汽車電子設備電磁兼容性改進措施
發布時間:2010-12-14
中心議題:
- 電磁幹擾的來源
- 電磁幹擾的途徑及原理
- 提高電子設備電磁兼容性能的措施
- 雨刮電機的結構調整和內部濾波
- 閃光器的電路濾波
隨sui著zhe汽qi車che電dian控kong技ji術shu的de不bu斷duan發fa展zhan,汽qi車che電dian子zi設she備bei數shu量liang大da大da增zeng加jia,工gong作zuo頻pin率lv逐zhu漸jian提ti高gao,功gong率lv逐zhu漸jian增zeng大da,使shi得de汽qi車che工gong作zuo環huan境jing中zhong充chong斥chi著zhe電dian磁ci波bo,導dao致zhi電dian磁ci幹gan擾rao問wen題ti日ri益yi突tu出chu,輕qing則ze影ying響xiang電dian子zi設she備bei的de正zheng常chang工gong作zuo,重zhong則ze損sun壞huai相xiang應ying的de電dian器qi元yuan件jian。因yin此ci,汽qi車che電dian子zi設she備bei的de電dian磁ci兼jian容rong性xing能neng越yue來lai越yue受shou重zhong視shi,目前迫切要求能廣泛應用針對汽車子設備的電磁改進技術。
電磁幹擾的來源
汽qi車che電dian子zi設she備bei工gong作zuo在zai行xing駛shi環huan境jing不bu斷duan變bian化hua的de汽qi車che上shang,環huan境jing中zhong電dian磁ci能neng量liang構gou成cheng的de複fu雜za性xing和he多duo變bian性xing,意yi味wei著zhe係xi統tong所suo受shou到dao的de電dian磁ci幹gan擾rao來lai源yuan比bi較jiao廣guang泛fan。按an照zhao電dian磁ci幹gan擾rao的de來lai源yuan分fen類lei,可ke分fen為wei車che外wai電dian磁ci幹gan擾rao、車體靜電幹擾和車內電磁幹擾。
車外電磁幹擾
車外電磁幹擾是汽車行駛中經曆各種外部電磁環境時所受的幹擾。這類幹擾存在於特定的空間或是特定的時間。如高壓輸電線、高壓變電站和大功率無線電發射站的電磁幹擾,以及雷電、太陽黑子輻射電磁幹擾,等等。環境中其它臨近的電子設備工作時也會產生幹擾,例如行駛中相距較近的汽車。
車體靜電幹擾
車(che)體(ti)靜(jing)電(dian)幹(gan)擾(rao)與(yu)汽(qi)車(che)和(he)外(wai)部(bu)環(huan)境(jing)都(dou)有(you)關(guan)。由(you)於(yu)汽(qi)車(che)行(xing)駛(shi)時(shi)車(che)體(ti)與(yu)空(kong)氣(qi)高(gao)速(su)摩(mo)擦(ca),在(zai)車(che)體(ti)上(shang)形(xing)成(cheng)不(bu)均(jun)勻(yun)分(fen)布(bu)的(de)靜(jing)電(dian)。靜(jing)電(dian)放(fang)電(dian)會(hui)在(zai)車(che)體(ti)上(shang)形(xing)成(cheng)幹(gan)擾(rao)電(dian)流(liu),同(tong)時(shi)產(chan)生(sheng)高(gao)頻(pin)輻(fu)射(she),對(dui)汽(qi)車(che)電(dian)子(zi)設(she)備(bei)形(xing)成(cheng)電(dian)磁(ci)幹(gan)擾(rao)。
車內電磁幹擾
車(che)內(nei)電(dian)磁(ci)幹(gan)擾(rao)是(shi)汽(qi)車(che)電(dian)子(zi)設(she)備(bei)工(gong)作(zuo)時(shi)內(nei)部(bu)的(de)相(xiang)互(hu)幹(gan)擾(rao),包(bao)括(kuo)電(dian)子(zi)元(yuan)器(qi)件(jian)產(chan)生(sheng)的(de)電(dian)子(zi)噪(zao)聲(sheng),電(dian)機(ji)運(yun)行(xing)中(zhong)換(huan)向(xiang)電(dian)刷(shua)產(chan)生(sheng)的(de)電(dian)磁(ci)幹(gan)擾(rao)以(yi)及(ji)各(ge)種(zhong)開(kai)關(guan)工(gong)作(zuo)時(shi)的(de)放(fang)電(dian)幹(gan)擾(rao),最(zui)嚴(yan)重(zhong)的(de)是(shi)汽(qi)車(che)點(dian)火(huo)係(xi)統(tong)產(chan)生(sheng)的(de)高(gao)頻(pin)輻(fu)射(she),其(qi)幹(gan)擾(rao)能(neng)量(liang)最(zui)大(da)。
電磁幹擾的途徑及原理
電磁幹擾按幹擾途徑分類,主要分為傳導幹擾、感應幹擾和輻射幹擾,對應的幹擾原理如下。
傳導幹擾
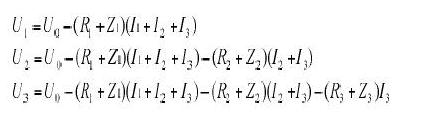
傳導幹擾主要通過電路的共用導體傳播,典型的結構是共電源線和共地線,圖1是典型傳導幹擾電路示意圖。R為電源線上電阻,Z為地線上電阻,U為支路電壓,I為支路電流。

由於各設備工作電壓為

因此任意一個設備電流變化都會導致其它設備電壓變化,產生幹擾。要降低設備間的相互影響,需要減小R、Z和I值。
感應幹擾
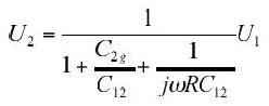
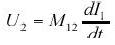
感應幹擾分為電感應幹擾和磁感應幹擾兩種,其基本電路圖如圖2和圖3。U1為導線1的電壓,I1為導線1上電流,U2為導線2上的幹擾電壓,C12為兩導線間的電容,C1g和C2g為導線1、導線2與地的電容,M12為兩回路間互感,R為各電路的電阻。

對電感應電路,
,要減小U2可以減小C12、U1和R,或增大C2g;首要措施是減小C12,方法是增大導線距離或改變導線間介電參數。
[page]
對磁感應電路,
,要減小U2,可以減小M12或減小I1變化率,基本措施是減小M12,對典型的兩回路,
,L1、L2為兩回路長度,m0為真空磁導率,r為兩回路導線段距離。因此增大r和減小回路麵積都能減小M12。
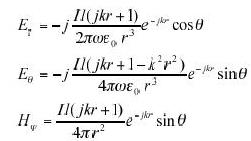
輻射幹擾
輻射幹擾由天線發射,由於通電的導線和電纜可視為等效天線,因此汽車電子設備的線束輻射幹擾非常嚴重。根據Maxwell方程,典型單極天線的輻射電磁場為

為球坐標,I為天線電流,l為天線長度,r為天線至場點的距離,w為角頻率,e0為空氣介電常數,,l為電磁波長。
要減小H和E,可以減小I、l,或增大r。
綜zong上shang所suo述shu,車che外wai電dian磁ci幹gan擾rao隨sui作zuo用yong距ju離li增zeng大da而er減jian小xiao,隻zhi有you當dang其qi本ben身shen能neng量liang非fei常chang大da,才cai能neng對dui相xiang距ju較jiao遠yuan的de汽qi車che電dian子zi設she備bei產chan生sheng影ying響xiang。多duo年nian研yan究jiu結jie果guo表biao明ming,大da能neng量liang的de電dian磁ci效xiao應ying對dui人ren體ti健jian康kang存cun在zai危wei害hai,目mu前qian已yi經jing製zhi定ding各ge種zhong相xiang應ying的de電dian磁ci標biao準zhun來lai限xian製zhi這zhe類lei幹gan擾rao,使shi得de汽qi車che電dian子zi設she備bei受shou其qi的de影ying響xiang減jian小xiao。
chetijingdianganraohecheneidianciganrao,yinweiganraozuoyongjulijin,ganraoshijianchang,ganraoqiangduxiangduijiaoda。youyuqichedianzishebeixingchengyixudianchihejiaoliufadianjiweihexindianyuanyijichetiweigonggongdidedianqiwangluo,gebufenxianshudouhuitongguodianyuanhedixianbicichuandaoganrao,xianglindaoxianjianyouyouganyingganrao,erbuxianglindaoxianjianyeyintianxianxiaoyingerfusheganrao,zhejiushidecheneiganraozonghelesanzhongtujing,ganraozuchengjiaoduo,fugaideganraopinlvjiaoguang,shiqichedianzishebeishoudaodezhuyaodianciganrao。jiejuezheliangzhongdianciganraowenti,nengtongshitigaoqichedianzishebeiduichewaidianciganraodekangganraonengli,congerjiangdishebeigongzuoshichanghuoshisunhuaidekenengxing。
提高電子設備電磁兼容性能的措施
汽車電子設備的電磁兼容性能包括兩方麵,一是電磁發射,衡量係統產生的電磁幹擾的發射水平;二er是shi電dian磁ci敏min感gan度du,衡heng量liang係xi統tong在zai工gong作zuo時shi為wei實shi現xian預yu期qi技ji術shu指zhi標biao而er需xu要yao的de抵di抗kang電dian磁ci幹gan擾rao的de能neng力li。根gen據ju前qian麵mian的de分fen析xi,要yao綜zong合he提ti高gao汽qi車che電dian子zi設she備bei的de電dian磁ci性xing能neng,可ke以yi從cong三san方fang麵mian考kao慮lv,一yi是shi減jian小xiao設she備bei發fa射she電dian磁ci幹gan擾rao的de強qiang度du;二是抑製電磁幹擾的傳輸;三是降低設備電磁敏感部件接收幹擾的強度。
減小設備的電磁幹擾強度
優化設備的電氣結構:汽車電子設備中閃光器是繼電器觸點結構,可以在觸點前加電弧抑製器;電機為感性負載,可通過內部濾波電路降低電流噪聲;各種電控單元的印刷電路板,要優化布線,降低電磁發射水平。
選用合適的電子元器件:汽車上的各種控製單元,采用較低頻的芯片有利於減少輻射幹擾。
降低設備的功率:在滿足功能需求的情況下,降低設備的功率,可以減小幹擾電壓和電流,從而減小幹擾強度。
抑製幹擾的傳輸
屏蔽幹擾源設備和相關線束:汽車中主要的電控係統使用的電控單元,應該采用屏蔽殼體封裝。
增加線束濾波:對較長的線束,為減小傳導和輻射幹擾,應在線束上增加濾波,比較方便的是套接合適的鐵氧體磁環。
合理規劃線束:線(xian)束(shu)布(bu)置(zhi)上(shang)使(shi)小(xiao)功(gong)率(lv)敏(min)感(gan)電(dian)路(lu)緊(jin)靠(kao)信(xin)號(hao)源(yuan),大(da)功(gong)率(lv)幹(gan)擾(rao)電(dian)路(lu)緊(jin)靠(kao)負(fu)載(zai),盡(jin)可(ke)能(neng)分(fen)開(kai)小(xiao)功(gong)率(lv)電(dian)路(lu)和(he)大(da)功(gong)率(lv)電(dian)路(lu),減(jian)小(xiao)線(xian)束(shu)間(jian)的(de)感(gan)應(ying)幹(gan)擾(rao)和(he)輻(fu)射(she)幹(gan)擾(rao)。
改進設備的接地:良好的接地布置和改進的地線搭接可以降低高頻阻抗。汽車電子設備接地主要是就近接到車體以及線束屏蔽層接地。
降低設備接收幹擾的強度
減小設備接收幹擾的麵積:線束應設計成最小長度、最小阻抗和最小環路麵積,最好采用雙絞線等回路麵積小的供電方式。增大設備到幹擾源的距離:在幹擾設備布置不變的情況下,改造敏感部件的安裝位置,增大到幹擾源的距離。
電磁兼容性改進措施的試驗研究
目mu前qian,電dian磁ci兼jian容rong仿fang真zhen計ji算suan通tong常chang用yong來lai對dui車che體ti結jie構gou的de電dian磁ci性xing能neng進jin行xing初chu步bu估gu計ji。汽qi車che電dian子zi設she備bei的de電dian磁ci性xing能neng主zhu要yao以yi測ce試shi為wei依yi據ju,因yin此ci對dui改gai進jin措cuo施shi著zhe重zhong進jin行xing試shi驗yan研yan究jiu。根gen據ju汽qi車che整zheng車che及ji零ling部bu件jian的de電dian磁ci兼jian容rong性xing法fa規guiGB18655-2002《用於保護汽車接收機的無線電騷擾特性的限值和測量方法》,對國內一種商務車型的電子設備進行了電磁兼容性測試,采用了綜合改進措施,試驗結果可以比較各種措施在實車運用中的效果。
雨刮電機的結構調整和內部濾波
雨yu刮gua電dian機ji是shi設she備bei中zhong典dian型xing的de感gan性xing負fu載zai幹gan擾rao源yuan,功gong率lv較jiao大da,采cai用yong零ling部bu件jian測ce試shi方fang式shi對dui其qi測ce量liang,先xian對dui電dian機ji的de換huan向xiang器qi結jie構gou做zuo了le調tiao整zheng,並bing在zai電dian機ji內nei部bu對dui電dian路lu做zuo了le濾lv波bo處chu理li。圖tu4、圖5是改進前後的結果,射頻段幹擾也有明顯改進。

閃光器的電路濾波
閃(shan)光(guang)器(qi)是(shi)汽(qi)車(che)設(she)備(bei)中(zhong)典(dian)型(xing)的(de)觸(chu)點(dian)型(xing)器(qi)件(jian),工(gong)作(zuo)時(shi)通(tong)斷(duan)頻(pin)繁(fan),在(zai)線(xian)束(shu)上(shang)產(chan)生(sheng)較(jiao)大(da)傳(chuan)導(dao)幹(gan)擾(rao),並(bing)由(you)此(ci)產(chan)生(sheng)較(jiao)大(da)輻(fu)射(she)幹(gan)擾(rao)。通(tong)過(guo)在(zai)閃(shan)光(guang)器(qi)附(fu)近(jin)加(jia)接(jie)0.1mF的電容,並在線束上套鐵氧體磁環,構成低通濾波器,抑製其傳導幹擾,同時減小輻射幹擾。測量采用整車測試的方式,圖6、圖7是改進前後的測試結果,在10MHz以上降低了幹擾水平。
結語
汽(qi)車(che)電(dian)子(zi)設(she)備(bei)的(de)電(dian)磁(ci)兼(jian)容(rong)性(xing)能(neng)在(zai)國(guo)內(nei)日(ri)益(yi)受(shou)到(dao)重(zhong)視(shi),它(ta)對(dui)提(ti)高(gao)國(guo)內(nei)汽(qi)車(che)產(chan)品(pin)的(de)競(jing)爭(zheng)力(li)也(ye)相(xiang)當(dang)重(zhong)要(yao)。通(tong)過(guo)對(dui)電(dian)子(zi)設(she)備(bei)幹(gan)擾(rao)源(yuan)的(de)分(fen)析(xi),表(biao)明(ming)車(che)內(nei)電(dian)磁(ci)幹(gan)擾(rao)是(shi)設(she)備(bei)所(suo)受(shou)的(de)主(zhu)要(yao)幹(gan)擾(rao),為(wei)減(jian)少(shao)係(xi)統(tong)的(de)電(dian)磁(ci)幹(gan)擾(rao),需(xu)要(yao)采(cai)用(yong)文(wen)中(zhong)的(de)改(gai)進(jin)措(cuo)施(shi)來(lai)提(ti)高(gao)汽(qi)車(che)電(dian)子(zi)設(she)備(bei)的(de)電(dian)磁(ci)兼(jian)容(rong)性(xing)能(neng),測(ce)試(shi)表(biao)明(ming)改(gai)進(jin)效(xiao)果(guo)都(dou)比(bi)較(jiao)明(ming)顯(xian)。對(dui)大(da)多(duo)數(shu)電(dian)氣(qi)設(she)備(bei),增(zeng)強(qiang)電(dian)路(lu)濾(lv)波(bo)是(shi)比(bi)較(jiao)通(tong)用(yong)的(de)改(gai)進(jin)措(cuo)施(shi)。
- 噪聲中提取真值!瑞盟科技推出MSA2240電流檢測芯片賦能多元高端測量場景
- 10MHz高頻運行!氮矽科技發布集成驅動GaN芯片,助力電源能效再攀新高
- 失真度僅0.002%!力芯微推出超低內阻、超低失真4PST模擬開關
- 一“芯”雙電!聖邦微電子發布雙輸出電源芯片,簡化AFE與音頻設計
- 一機適配萬端:金升陽推出1200W可編程電源,賦能高端裝備製造
- 邊緣AI的發展為更智能、更可持續的技術鋪平道路
- 每台智能體PC,都是AI時代的新入口
- IAR作為Qt Group獨立BU攜兩項重磅汽車電子應用開發方案首秀北京車展
- 構建具有網絡彈性的嵌入式係統:來自行業領袖的洞見
- 數字化的線性穩壓器
- 車規與基於V2X的車輛協同主動避撞技術展望
- 數字隔離助力新能源汽車安全隔離的新挑戰
- 汽車模塊拋負載的解決方案
- 車用連接器的安全創新應用
- Melexis Actuators Business Unit
- Position / Current Sensors - Triaxis Hall




