用差分電路原理來分析輸出電壓為何要偏移
發布時間:2021-02-09 責任編輯:lina
【導讀】差分運算放大電路,對共模信號得到有效抑製,而隻對差分信號進行放大,因而得到廣泛的應用。
差分運算放大電路,對共模信號得到有效抑製,而隻對差分信號進行放大,因而得到廣泛的應用。
差分電路的電路構型

圖1 差分電路
目標處理電壓:是采集處理電壓,比如在係統中像母線電壓的采集處理,還有像交流電壓的采集處理等。
差分同相/反相分壓電阻:為了得到適合運放處理的電壓,需要將高壓信號進行分壓處理,如圖1中V1與V2兩端的電壓經過分壓處理,最終得到適合運放處理的電壓Vin+與Vin-。
差分放大電路:
反饋,對於運算放大電路來說,運放工作在線性區,所以這裏一定是負反饋,沒有反饋(開環)或(huo)者(zhe)是(shi)正(zheng)反(fan)饋(kui),那(na)是(shi)比(bi)較(jiao)器(qi)電(dian)路(lu)而(er)不(bu)是(shi)放(fang)大(da)電(dian)路(lu),這(zhe)時(shi)候(hou)運(yun)放(fang)工(gong)作(zuo)在(zai)飽(bao)和(he)區(qu)或(huo)稱(cheng)為(wei)非(fei)線(xian)性(xing)工(gong)作(zuo)區(qu),正(zheng)因(yin)為(wei)飽(bao)和(he),輸(shu)出(chu)才(cai)是(shi)電(dian)源(yuan)電(dian)壓(ya)的(de)幅(fu)值(zhi)。
圖2shiyizhongdaizhengfankuideyunfangdianlu,zhelijiubunengjiaoyunsuanfangdadianlule,yinweiyunfangdekaihuanfangdabeishulixiangshiwuxianda,dangranshijizhongbukenengwuxianda,suoyiruxiajiegoushichizhidianyabijiaoqi,yunfanggongzuozaifeixianxingquhuobaohequ。

圖2
圖3,依然是電壓比較器結構,上麵已經提到,運放開環增益很大,不帶負反饋,工作就如非線性區,當做電壓比較器來使用。

圖3
運算放大器,反饋電阻從輸出接到反相端"-"就是負反饋,當然在輸出信號不超過電源電壓時(注:一切信號的能量來源是電源,輸出當然不可能超過電源幅值),實現的功能就是放大信號的功能;接到同相端"+"就是正反饋,電路功能是電壓比較器。當然在實際當中我們並不提倡用運放去做電壓比較器,而是選用專用的比較器,如LM339、LM393、LM211等,因為比較器和運放在實際當中內部器件的工作狀態還是有區別的。
比較器接了限流電阻—"R74、R77",這是因為比較器在幅值切換時,快速上升或下降沿對後級容性負載進行充放電,這個充放電電流確來自這個有源器件—比較器,因此加限流電阻目的是防止電流衝擊。
RC濾波:可以酌情調節,目的是防止輸出過衝等信號失真問題
差分輸入電壓的計算
圖4電路,為了便於計算,我們給定每個阻值。
差分電路的另一個特點是對稱性,R40=R56及R47=R55,差分分壓兩個支路電阻也是相等的。

圖4
Vin+和Vin-的值是如何計算的?
我們先通過繁瑣的計算來得到,然後再簡化計算。
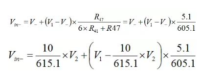
首先,運放的同相端5引腳和反相端6引腳,利用"虛短"得到,其中係數6是指6個100k的電阻,方便簡化式子:

那麼通過分壓關係得到Vin+:

再次通過分壓關係得到Vin-:

那麼就得到Vin+減Vin-的值。
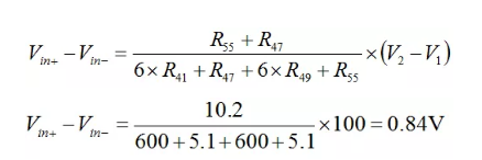
其實還有一種簡單方法得到Vin+減Vin-的值,利用運放的虛短特點,可將電路等效為:

圖5

圖6
所以要計算Vin+減Vin-的值,變得很容易,隻是一個簡單的分壓電路而已,如下計算得到:

得到差分電壓輸入值是0.84V。
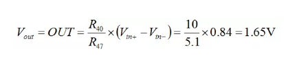
差分放大電路的計算

圖7
計算公式推導,依舊遵循運放的虛短和虛斷特性,當R56=R40,R47=R55時,差分計算可以簡化為:

實際應用電路中,我們為了簡化計算,也是用最簡方法計算,經常使用的電路也是上述電路,令電阻相等關係,簡化計算。
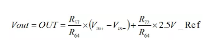
放大電路的"偏移計算"
為什麼要對輸出電壓進行偏移?這是因為如當采集負值時,我們的采樣芯片和MCU幾乎都不支持負值采樣的時候,你就必須進行偏移,使得輸出總是為正值。
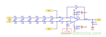
偏移電路,如圖8,在原來同相端電阻接地GND的地方,我們接一個電壓值,通常也稱為偏移電壓。那麼最終表達式是什麼?

圖8
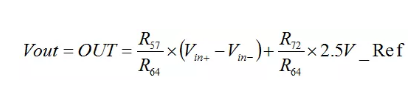
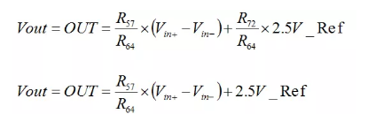
通過疊加定理最終得到:

這裏公式的成立,保證R64=R72,R73=R57,那麼最終得到偏移公式是在原來基礎上加個電壓偏移量2.5V_Ref:

隻要根據實際應用選擇合適的偏移量,輸出總會為一個正值。

圖9
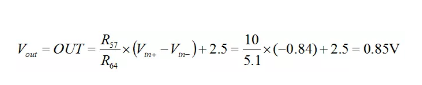
比如,圖9電路,輸入電壓變為-100V,那麼最終輸出電壓就為:

這樣就將負電壓偏移為正電壓,處理器符合處理器處理要求了,偏移電路在采集如交流電、以及存在負直流電壓的控製電路中廣泛使用。
免責聲明:本文為轉載文章,轉載此文目的在於傳遞更多信息,版權歸原作者所有。本文所用視頻、圖片、文字如涉及作品版權問題,請電話或者郵箱聯係小編進行侵刪。
特別推薦
- 噪聲中提取真值!瑞盟科技推出MSA2240電流檢測芯片賦能多元高端測量場景
- 10MHz高頻運行!氮矽科技發布集成驅動GaN芯片,助力電源能效再攀新高
- 失真度僅0.002%!力芯微推出超低內阻、超低失真4PST模擬開關
- 一“芯”雙電!聖邦微電子發布雙輸出電源芯片,簡化AFE與音頻設計
- 一機適配萬端:金升陽推出1200W可編程電源,賦能高端裝備製造
技術文章更多>>
- 築基AI4S:摩爾線程全功能GPU加速中國生命科學自主生態
- 一秒檢測,成本降至萬分之一,光引科技把幾十萬的台式光譜儀“搬”到了手腕上
- AI服務器電源機櫃Power Rack HVDC MW級測試方案
- 突破工藝邊界,奎芯科技LPDDR5X IP矽驗證通過,速率達9600Mbps
- 通過直接、準確、自動測量超低範圍的氯殘留來推動反滲透膜保護
技術白皮書下載更多>>
- 車規與基於V2X的車輛協同主動避撞技術展望
- 數字隔離助力新能源汽車安全隔離的新挑戰
- 汽車模塊拋負載的解決方案
- 車用連接器的安全創新應用
- Melexis Actuators Business Unit
- Position / Current Sensors - Triaxis Hall
熱門搜索





