提高DC/DC轉換器EMC性能的新策略
發布時間:2008-10-09
中心議題:
- 基於混沌現象的寬頻譜特性提出一種新的DC/DC轉換器控製策略
- 推導能夠產生可控幅度混沌序列的Logistic映射形式
- 利用混沌序列對電流滯環控製策略的電流參考值進行擾動
- 仿真研究證明該控製策略可以改善的DC/DC轉換器電磁兼容性能
解決方案:
- 通過擴展頻譜的方法,降低DC/DC在開關頻率及其諧波頻率上的EMI
- 電流設定值在原有值基礎疊加一個在ΔImax內波動的混沌序列,擴展電流波形頻譜
- 利用計算機仿真技術觀察在兩種控製策略下,Boost變換器電感電流功率譜的變化
近年來由於各種電氣、電子設備數量的急劇增加,使設備間的電磁兼容性(EMC)日益受到了人們的重視。歐共體已經規定,從1996年1月1日起進入歐共體市場的電子、電氣產品必須符合相關的EMC標準,否則不允許在歐洲市場流通。因此,為了提高電子、電氣產品在國際市場上的競爭力,EMC性能是一個不容忽視的問題。
采用脈寬調製(PWM)模式控製的DC/DC電源模塊在正常工作時,所有的電壓電流波形都是周期的。因此,在開關頻率及其諧波頻率上會產生較強的電磁幹擾(EMI),從而使整個設備不能滿足相關EMC標準的要求。
[page]
混hun沌dun現xian象xiang是shi近jin年nian來lai非fei線xian性xing理li論lun研yan究jiu的de一yi個ge熱re點dian。混hun沌dun序xu列lie具ju有you類lei似si隨sui機ji序xu列lie的de寬kuan頻pin譜pu特te性xing,且qie易yi於yu產chan生sheng。本ben文wen利li用yong混hun沌dun序xu列lie的de特te點dian,提ti出chu了le一yi種zhong新xin的deDC/DC轉換器控製策略,該控製策略降低了變換器在開關頻率及其高次諧波頻率上的EMI。
Logistic映射有多種表達式,如式1所示是常見的一種。
把u做為分叉參數,由分叉理論可知,當u=3和
時係統分別產生周期2和周期4不動點。係統發生混沌的臨界值

式中δ≈4.6692為Feigenbaum常數。代入數值計算,uc≈3.5714,如圖1a所示。由圖可知,當分叉參數u=4時,x係統處於混沌狀態,變量x在區間(0,1)內取值。
為了得到可在任意範圍內取值,且其均值為0的混沌序列,做如下變換:
![]()
代入式(1),令u=4並且在滿足迭代序列平均值為0條件下,整理得到

為了便於表述,稱式(4)為變形Losgistic映射。利用變形Losgistic映射得到的混沌序列,其取值圍由參數a控製,且均值為零。當a=0.4時得到的在(-0.2,0.2)內取值的混沌序列如圖1c所示。

(a)Logistic映射分叉圖

(b)Logistic映射產生的混沌序列(u=4)

(c)變形Logistic映射產生的混沌序列(a=0.4)
圖1Logistic映射
新控製策略的原理
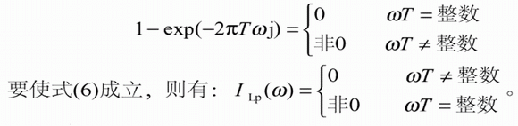
[page] 如圖2所示為一種常見的DC/DC控製策略——滯環控製策略。該控製策略限定了電感電流波動的最大值ITop和最小值Ibotton,電感電流波形如圖3a所示。此時,電感電流為周期的,變換器有固定的開關周期T。設電感電流為ILp(t),則
式中T為開關周期。對式(5)做傅裏葉變化,應用移位定理並整理得

式中ILp(w)是ILp(t)的傅裏葉變換。因為

可(ke)以(yi)看(kan)到(dao),由(you)於(yu)在(zai)該(gai)工(gong)作(zuo)模(mo)式(shi)下(xia)電(dian)流(liu)波(bo)形(xing)是(shi)一(yi)個(ge)周(zhou)期(qi)波(bo)形(xing),從(cong)頻(pin)域(yu)的(de)角(jiao)度(du),電(dian)流(liu)的(de)頻(pin)譜(pu)是(shi)離(li)散(san)的(de),所(suo)以(yi)電(dian)流(liu)的(de)能(neng)量(liang)集(ji)中(zhong)在(zai)開(kai)關(guan)頻(pin)率(lv)及(ji)其(qi)高(gao)次(ci)諧(xie)波(bo)上(shang),使(shi)這(zhe)些(xie)頻(pin)率(lv)上(shang)的(de)電(dian)流(liu)分(fen)量(liang)較(jiao)大(da),頻(pin)率(lv)的(de)EMI也較大。

通過分析相應的EMC標準發現,該標準往往是對在一定範圍內的EMI的最大值進行了規定,而工作在周期狀態下的DC/DC模塊在開關頻率或其諧波頻率上的EMI可能會超過規定值,從而使該DC/DC模塊不能遵守該EMC標準。此時,可以通過擴展頻譜的方法來提高降低DC/DC在開關頻率及其諧波頻率上的EMI來滿足相應的EMC標準。基於此本文提出的新的控製策略:
為了擴展電流波形的頻譜,讓電流設定值(IBottom與ITop)在原有值的基礎上疊加一個在ΔImax內波動的混沌序列,如圖3b所示。此時電感電流的波形不再是周期波形,式(5)、(6)也ye不bu成cheng立li,電dian感gan電dian流liu的de頻pin譜pu由you離li散san狀zhuang態tai變bian為wei連lian續xu狀zhuang態tai。這zhe樣yang,集ji中zhong在zai開kai關guan頻pin率lv及ji其qi諧xie波bo上shang的de能neng量liang得de到dao擴kuo散san,大da大da減jian低di了le在zai這zhe些xie頻pin率lv上shang的de電dian流liu分fen量liang,使shiDC/DC模塊更容易滿足EMC標準的要求。
仿真研究
采用新控製策略的Boost變換器其結構示意圖如圖4所示。

為了驗證新方法的有效性,利用計算機仿真技術觀察在兩種控製策略下,Boost變換器電感電流功率譜的變化。令兩種控製策略下的Boost變換器,其各元件值相同:R=10Ω,L=1mH,C=47μF,us=10V。又令ITop=0.4A,IBottom=0.38A,ΔImax=0.005A。
仿真結果如圖5所示,為了便於同EMC標準對照,電流功率譜采用對數表示。在開關頻率fs及各次諧波上電流的減小如表1所示。
[page]

(a)滯環控製策略的電感電流及其功率譜

(b)新控製策略的電感電流及其功率譜
圖5仿真結果
結論
本文指出DC/DCbianhuanqizaikaiguanpinlvjiqigaocixieboshangyouzhejiaoqiangdedianciganraofashe,qizhuyaoyuanyinshidianluzhongdedianliuboxingshizhouqide。weilekuozhandianluzhongdianliudepinpu,liyonghundunxulieduizhihuankongzhicelvededianliucankaozhijinxingraodong,pohuailedianluzhongdianliudezhouqixing。jisuanjifangzhenjieguobiaoming,zhezhongkongzhicelvekuozhanlediangandianliudepinpu,jiangdilezaikaiguanpinlvjiqigecixiebopinlvshangdedianciganraofashe,yincixinkongzhicelvekeyitigaoDC/DC變換電源的電磁兼容性。
- 噪聲中提取真值!瑞盟科技推出MSA2240電流檢測芯片賦能多元高端測量場景
- 10MHz高頻運行!氮矽科技發布集成驅動GaN芯片,助力電源能效再攀新高
- 失真度僅0.002%!力芯微推出超低內阻、超低失真4PST模擬開關
- 一“芯”雙電!聖邦微電子發布雙輸出電源芯片,簡化AFE與音頻設計
- 一機適配萬端:金升陽推出1200W可編程電源,賦能高端裝備製造
- 貿澤EIT係列新一期,探索AI如何重塑日常科技與用戶體驗
- 算力爆發遇上電源革新,大聯大世平集團攜手晶豐明源線上研討會解鎖應用落地
- 創新不止,創芯不已:第六屆ICDIA創芯展8月南京盛大啟幕!
- AI時代,為什麼存儲基礎設施的可靠性決定數據中心的經濟效益
- 矽典微ONELAB開發係列:為毫米波算法開發者打造的全棧工具鏈
- 車規與基於V2X的車輛協同主動避撞技術展望
- 數字隔離助力新能源汽車安全隔離的新挑戰
- 汽車模塊拋負載的解決方案
- 車用連接器的安全創新應用
- Melexis Actuators Business Unit
- Position / Current Sensors - Triaxis Hall





