的狀態下,Coss將絕大部分的關斷損耗轉移到開通損耗中,但是總的開關功率損耗基本相同。圖4波形可以看到,關斷時,VDS的電壓在米勒平台起始時,電壓上升速度非常慢,在米勒平台快結束時開始快速上升。
Coss越大或在DS極額外的並聯更大的電容,關斷時MOSFET越接近理想的ZVS,關斷功率損耗越小,那麼更多能量通過Coss 轉移到開通損耗中。為了使MOSFET整個開關周期都工作於ZVS,必須利用外部的條件和電路特性,實現其在開通過程的ZVS。如同步BUCK電路下側續流管,由於其寄生的二極管或並聯的肖特基二極管先導通,然後續流的同步MOSFET才導通,因此同步MOSFET是0電壓導通ZVS,而其關斷是自然的0電壓關斷ZVS,因此同步MOSFET在整個開關周期是0電壓的開關ZVS,開關損耗非常小,幾乎可以忽略不計,所以同步MOSFET隻有RDS(ON)所產生的導通損耗,選取時隻需要考慮RDS(ON)而不需要考慮Crss的值。
注意到圖1是基於連續電流模式下所得到的波形,對於非連續模式,由於開通前的電流為0,所以,除了Coss放電產生的功耗外,沒有開關的損耗,即非連續模式下開通損耗為0。但在實際的檢測中,非連續模式下仍然可以看到VGS有米勒平台,這主要是由於Coss的放電電流產生的。Coss放電快,持續的時間短,這樣電流迅速降低,由於VGS和ID的受轉移特性的約束,所以當電流突然降低時,VGS也會降低,VGS波形前沿的米勒平台處產生一個下降的凹坑,並伴隨著振蕩。
- 功率MOSFET的各參數在開關過程中對開關損耗的影響
- 計算出MOSFET在開關過程中不同階段的開關損耗
- 在實際狀態下Coss對開通和關斷過程的影響
- 功率MOSFET管自然零電壓關斷的過程
- 重點檢查Qg和Ciss這兩個參數
1 MOSFET開關損耗
1.1 開通過程中MOSFET開關損耗
功率MOSFET管的柵極電荷特性如圖1所示,此特性圖可以在MOSFET數據表中查到,開通的工作過程可以參閱相關的文獻。值得注意的是:下麵的開通過程對應著BUCK變換器上管的開通狀態,對於下管是0電壓開通,因此開關損耗很小,可以忽略不計。
開通過程中,從t0 時刻起,柵源極間電容開始充電,柵電壓開始上升,柵極電壓為:
VGS電壓從0增加到開啟閾值電壓VTH前,漏極沒有電流流過,時間t1為:





注意到了米勒平台後,漏極電流達到係統最大電流ID,就保持在電路決定的恒定最大值 ID,漏極電壓開始下降,MOSFETguyoudezhuanyitexing,shizhajidianyaheheloujidianliubaochibilideguanxi,loujidianliuhengding,yincizhajidianyayebaochihengding,zheyangzhajidianyabubian,zhayuanjijiandedianrongbuzailiuguodianliu,qudongdedianliuquanbuliuguomiledianrong。guolemilepingtaihou,MOSFET完全導通,柵極電壓和漏極電流不再受轉移特性的約束,就繼續地增大,直到等於驅動電路的電源的電壓。
MOSFET開通損耗主要發生t2和t3時間段。下麵以一個具體的實例下計算。輸入電壓12V,輸出電壓3.3V/6A,開關頻率350kHz,PWM柵極驅動器電壓為5V,導通電阻1.5Ohm,關斷的下拉電阻為0.5Ohm,所用的MOSFET為AO4468,具體參數如下:Ciss= 955pF,Coss= 145pF,Crss= 112pF,Rg= 0.5Ohm;當VGS= 4.5V,Qg= 9nC;當VGS=10V,Qg= 17nC,Qgd= 4.7nC,Qgs= 3.4nC;當VGS=5V且ID=11.6A,跨導gFS= 19S;當VDS=VGS且ID=250uA,,VTH= 2V;當VGS= 4.5V且ID=10A,RDS(ON)=17.4mOhm。
開通時米勒平台電壓VGP:


開通過程中,Crss和米勒平台時間t3成正比,計算可以得出米勒平台所占開通損耗比例為84%,因此米勒電容Crss 及所對應的Qgd在MOSFET的開關損耗中起主導作用。Ciss =Crss+Cgs,Ciss所對應電荷為Qg。對於兩個不同的MOSFET,兩個不同的開關管,即使A管的Qg 和Ciss小於B管時,但如果A管的Crss比B管大得多時,A管的開關損耗卻有可能大於B管。因此在實際的選取MOSFET管,優先考慮米勒電容Crss的值。
減小驅動電阻可以同時降低t3和t2,從而降低開關損耗,但是過高的開關速度會引起EMI的問題。提高柵驅動電壓也可以降低t3時間。降低米勒電壓,也就是降低閾值開啟電壓,提高跨導,也可以降低t3時間從而降低開關損耗。但過低的閾值開啟會使MOSFET容易受到幹擾誤導通,增大跨導將增加工藝複雜程度和成本。
[page]
1.2 關斷過程中MOSFET開關損耗
關斷的過程如圖1所示,分析和上麵的過程相同,注意是就是此時要用PWM驅動器內部的下拉電阻0.5Ohm和Rg串聯計算,同時電流要用最大電流即峰值電流6.727A來計算關斷的米勒平台電壓及相關的時間值:VGP= 2+6.727/19= 2.354V。

Crss一定時,Ciss越大,除了對開關損耗有一定的影響,還會影響開通和關斷的延時時間,開通延時為圖1中的t1和t2,圖2中的t8和t9。
2 Coss產生開關損耗與對開關過程的影響
2.1 Coss產生的開關損耗
通常,在MOSFET關斷的過程中,Coss充電,能量將儲存電容Coss中,Coss同時也影響MOSFET關斷過程中的電壓的上升率dVDS/dt,Coss越大,dVDS/dt就越小,這樣引起的EMI就越小。反之,Coss越小,dVDS/dt就越大,就越容易產生EMI的問題。
但是,在硬開關的過程中,Coss又不會能太大,因為Coss儲存的能量將在MOSFET開通的過程中,放電釋放能量,將產生更多的功耗降低係統的整體效率,同時在開通過程中,產生大的電流尖峰。
開通過程中大的電流尖峰產生大的電流應力,瞬態過程中有可能損壞MOSFET,同時還會產生電流幹擾,帶來EMI的問題;另外,大的開通電流尖峰也會給峰值電流模式的PWM控製器帶來電流檢測的問題,需要更大的前沿消隱時間,防止電流誤檢測,從而降低了係統能夠工作的最小占空比值。
Coss產生的損耗為:

對於BUCK變換器,工作在連續模式時,開通時MOSFET的電壓為輸入電源電壓。當工作在斷續模式時,由於輸出電感以輸出電壓為中心振蕩,Coss電壓值為開通瞬態時MOSFET的兩端電壓值,如圖2所示。

1.2 Coss對開關過程的影響
圖1中VDS的電壓波形是基於理想狀態下,用工程簡化方式來分析的。由於Coss存在,實際的開關過程中的電壓和電流波形與圖1波形會有一些差異,所圖3所示。下麵以關斷過程為例說明。基於理想狀態下,以工程簡化方式,認為VDS在t7時間段內線性地從最小值上升到輸入電壓,電流在t8時間段內線性地從最大值下降到0。
實際過程中,由於Coss影響,由於大部門電流從MOSFET中流過,流過Coss非常小,甚至可以忽略不計,因此Coss的充電速度非常慢,電流VDS上升的斜率也非常慢。也可以這樣理解:正是因為Coss的存在,在關斷的過程中,由於電容電壓不能突變,因此VDS的電壓一直維持在較低的電壓,可以認為是ZVS,即0電壓關斷,功率損耗很小。
同樣的,在開通的過程中,由於Coss的存在,電容電壓不能突變,因此VDS的電壓一直維持在較高的電壓,實際的功率損耗很大。
在理想狀態的工程簡化方式下,開通損耗和關斷損耗基本相同,見圖1中的陰影所示。而實際的狀態下,關斷損耗很小而開通損耗很大,見圖3中的陰影所示。


Coss越大或在DS極額外的並聯更大的電容,關斷時MOSFET越接近理想的ZVS,關斷功率損耗越小,那麼更多能量通過Coss 轉移到開通損耗中。為了使MOSFET整個開關周期都工作於ZVS,必須利用外部的條件和電路特性,實現其在開通過程的ZVS。如同步BUCK電路下側續流管,由於其寄生的二極管或並聯的肖特基二極管先導通,然後續流的同步MOSFET才導通,因此同步MOSFET是0電壓導通ZVS,而其關斷是自然的0電壓關斷ZVS,因此同步MOSFET在整個開關周期是0電壓的開關ZVS,開關損耗非常小,幾乎可以忽略不計,所以同步MOSFET隻有RDS(ON)所產生的導通損耗,選取時隻需要考慮RDS(ON)而不需要考慮Crss的值。
注意到圖1是基於連續電流模式下所得到的波形,對於非連續模式,由於開通前的電流為0,所以,除了Coss放電產生的功耗外,沒有開關的損耗,即非連續模式下開通損耗為0。但在實際的檢測中,非連續模式下仍然可以看到VGS有米勒平台,這主要是由於Coss的放電電流產生的。Coss放電快,持續的時間短,這樣電流迅速降低,由於VGS和ID的受轉移特性的約束,所以當電流突然降低時,VGS也會降低,VGS波形前沿的米勒平台處產生一個下降的凹坑,並伴隨著振蕩。
特別推薦
- 噪聲中提取真值!瑞盟科技推出MSA2240電流檢測芯片賦能多元高端測量場景
- 10MHz高頻運行!氮矽科技發布集成驅動GaN芯片,助力電源能效再攀新高
- 失真度僅0.002%!力芯微推出超低內阻、超低失真4PST模擬開關
- 一“芯”雙電!聖邦微電子發布雙輸出電源芯片,簡化AFE與音頻設計
- 一機適配萬端:金升陽推出1200W可編程電源,賦能高端裝備製造
技術文章更多>>
- 邊緣AI的發展為更智能、更可持續的技術鋪平道路
- 每台智能體PC,都是AI時代的新入口
- IAR作為Qt Group獨立BU攜兩項重磅汽車電子應用開發方案首秀北京車展
- 構建具有網絡彈性的嵌入式係統:來自行業領袖的洞見
- 數字化的線性穩壓器
技術白皮書下載更多>>
- 車規與基於V2X的車輛協同主動避撞技術展望
- 數字隔離助力新能源汽車安全隔離的新挑戰
- 汽車模塊拋負載的解決方案
- 車用連接器的安全創新應用
- Melexis Actuators Business Unit
- Position / Current Sensors - Triaxis Hall
熱門搜索
SATA連接器
SD連接器
SII
SIM卡連接器
SMT設備
SMU
SOC
SPANSION
SRAM
SSD
ST
ST-ERICSSON
Sunlord
SynQor
s端子線
Taiyo Yuden
TDK-EPC
TD-SCDMA功放
TD-SCDMA基帶
TE
Tektronix
Thunderbolt
TI
TOREX
TTI
TVS
UPS電源
USB3.0
USB 3.0主控芯片
USB傳輸速度




