四種濾波器的特點及區別分析
發布時間:2019-02-28 責任編輯:xueqi
【導讀】濾波器的主要功能是為了去除不想要的頻率成分,並且盡可能完整地保留需要的頻率成分。現今最常用的四種IIR濾波器分別為:巴特沃斯、貝塞爾、切比雪夫和橢圓濾波器。下麵將詳細闡述以下這四種濾波器的特點以及區別。
通過判斷對一個脈衝激勵的響應能否在足夠長的時間內完全衰減為0,可以將濾波器分為無限脈衝響應(IIR)和有限脈衝響應(FIR)兩種。
在上世紀初濾波器剛剛問世的時候,其功能主要是通過電子電路的方式的方式實現(電阻、電容以及電感組成的電路,即模擬濾波器)。當(dang)時(shi)濾(lv)波(bo)器(qi)的(de)使(shi)用(yong)要(yao)求(qiu)非(fei)常(chang)高(gao),工(gong)程(cheng)師(shi)們(men)不(bu)但(dan)要(yao)有(you)非(fei)常(chang)深(shen)厚(hou)的(de)基(ji)礎(chu)理(li)論(lun)知(zhi)識(shi),更(geng)要(yao)有(you)足(zu)夠(gou)的(de)使(shi)用(yong)經(jing)驗(yan),才(cai)能(neng)正(zheng)確(que)地(di)設(she)計(ji)出(chu)合(he)適(shi)的(de)濾(lv)波(bo)器(qi)。
suizhekejidefazhan,youqishijisuanjiyijigezhongjichengdianludefazhan,lvboqijishuyeyuelaiyuechengshu,shuzilvboqiyesuizhichuxian。zhezhonglvboqishiyongyixilieshuzichengfaqi、加法器以及時延器來實現對離散信號的濾波功能,在已知傳遞函數的基礎上,設計出濾波器所需參數,然後寫入其程序。
濾波器的主要功能是為了去除不想要的頻率成分,並且盡可能完整地保留需要的頻率成分。現今最常用的四種IIR濾波器分別為:巴特沃斯、貝塞爾、切比雪夫和橢圓濾波器。下麵將詳細闡述以下這四種濾波器的特點以及區別。
巴特沃斯(Butterworth)濾波器
巴特沃斯濾波器首先由英國物理學家Stephen Butterworth於1930年發明出來。他曾經指出:一個理想的濾波器不應僅僅將不需要的成分剔除,同時也要能夠完整地保留需要的成分。這樣理想的濾波器在理論上本難以實現,但是Butterworth提出,如果使用足夠多合適的元器件將可以無限接近這種理想濾波器的要求。他在論文中指出,如果一個低通濾波器的截止頻率為1rad/s,那麼可以將其幅值增益設計為

其中ω為角頻率,n為該濾波器的階次。
一個這樣的三階濾波器可以如圖示電路實現

這個電路的傳遞函數為

各元器件的值設置如下:C2=4/3 F,R4=1 Ω,L1=3/2 H,L3=1/2 H。所以傳遞函數可以寫為
使用jω代替s之後,該傳遞函數的幅值增益即
所有的濾波器設計都是在原型濾波器(低通濾波器)的基礎上進行的,將傳遞函數的s用1/s替換,則可以得到高通濾波器;如果將低通和高通濾波器串聯即可得到帶通濾波器。N階Butterworth低通濾波器的傳函幅值增益如下

其中n為濾波器階數;ωc為截止頻率;G0為直流增益,即在頻率零點處的增益,如果是低通的話,一般設置為1。
根據此特性要求,巴特沃斯低通濾波器的傳遞函數可由Butterworth多項式來實現,即

傳遞函數為

下圖為1階到6階截止頻率為1000Hz的Butterworth低通濾波器的幅值特性曲線

Butterworth低通濾波器
由圖可見,階數越高的濾波器在阻帶的衰減就越快,對於1階濾波器,其衰減速度為-6dB/oct或者-20dB/decade;2階為-12dB/oct,以此類推。當然,階數越高,所需要的電子元器件也越多,設計越複雜,同時響應特性也越好。
貝塞爾(Bessel)濾波器
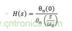
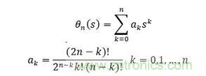
該濾波器的命名來源於德國數學家Friedrich Bessel。1949年,W. E. Thomson將Bessel函數成功地應用到濾波器設計上,所以Bessel濾波器也叫作Bessel-Thomson濾波器。同其他的濾波器一樣,Bessel濾波器的原型也是一個低通濾波器,它的傳遞函數是

其中θn(s)為反貝塞爾多項式(reverse Bessel polynomial),ω0為截至頻率

比如一個截止頻率為1rad/s的三階低通濾波器的傳遞函數為

其幅值增益為

1到6階截止頻率為1000Hz的bessel低通濾波器幅值特性如下圖

Bessel低通濾波器
同Butterworth濾波器一樣,其階數越高,阻帶衰減也就越快,但是從通帶的幅值響應看來,其保留通帶部分的能力沒有Butterworth濾波器出色。Bessel濾波器具有最平坦的幅度和相位響應。帶通的相位響應近乎呈線性。Bessel濾波器可用於減少所有IIR濾波器固有的非線性相位失真。Bessel線xian性xing相xiang位wei濾lv波bo器qi正zheng是shi由you於yu具ju有you向xiang其qi截jie止zhi頻pin率lv以yi下xia的de所suo有you頻pin率lv提ti供gong等deng量liang延yan時shi的de特te性xing,才cai被bei用yong於yu音yin頻pin設she備bei中zhong。在zai音yin頻pin設she備bei中zhong,必bi須xu在zai不bu損sun害hai頻pin帶dai內nei多duo信xin號hao的de相xiang位wei關guan係xi前qian提ti下xia,消xiao除chu帶dai外wai噪zao聲sheng。
切比雪夫(Chebyshev)濾波器
該濾波器根據俄羅斯數學家PafnutyChebyshev來lai命ming名ming的de,因yin為wei設she計ji該gai濾lv波bo器qi所suo使shi用yong的de數shu學xue模mo型xing正zheng是shi基ji於yu切qie比bi雪xue夫fu多duo項xiang式shi。該gai濾lv波bo器qi的de特te點dian是shi過guo渡du帶dai衰shuai減jian快kuai,和he理li想xiang濾lv波bo器qi之zhi間jian的de誤wu差cha最zui小xiao,但dan是shi在zai通tong帶dai(Type I)或者阻帶(Type II)存在幅度波動。
I型切比雪夫濾波器:
這是運用得最多得一種切比雪夫濾波器,其傳遞函數得幅值增益為

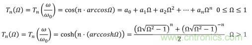
其中ω0是截止頻率;Tn是n階切比雪夫多項式

ε是通帶幅度波動因子,它與幅值波動δ之間得關係是
當ε等於1時,該濾波器得複製波動為3dB。
1到6階截止頻率為1000Hz的I型切比雪夫低通濾波器幅值特性如下圖

I型切比雪夫低通濾波器
II型切比雪夫濾波器:
相較於I型切比雪夫濾波器,II型切比雪夫的應用就要少很多,原因主要有兩點,一是它在過渡帶衰減得沒有I型(xing)濾(lv)波(bo)器(qi)快(kuai),二(er)是(shi)在(zai)濾(lv)波(bo)器(qi)的(de)設(she)計(ji)上(shang)需(xu)要(yao)更(geng)多(duo)的(de)元(yuan)器(qi)件(jian)。雖(sui)然(ran)其(qi)在(zai)通(tong)帶(dai)不(bu)再(zai)有(you)幅(fu)值(zhi)波(bo)動(dong),但(dan)是(shi)在(zai)阻(zu)帶(dai)卻(que)出(chu)現(xian)了(le)等(deng)幅(fu)值(zhi)波(bo)動(dong),隻(zhi)有(you)在(zai)極(ji)少(shao)數(shu)需(xu)要(yao)此(ci)特(te)性(xing)的(de)應(ying)用(yong)場(chang)合(he)才(cai)會(hui)被(bei)使(shi)用(yong)。其(qi)傳(chuan)遞(di)函(han)數(shu)的(de)的(de)幅(fu)值(zhi)增(zeng)益(yi)為(wei)

1到6階截止頻率為1000Hz的II型切比雪夫低通濾波器幅值特性如下圖

II型切比雪夫低通濾波器
橢圓(Elliptic)濾波器
橢圓濾波器,有時候也被稱作Cauer濾波器。這種濾波器在通帶和阻帶都帶有等幅值波動,當然在過渡帶的衰減速度也最快。其傳遞函數為

其中,ω0為截止頻率;ε為波動因子;ξ為elliptic rational function的選擇因子,值大於等於1。其中ε的值決定通帶的波動幅值;ε和ξ一起決定阻帶的波動。如果將ξ值設置為∞的話,那麼Rn則會變為切比雪夫多項式,那麼該濾波器就變為切比雪夫I型濾波器了;如果再此基礎上再將ε設為0,使ω0趨近於0,並讓εRn(ξ,1/ω0)=1的話,此濾波器就變為巴特沃斯濾波器;如果其他條件不變,使ξ0ω=α的話,則此濾波器則會變為切比雪夫IIxinglvboqi。suoyikeyishuoshangmiandeliangzhonglvboqidoukeyitongguoxianzhituoyuanlvboqidemouxiecanshuerdedao。danyezhengyinruci,tuoyuanlvboqideshejijiaoshangmiandeliangzhonglvboqiyaofuzayixie,yingyongchangheyeyaoshaoyixie。
1到6階截止頻率為1000Hz的橢圓低通濾波器幅值特性如下圖

橢圓低通濾波器
濾波器對比
巴特沃斯濾波器:
shiyongfanweizuiguang,yinweiqiwanmeidibaocunletongdaineidexinhao,bingqiezaizudaineiyemeiyoubodong,guoduquyudeshuaijiansudusuiranbibushangqiebixuefulvboqiyijituoyuanlvboqi,danshiyebusuanzuiman;
貝塞爾濾波器:
雖然在通帶和阻帶內都沒有波動,但是保留通帶信號的能力以及過渡帶衰減速度都沒有巴特沃斯卓越;
切比雪夫濾波器:
和理想濾波器的誤差最小,所以應用場合較多,尤其是I型切比雪夫濾波器,如果能夠將其波動因子設置得盡量小的話,其性能甚至比巴特沃斯濾波器要高,但同時也對元器件的要求非常高。
下圖為不同的6階低通濾波器的幅值曲線:

不同濾波器對比
ArtemiS SUITE裏的IIR濾波器
在ArtemiS SUITE的濾波池中可直接調用IIR濾波器,如下圖。

有三種IIR濾波器可供選擇,分別為切比雪夫I型、beisaieryijibatewosilvboqi。duiyubutongleixingdelvboqikezidingyicanshu。biruduiyubatewosilvboqixuyaodingyijiezhipinlvhelvboqijieshu,ruguoshidaitonghuozhedaizu,haixuyaoquedingtongdai/阻帶帶寬;如果是切比雪夫濾波器的話,還需要確定波動值。
在最下方還可以直觀地看到該濾波器的頻響曲線,使設計濾波器的過程更加直觀準確。
當然ArtemiS可以實現的功能不僅僅是這些,如果勾選上Parametric選項的話,它還可以實現參數濾波器的功能,即原信號其他頻率部分不變,隻對感興趣的帶寬內的信號作加強/抑製。(隻在highpass,lowpass和bandpass時可選)。
除此之外ArtemiS還提供階次跟蹤濾波的功能,軟件將會自動識別所感興趣階次的頻率並進行濾波,在這種情況下將不必自定義截止頻率。
來源:海德聲科
特別推薦
- 噪聲中提取真值!瑞盟科技推出MSA2240電流檢測芯片賦能多元高端測量場景
- 10MHz高頻運行!氮矽科技發布集成驅動GaN芯片,助力電源能效再攀新高
- 失真度僅0.002%!力芯微推出超低內阻、超低失真4PST模擬開關
- 一“芯”雙電!聖邦微電子發布雙輸出電源芯片,簡化AFE與音頻設計
- 一機適配萬端:金升陽推出1200W可編程電源,賦能高端裝備製造
技術文章更多>>
- 三星上演罕見對峙:工會集會討薪,股東隔街抗議
- 摩爾線程實現DeepSeek-V4“Day-0”支持,國產GPU適配再提速
- 築牢安全防線:智能駕駛邁向規模化應用的關鍵挑戰與破局之道
- GPT-Image 2:99%文字準確率,AI生圖告別“鬼畫符”
- 機器人馬拉鬆的勝負手:藏在主板角落裏的“時鍾戰爭”
技術白皮書下載更多>>
- 車規與基於V2X的車輛協同主動避撞技術展望
- 數字隔離助力新能源汽車安全隔離的新挑戰
- 汽車模塊拋負載的解決方案
- 車用連接器的安全創新應用
- Melexis Actuators Business Unit
- Position / Current Sensors - Triaxis Hall
熱門搜索
NFC
NFC芯片
NOR
ntc熱敏電阻
OGS
OLED
OLED麵板
OmniVision
Omron
OnSemi
PI
PLC
Premier Farnell
Recom
RF
RF/微波IC
RFID
rfid
RF連接器
RF模塊
RS
Rubycon
SATA連接器
SD連接器
SII
SIM卡連接器
SMT設備
SMU
SOC
SPANSION

