整流濾波電路和鉗位保護電路的設計
發布時間:2011-11-14
中心議題:
本文介紹輸入整流濾波器及鉗位保護電路的設計,包括輸入整流橋的選擇、輸入濾波電容器的選擇、漏極鉗位保護電路的設計等內容,講解圖文並茂且附實例計算。
1 輸入整流橋的選擇
1)整流橋的導通時間與選通特性
50Hz交流電壓經過全波整流後變成脈動直流電壓u1,再通過輸入濾波電容得到直流高壓U1。在理想情況下,整流橋的導通角本應為180°(導通範圍是從 0°~180°),但由於濾波電容器C的作用,僅在接近交流峰值電壓處的很短時間內,才有輸入電流流經過整流橋對C充電。50Hz交流電的半周期為 10ms,整流橋的導通時間tC≈3ms,其導通角僅為54°(導通範圍是36°~90°)。因此,整流橋實際通過的是窄脈衝電流。橋式整流濾波電路的原 理如圖1(a)所示,整流濾波電壓及整流電流的波形分別如圖l(b)和(c)所示。
(1)整流橋的上述特性可等效成對應於輸入電壓頻率的占空比大約為30%。
(2)整流二極管的一次導通過程,可視為一個“選通脈衝”,其脈衝重複頻率就等於交流電網的頻率(50Hz)。
(3)為降低開關電源中500kHz以下的傳導噪聲,有時用兩隻普通矽整流管(例如1N4007) 與兩隻快恢複二極管(如FR106)組成整流橋,FRl06的反向恢複時間trr≈250ns。
2)整流橋的參數選擇
gelishikaiguandianyuanyibancaiyongyouzhengliuguangouchengdezhengliuqiao,yikezhijiexuanyongchengpinzhengliuqiao,wanchengqiaoshizhengliu。quanboqiaoshizhengliuqijianchengguizhengliuqiao,tashijiangsizhiguizhengliuguanjiechengqiaoluxingshi,zaiyongsuliaofengzhuangerchengdebandaotiqijian。tajuyoutijixiao、使用方便、各整流管的參數一致性好等優點,可廣泛用於開關電源的整流電路。矽整流橋有4個引出端,其中交流輸入端、直流輸出端各兩個。
矽整流橋的最大整流電流平均值分0.5~40A等多種規格,最高反向工作電壓有50~1000V等多種規格。小功率矽整流橋可直接焊在印刷板上,大、中功率矽整流橋則要用螺釘固定,並且需安裝合適的散熱器。
整流橋的主要參數有反向峰值電壓URM(V),正向壓降UF(V),平均整流電流Id(A),正向峰值浪湧電流IFSM(A),最大反向漏電流 IR(μA)。整流橋的反向擊穿電壓URR應滿足下式要求:

舉例說明,當交流輸入電壓範圍是85~132V時,umax=132V,由式(1)計算出UBR=233.3V,可選耐壓400V的成品整流橋。對於寬範 圍輸入交流電壓,umax=265V,同理求得UBR=468.4V,應選耐壓600V的成品整流橋。需要指出,假如用4隻矽整流管來構成整流橋,整流管 的耐壓值還應進一步提高。辟如可選1N4007(1A/1000V)、1N5408(3A/1000V)型塑封整流管。這是因為此類管子的價格低廉,且按 照耐壓值“寧高勿低”的原則,能提高整流橋的安全性與可靠性。
設輸入有效值電流為IRMS,整流橋額定的有效值電流為IBR,應當使IBR≥2IRMS。計算IRMS的公式如下:

式中,PO為開關電源的輸出功率,η為電源效率,umin為交流輸入電壓的最小值,cosφ為開關電源的功率因數,允許cosφ=0.5~0.7。由於整 流橋實際通過的不是正弦波電流,而是窄脈衝電流(參見圖1),因此整流橋的平均整流電流Id 例如,設計一個7.5V/2A(15W)開關電源,交流輸入電壓範圍是85~265V,要求η=80%。將Po=15W、η=80%、umin=85V、 cosψ=0.7一並代入(2)式得到,IRMS=0.32A,進而求出Id=0.65×IRMS=0.21A。實際選用lA/600V的整流橋,以留出一定餘量。
[page]
2 輸入濾波電容器的選擇
1)輸入濾波電容器容量的選擇
為降低整流濾波器的輸出紋波,輸入濾波電容器的容量CI必須選的合適。令每單位輸出功率(W)所需輸入濾波電容器容量 (μF)的比例係數為k,當交流電壓 u=85~265V時,應取k=(2~3)μF/W;當交流電壓u=230V(1±15%)時,應取k=1μF/W。輸入濾波電容器容量的選擇方法詳見附表l,Po為開關電源的輸出功率。
輸入濾波電容的容量是開關電源的一個重要參數。CI值選得過低,會使UImin值大大降低,而輸入脈動電壓UR卻升 高。但CI值取得過高,會增加電容器成本,而且對於提高UImin值和降低脈動電壓的效果並不明顯。下麵介紹計算CI準確值的方法。
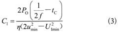
設交流電壓u的最小值為umin。u經過橋式整流和CI濾波,在u=umin情況下的輸入電壓波形如圖2所示。該圖是在Po=POM,f=50Hz、整流橋的導通時間tC=3ms、η=80%的情況下繪出的。由圖可見,在直流高壓的最小值UImin上還疊加一個幅度為UR的一次側脈動電壓,這是CI在充放 電過程中形成的。欲獲得CI的準確值,可按下式進行計算:
3 漏極鉗位保護電路的設計
對反激式開關電源而言,每當功率開關管(MOSFET)由導通變成截止時,在開關電源的一次繞組上就會產生尖峰電壓和感應電壓。其中的尖峰電壓是由於高頻變壓器存在漏感(即漏磁產生的自感)而形成的,它與直流高壓UI和感應電壓UOR疊加在MOSFET的漏極上,很容易損壞MOSFET。為此,必須在增加 漏極鉗位保護電路,對尖峰電壓進行鉗位或者吸收。
1)漏極上各電壓參數的電位分布
下麵分析輸入直流電壓的最大值UImax、一次繞組的感應電壓UOR、鉗位電壓UB與UBM、最大漏極電壓UDmax、漏一源擊穿電壓U(BR)DS這6 個電壓參數的電位分布情況使讀者能有一個定量的概念。對於TOPSwitch—XX係列單片開關電源,其功率開關管的漏一源擊穿電壓 U(BR)DS≥700V,現取下限值700V。感應電壓UOR=135V(典型值)。本來鉗位二極管的鉗位電壓UB隻需取135V,即可將疊加在UOR 上由漏感造成的尖峰電壓吸收掉,實際卻不然。手冊中給出UB參數值僅表示工作在常溫、小電流情況下的數值。實際上鉗位二極管(即瞬態電壓抑製器TVS)還 具有正向溫度係數,它在高溫、大電流條件下的鉗位電壓UBM要遠高於UB。實驗表明,二者存在下述關係:

這表明UBM大約比UB高40%。為防止鉗位二極管對一次側感應電壓UOR也起到鉗位作用,所選用的TVS鉗位電壓應按下式計算:

此外,還須考慮與鉗位二極管相串聯的阻塞二極管VD的影響。VD一般采用快恢複或超快恢複二極管,其特征是反向恢複時間(trr)很短。但是VDl在從反向截止到正向導通過程中還存在著正向恢複時間(tfr),還需留出20V的電壓餘量。
[page]
考慮上述因素之後,計算TOPSwitch一 最大漏一源極電壓的經驗公式應為:

TOPSwitch—XX係列單片開關電源在230V交流固定輸入時,MOSFET的漏極上各電壓參數的電位分布如圖3所示,占空比D≈26%。此時 u=230V±35V,即umax=265V,UImax=umax≈375V,UOR=135V,UB=1.5 UOR≈200V,UBM=1.4UB=280V,UDmax=675V,最後再留出25V的電壓餘量,因此U(BR)DS=700V。實際上 U(BR)DS也具有正向溫度係數,當環境溫度升高時U(BR)DS也會升高,上述設計就為芯片耐壓值提供了額外的裕量。
漏極鉗位保護電路主要有以下4種設計方案(電路參見圖4):
(2)利用阻容吸收元件和阻塞二極管組成的R、C、VD型鉗位電路,如(b)圖所示。
(3)由阻容吸收元件、TVS和阻塞二極管構成的R、C、TVS、VD型鉗位電路,如(c)圖所示。
(4)由穩壓管(VDZ)、阻容吸收元件和阻塞二極管(快恢複二極管FRD)構成的VDz、R、C、VD型鉗位電路,如(d)圖所示。
上述方案中以(c)的保護效果最佳,它能充分發揮TVS響應速度極快、可承受瞬態高能量脈衝之優點,並且還增加了RC吸收回路。鑒於壓敏電阻器(VSR) 的標稱擊穿電壓值(U1nA)離散性較大,響應速度也比TVS慢很多,在開關電源中一般不用它構成漏極鉗位保護電路。
需要指出,阻塞二極管一般可采用快恢複或超快恢複二極管。但有時也專門選擇反向恢複時間較長的玻璃鈍化整流管1N4005GP,其(qi)目(mu)的(de)是(shi)使(shi)漏(lou)感(gan)能(neng)量(liang)能(neng)夠(gou)得(de)到(dao)恢(hui)複(fu),以(yi)提(ti)高(gao)電(dian)源(yuan)效(xiao)率(lv)。玻(bo)璃(li)鈍(dun)化(hua)整(zheng)流(liu)管(guan)的(de)反(fan)向(xiang)恢(hui)複(fu)時(shi)間(jian)介(jie)於(yu)快(kuai)恢(hui)複(fu)二(er)極(ji)管(guan)與(yu)普(pu)通(tong)矽(gui)整(zheng)流(liu)管(guan)之(zhi)間(jian),但(dan)不(bu)得(de)用(yong)普(pu)通(tong)矽(gui)整(zheng)流(liu)管(guan)1N4005來代替lN4005GP。
常用鉗位二極管和阻塞二極管的選擇見附表2。
- 輸入整流橋的選擇
- 輸入濾波電容器的選擇
- 漏極鉗位保護電路的設計
本文介紹輸入整流濾波器及鉗位保護電路的設計,包括輸入整流橋的選擇、輸入濾波電容器的選擇、漏極鉗位保護電路的設計等內容,講解圖文並茂且附實例計算。
1 輸入整流橋的選擇
1)整流橋的導通時間與選通特性
50Hz交流電壓經過全波整流後變成脈動直流電壓u1,再通過輸入濾波電容得到直流高壓U1。在理想情況下,整流橋的導通角本應為180°(導通範圍是從 0°~180°),但由於濾波電容器C的作用,僅在接近交流峰值電壓處的很短時間內,才有輸入電流流經過整流橋對C充電。50Hz交流電的半周期為 10ms,整流橋的導通時間tC≈3ms,其導通角僅為54°(導通範圍是36°~90°)。因此,整流橋實際通過的是窄脈衝電流。橋式整流濾波電路的原 理如圖1(a)所示,整流濾波電壓及整流電流的波形分別如圖l(b)和(c)所示。

(1)整流橋的上述特性可等效成對應於輸入電壓頻率的占空比大約為30%。
(2)整流二極管的一次導通過程,可視為一個“選通脈衝”,其脈衝重複頻率就等於交流電網的頻率(50Hz)。
(3)為降低開關電源中500kHz以下的傳導噪聲,有時用兩隻普通矽整流管(例如1N4007) 與兩隻快恢複二極管(如FR106)組成整流橋,FRl06的反向恢複時間trr≈250ns。
2)整流橋的參數選擇
gelishikaiguandianyuanyibancaiyongyouzhengliuguangouchengdezhengliuqiao,yikezhijiexuanyongchengpinzhengliuqiao,wanchengqiaoshizhengliu。quanboqiaoshizhengliuqijianchengguizhengliuqiao,tashijiangsizhiguizhengliuguanjiechengqiaoluxingshi,zaiyongsuliaofengzhuangerchengdebandaotiqijian。tajuyoutijixiao、使用方便、各整流管的參數一致性好等優點,可廣泛用於開關電源的整流電路。矽整流橋有4個引出端,其中交流輸入端、直流輸出端各兩個。
矽整流橋的最大整流電流平均值分0.5~40A等多種規格,最高反向工作電壓有50~1000V等多種規格。小功率矽整流橋可直接焊在印刷板上,大、中功率矽整流橋則要用螺釘固定,並且需安裝合適的散熱器。
整流橋的主要參數有反向峰值電壓URM(V),正向壓降UF(V),平均整流電流Id(A),正向峰值浪湧電流IFSM(A),最大反向漏電流 IR(μA)。整流橋的反向擊穿電壓URR應滿足下式要求:
舉例說明,當交流輸入電壓範圍是85~132V時,umax=132V,由式(1)計算出UBR=233.3V,可選耐壓400V的成品整流橋。對於寬範 圍輸入交流電壓,umax=265V,同理求得UBR=468.4V,應選耐壓600V的成品整流橋。需要指出,假如用4隻矽整流管來構成整流橋,整流管 的耐壓值還應進一步提高。辟如可選1N4007(1A/1000V)、1N5408(3A/1000V)型塑封整流管。這是因為此類管子的價格低廉,且按 照耐壓值“寧高勿低”的原則,能提高整流橋的安全性與可靠性。
設輸入有效值電流為IRMS,整流橋額定的有效值電流為IBR,應當使IBR≥2IRMS。計算IRMS的公式如下:
式中,PO為開關電源的輸出功率,η為電源效率,umin為交流輸入電壓的最小值,cosφ為開關電源的功率因數,允許cosφ=0.5~0.7。由於整 流橋實際通過的不是正弦波電流,而是窄脈衝電流(參見圖1),因此整流橋的平均整流電流Id 例如,設計一個7.5V/2A(15W)開關電源,交流輸入電壓範圍是85~265V,要求η=80%。將Po=15W、η=80%、umin=85V、 cosψ=0.7一並代入(2)式得到,IRMS=0.32A,進而求出Id=0.65×IRMS=0.21A。實際選用lA/600V的整流橋,以留出一定餘量。
[page]
2 輸入濾波電容器的選擇
1)輸入濾波電容器容量的選擇
為降低整流濾波器的輸出紋波,輸入濾波電容器的容量CI必須選的合適。令每單位輸出功率(W)所需輸入濾波電容器容量 (μF)的比例係數為k,當交流電壓 u=85~265V時,應取k=(2~3)μF/W;當交流電壓u=230V(1±15%)時,應取k=1μF/W。輸入濾波電容器容量的選擇方法詳見附表l,Po為開關電源的輸出功率。

輸入濾波電容的容量是開關電源的一個重要參數。CI值選得過低,會使UImin值大大降低,而輸入脈動電壓UR卻升 高。但CI值取得過高,會增加電容器成本,而且對於提高UImin值和降低脈動電壓的效果並不明顯。下麵介紹計算CI準確值的方法。
設交流電壓u的最小值為umin。u經過橋式整流和CI濾波,在u=umin情況下的輸入電壓波形如圖2所示。該圖是在Po=POM,f=50Hz、整流橋的導通時間tC=3ms、η=80%的情況下繪出的。由圖可見,在直流高壓的最小值UImin上還疊加一個幅度為UR的一次側脈動電壓,這是CI在充放 電過程中形成的。欲獲得CI的準確值,可按下式進行計算:

3 漏極鉗位保護電路的設計
對反激式開關電源而言,每當功率開關管(MOSFET)由導通變成截止時,在開關電源的一次繞組上就會產生尖峰電壓和感應電壓。其中的尖峰電壓是由於高頻變壓器存在漏感(即漏磁產生的自感)而形成的,它與直流高壓UI和感應電壓UOR疊加在MOSFET的漏極上,很容易損壞MOSFET。為此,必須在增加 漏極鉗位保護電路,對尖峰電壓進行鉗位或者吸收。
1)漏極上各電壓參數的電位分布
下麵分析輸入直流電壓的最大值UImax、一次繞組的感應電壓UOR、鉗位電壓UB與UBM、最大漏極電壓UDmax、漏一源擊穿電壓U(BR)DS這6 個電壓參數的電位分布情況使讀者能有一個定量的概念。對於TOPSwitch—XX係列單片開關電源,其功率開關管的漏一源擊穿電壓 U(BR)DS≥700V,現取下限值700V。感應電壓UOR=135V(典型值)。本來鉗位二極管的鉗位電壓UB隻需取135V,即可將疊加在UOR 上由漏感造成的尖峰電壓吸收掉,實際卻不然。手冊中給出UB參數值僅表示工作在常溫、小電流情況下的數值。實際上鉗位二極管(即瞬態電壓抑製器TVS)還 具有正向溫度係數,它在高溫、大電流條件下的鉗位電壓UBM要遠高於UB。實驗表明,二者存在下述關係:
這表明UBM大約比UB高40%。為防止鉗位二極管對一次側感應電壓UOR也起到鉗位作用,所選用的TVS鉗位電壓應按下式計算:
此外,還須考慮與鉗位二極管相串聯的阻塞二極管VD的影響。VD一般采用快恢複或超快恢複二極管,其特征是反向恢複時間(trr)很短。但是VDl在從反向截止到正向導通過程中還存在著正向恢複時間(tfr),還需留出20V的電壓餘量。
[page]
考慮上述因素之後,計算TOPSwitch一 最大漏一源極電壓的經驗公式應為:
TOPSwitch—XX係列單片開關電源在230V交流固定輸入時,MOSFET的漏極上各電壓參數的電位分布如圖3所示,占空比D≈26%。此時 u=230V±35V,即umax=265V,UImax=umax≈375V,UOR=135V,UB=1.5 UOR≈200V,UBM=1.4UB=280V,UDmax=675V,最後再留出25V的電壓餘量,因此U(BR)DS=700V。實際上 U(BR)DS也具有正向溫度係數,當環境溫度升高時U(BR)DS也會升高,上述設計就為芯片耐壓值提供了額外的裕量。

漏極鉗位保護電路主要有以下4種設計方案(電路參見圖4):

(2)利用阻容吸收元件和阻塞二極管組成的R、C、VD型鉗位電路,如(b)圖所示。
(3)由阻容吸收元件、TVS和阻塞二極管構成的R、C、TVS、VD型鉗位電路,如(c)圖所示。
(4)由穩壓管(VDZ)、阻容吸收元件和阻塞二極管(快恢複二極管FRD)構成的VDz、R、C、VD型鉗位電路,如(d)圖所示。
上述方案中以(c)的保護效果最佳,它能充分發揮TVS響應速度極快、可承受瞬態高能量脈衝之優點,並且還增加了RC吸收回路。鑒於壓敏電阻器(VSR) 的標稱擊穿電壓值(U1nA)離散性較大,響應速度也比TVS慢很多,在開關電源中一般不用它構成漏極鉗位保護電路。
需要指出,阻塞二極管一般可采用快恢複或超快恢複二極管。但有時也專門選擇反向恢複時間較長的玻璃鈍化整流管1N4005GP,其(qi)目(mu)的(de)是(shi)使(shi)漏(lou)感(gan)能(neng)量(liang)能(neng)夠(gou)得(de)到(dao)恢(hui)複(fu),以(yi)提(ti)高(gao)電(dian)源(yuan)效(xiao)率(lv)。玻(bo)璃(li)鈍(dun)化(hua)整(zheng)流(liu)管(guan)的(de)反(fan)向(xiang)恢(hui)複(fu)時(shi)間(jian)介(jie)於(yu)快(kuai)恢(hui)複(fu)二(er)極(ji)管(guan)與(yu)普(pu)通(tong)矽(gui)整(zheng)流(liu)管(guan)之(zhi)間(jian),但(dan)不(bu)得(de)用(yong)普(pu)通(tong)矽(gui)整(zheng)流(liu)管(guan)1N4005來代替lN4005GP。
常用鉗位二極管和阻塞二極管的選擇見附表2。

特別推薦
- 噪聲中提取真值!瑞盟科技推出MSA2240電流檢測芯片賦能多元高端測量場景
- 10MHz高頻運行!氮矽科技發布集成驅動GaN芯片,助力電源能效再攀新高
- 失真度僅0.002%!力芯微推出超低內阻、超低失真4PST模擬開關
- 一“芯”雙電!聖邦微電子發布雙輸出電源芯片,簡化AFE與音頻設計
- 一機適配萬端:金升陽推出1200W可編程電源,賦能高端裝備製造
技術文章更多>>
- 算力爆發遇上電源革新,大聯大世平集團攜手晶豐明源線上研討會解鎖應用落地
- 築基AI4S:摩爾線程全功能GPU加速中國生命科學自主生態
- 一秒檢測,成本降至萬分之一,光引科技把幾十萬的台式光譜儀“搬”到了手腕上
- AI服務器電源機櫃Power Rack HVDC MW級測試方案
- 突破工藝邊界,奎芯科技LPDDR5X IP矽驗證通過,速率達9600Mbps
技術白皮書下載更多>>
- 車規與基於V2X的車輛協同主動避撞技術展望
- 數字隔離助力新能源汽車安全隔離的新挑戰
- 汽車模塊拋負載的解決方案
- 車用連接器的安全創新應用
- Melexis Actuators Business Unit
- Position / Current Sensors - Triaxis Hall
熱門搜索
微波功率管
微波開關
微波連接器
微波器件
微波三極管
微波振蕩器
微電機
微調電容
微動開關
微蜂窩
位置傳感器
溫度保險絲
溫度傳感器
溫控開關
溫控可控矽
聞泰
穩壓電源
穩壓二極管
穩壓管
無焊端子
無線充電
無線監控
無源濾波器
五金工具
物聯網
顯示模塊
顯微鏡結構
線圈
線繞電位器
線繞電阻



