識別線性放大器在不同的象限的輸入極性
發布時間:2021-04-07 責任編輯:lina
【導讀】在某些應用中需要線性放大器,且線性放大器在輸入訊號的極性方麵具有不同的增益。圖1顯示了一個反相放大器,該放大器在V OUT (V IN )平麵的第二和第四象限內呈線性,但其在第四象限的增益幅度高於第二象限。
在某些應用中需要線性放大器,且線性放大器在輸入訊號的極性方麵具有不同的增益。圖1顯示了一個反相放大器,該放大器在V OUT (V IN )平麵的第二和第四象限內呈線性,但其在第四象限的增益幅度高於第二象限。運算放大器IC1B用作差分放大器,其增益為:

分別在其反相和同相輸入端。這些增益是恒定的,並且與輸入訊號的極性無關。

圖1反相放大器在V out (V in )平麵的第二和第四象限內精確地呈線性,且在這些象限中具有不同的電壓增益。
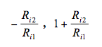
極性相關性是在圍繞IC1A構建的子電路中創建。該子電路實際上是一個已知的操作反相半整流器,它的負輸入輸出零電壓,而正輸入輸出的增益為:

反相半整流器的輸出連接至IC1B的同相輸入。因此,用於正極輸入的IC1B的輸出訊號V IN+為:

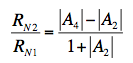
從正輸入極性所需的增益A4 = V OUT / V IN+ 開始,可以計算R N2 / R N1的比值,由於
的比率等於負輸入電壓所需的增益幅度V IN-:

對於圖1中提供的電阻值,增益的大小分別為1/3和1/2。
這裏的增益幅度小於1,但也可以大於1。唯一的限製是,第四象限的增益幅度高於第二象限的增益幅度,如圖2所示。相反地,如果需要在第二象限中獲得更高的增益,則隻需在半波整流器中更改兩個二極管的極性即可。

圖2放大器的理論V in -V out特性。
C i用作增益的頻率補償。該電路僅使用四分之一運算放大器的一半,其餘兩個放大器留作其他用途。
此設計用於補償電路,其中要補償的寄生脈衝因其極性而有不同幅度。

圖3 電路的輸出(紫色跡線)伴隨1kHz的三角輸入電壓波形(藍色跡線)。

圖4 已實現放大器的輸入-輸出(「 XY」)特性,第二和第四象限的電壓增益分別為-1/3和-1/2。
免責聲明:本文為轉載文章,轉載此文目的在於傳遞更多信息,版權歸原作者所有。本文所用視頻、圖片、文字如涉及作品版權問題,請電話或者郵箱聯係小編進行侵刪。
特別推薦
- 噪聲中提取真值!瑞盟科技推出MSA2240電流檢測芯片賦能多元高端測量場景
- 10MHz高頻運行!氮矽科技發布集成驅動GaN芯片,助力電源能效再攀新高
- 失真度僅0.002%!力芯微推出超低內阻、超低失真4PST模擬開關
- 一“芯”雙電!聖邦微電子發布雙輸出電源芯片,簡化AFE與音頻設計
- 一機適配萬端:金升陽推出1200W可編程電源,賦能高端裝備製造
技術文章更多>>
- 算力爆發遇上電源革新,大聯大世平集團攜手晶豐明源線上研討會解鎖應用落地
- 築基AI4S:摩爾線程全功能GPU加速中國生命科學自主生態
- 一秒檢測,成本降至萬分之一,光引科技把幾十萬的台式光譜儀“搬”到了手腕上
- AI服務器電源機櫃Power Rack HVDC MW級測試方案
- 突破工藝邊界,奎芯科技LPDDR5X IP矽驗證通過,速率達9600Mbps
技術白皮書下載更多>>
- 車規與基於V2X的車輛協同主動避撞技術展望
- 數字隔離助力新能源汽車安全隔離的新挑戰
- 汽車模塊拋負載的解決方案
- 車用連接器的安全創新應用
- Melexis Actuators Business Unit
- Position / Current Sensors - Triaxis Hall
熱門搜索



