能讓檢測設備擺脫電池的熱能收集技術
發布時間:2023-01-11 來源:作者:Maurizio Di Paolo Emilio 責任編輯:lina
【導讀】能量收集(energy harvesting)是指從環境或係統本身,收集為電子設備供電所需的能量;更具體地說,熱能收集是將收集自發熱源的熱能,轉化為電能。
能量收集是指從環境或係統本身,收集為電子設備供電所需的能量;更具體地說,熱能收集是將收集自發熱源的熱能,轉化為電能。
熱能收集的好處包括:
可望免除配備電池,這對於便攜設備和低功耗應用來說尤其重要。
可望打造自給自足(從能源角度來看) 的物聯網設備;這對開發不必利用充電電池即可連續運行的獨立、移動設備至關重要。通過降低維護和電池更換的需求,熱能收集可支持應用於偏遠地區或大城市基礎建設中不易觸及的智能檢測設備。
可望為醫療和消費性應用帶來打造全新可穿戴解決方案的機會。
發展綠色能源技術,以減少石化燃料的使用與降低溫室氣體排放量。
應用
能neng量liang收shou集ji技ji術shu可ke用yong於yu為wei各ge種zhong傳chuan感gan器qi和he電dian子zi設she備bei提ti供gong自zi主zhu可ke再zai生sheng能neng源yuan,使shi其qi能neng夠gou利li用yong溫wen差cha產chan生sheng能neng量liang。利li用yong效xiao率lv越yue來lai越yue高gao的de元yuan器qi件jian,將jiang為wei充chong分fen利li用yong熱re能neng收shou集ji的de新xin解jie決jue方fang案an鋪pu路lu。
zaikechuandaixitongzhong,yongyurenengshoujijishudeyigeyouqufangfashiliyongrenenglaichanshengyixiexiaodianliu,zheshijishangliyongdeshirentiwenduhehuanjingwenduzhijiandewenducha。wulunshizaiziranhuanjinghaishirengonghuanjingzhong,daochudoucunzaiwenducha。liyongzhexiewenchahuotidudoukeyichanshengredianneng。
熱能
根據能量守恒的物理定律,能量可能會從某種形式轉變為另一種形式;因此從各種環境能源中取得能量是有可能的。
在人們生活周圍的環境中,充滿了溫度和熱量的變化。發動機廢氣產生的熱、土壤產生的地熱、鋼鐵廠冷卻水產生的熱,以及其他工業運轉都是典型案例。利用熱電發電機(TEG)和其他一些電子設備,就可以把熱能轉化為電能,還可以將之保留於儲存設備中。TEG的基本原理是將熱流(由溫差引起)轉換為電能,非常適合體積通常非常小、沒有移動部件(固態)的低功耗嵌入式設備。
塞貝克效應
塞貝克效應(Seebeck effect,又稱第一熱電效應)是在某種材料兩側之間存在溫度梯度時,電壓因此產生的過程。TEG的基本組件是PN結,由熱電材料P型半導體和N型半導體的單結構組成,每個結構電氣串聯連接,並摻雜硼(P型半導體)和磷(N型半導體)等雜質。

圖1:TEG本質上就是一個具有冷(c)熱(h)兩個表麵的珀爾帖電池(Peltier cell)。
(來源:Power Electronics News)
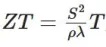
TEG模塊的基本功能區塊是幾個串聯的PN對,PN對在此配置中平行排列,以產生與溫度梯度成比例的電壓。要正常運作,設備的熱(Th)側和冷(Tc)側必須處於不同的溫度。熱電材料的性能──由熱電優值(thermoelectric figure of merit) ZT測得──通過以下公式計算:
![]()
公式中,S是塞貝克係數,ρ是電阻率,λ是熱導率,而T是測量熱電性能的溫度。ZT是在給定溫度梯度下可產生的電能的量:材料的ZT值越高,熱電性能越好。通過增加功率因數PF (PF=S2÷ρ),或降低熱導率λ(λ=λe+λph)──λe和λph分別表示電子和聲子(phononic)的貢獻──都可以提高既定材料的熱電性能。
塞貝克係數、dianzulvheredaolvshijuedingreguochengxiaolvdesangeyinsu。zhesangejibutongqueyouxianghuyicundewulitexing,gongtonggoujianzhuoyuexingneng。yinci,hennanhuobukenengzaibusunhailingyigedeqingkuangxia,gaijinqizhongrenheyige。weiyikeyiziyoutiaojieerbuhuiduiqitaliangchanshengyingxiangdeliangshiλph(T);因此,縮小尺寸是提高整體效率最有效的策略。
材料
以yi電dian池chi為wei基ji礎chu的de解jie決jue方fang案an每mei天tian都dou在zai變bian得de更geng有you效xiao率lv也ye更geng小xiao,對dui於yu一yi些xie低di功gong耗hao應ying用yong,如ru物wu聯lian網wang傳chuan感gan器qi,再zai進jin一yi步bu提ti高gao電dian池chi壽shou命ming已yi不bu太tai可ke能neng。因yin此ci,這zhe些xie設she備bei將jiang從cong能neng量liang收shou集ji技ji術shu中zhong受shou益yi匪fei淺qian。對dui能neng量liang收shou集ji的de興xing趣qu引yin發fa了le互hu補bu技ji術shu的de發fa展zhan,包bao括kuo皮pi瓦wa等deng級ji超chao低di功gong率lv微wei電dian子zi組zu件jian和he超chao級ji冷leng凝ning器qi(supercondenser)。
一yi種zhong優you異yi的de熱re電dian材cai料liao必bi須xu具ju有you較jiao強qiang的de塞sai貝bei克ke效xiao應ying,導dao電dian性xing能neng應ying該gai盡jin可ke能neng地di好hao,而er導dao熱re特te性xing則ze應ying該gai盡jin可ke能neng地di差cha。但dan很hen難nan找zhao到dao一yi種zhong符fu合he所suo有you這zhe些xie要yao求qiu的de材cai料liao,因yin為wei導dao電dian性xing和he導dao熱re性xing通tong常chang是shi齊qi頭tou並bing進jin的de。
研究人員最近成功開發了一種ZT值在5~6之間的新型材料,由鐵、釩、鎢(wu)和(he)鋁(lv)的(de)薄(bo)層(ceng)組(zu)成(cheng),可(ke)應(ying)用(yong)於(yu)矽(gui)晶(jing)體(ti),可(ke)望(wang)為(wei)傳(chuan)感(gan)器(qi)電(dian)源(yuan)行(xing)業(ye)帶(dai)來(lai)革(ge)命(ming)性(xing)的(de)變(bian)化(hua),使(shi)傳(chuan)感(gan)器(qi)能(neng)夠(gou)從(cong)環(huan)境(jing)中(zhong)自(zi)行(xing)發(fa)電(dian)。根(gen)據(ju)可(ke)用(yong)的(de)溫(wen)度(du)梯(ti)度(du),TEG每平方厘米可產生20μW~10mW的功率。
設計技巧
目前市場上已有幾款適用熱能收集的集成電路,包括TI的BQ25570,能夠從TEG中提取微瓦到毫瓦級的功率,還有比利時e-peas的AEM10941,以及ADI和Renesas的其他IC。BQ25570整合了電源管理係統,通過使用雙電路來提高電壓,同時防止電池過充或爆炸。所收集的能量則可以儲存在可充電鋰離子電池、薄膜電池、超級電容器或傳統電容器中。
chaojidianrongqishinengliangshoujibeiyouxiaoyingyongdejishuqianti,tamenshijuyoujigaorongliangdedianrongqi,tongshijuyoudianjiedianrongqihekechongdiandianchidegongnengtexing。raner,tamenmeidanweitijihuozhiliangdenengliangchucunliang,bidianjiedianrongqiduo10倍、甚至是100倍,電荷累積速度遠高於充電電池的典型速度,充放電循環次數也比可充電電池更多。
當TEG板之間存在足夠的溫差,從而在其端子上產生電壓時,熱點轉換程序就會開始。BQ25570包括一個升壓充電器和一個納米功率降壓轉換器(參考圖2),可以提取功率,功率大小根據溫差而變化,從μW到mW級不等。由於內置升壓轉換器,輸出電壓隨後被升壓到3.3V,效率可達93%。

圖2:BQ25570超低功率收集器PMIC電路圖。
(來源:TI)
有兩種方法可以儲存能量收集來的電力:使用電容器或電池來儲存電荷。當使用傳統電容器或超級電容器時,有一些指南可幫助設計工程師做選擇:
選擇低ESR (<200mΩ)的電容。
1.2V時的泄漏電流必須小於1μA。
大型電容器充電較慢,但可以儲存大量電荷;另一方麵,小型電容充電非常快,增加了啟動時間。
取決於應用,電容值可通過以下公式求得:
C = 15×VOUT×IOUT×TON
其中,VOUT是能量收集傳感器的輸出電壓,IOUT是來自能量收集傳感器的平均輸出電流,TON是IC接通時間。如果傳感器無法提供足夠電力,儲存電容器能讓係統維持一定時間。
熱(re)電(dian)能(neng)量(liang)收(shou)集(ji)器(qi)的(de)功(gong)率(lv)調(tiao)節(jie)也(ye)非(fei)常(chang)重(zhong)要(yao),即(ji)使(shi)以(yi)最(zui)大(da)功(gong)率(lv)運(yun)作(zuo),熱(re)電(dian)產(chan)生(sheng)器(qi)的(de)輸(shu)出(chu)電(dian)壓(ya)也(ye)很(hen)小(xiao),因(yin)為(wei)它(ta)的(de)電(dian)壓(ya)很(hen)低(di)。當(dang)能(neng)量(liang)收(shou)集(ji)器(qi)為(wei)電(dian)池(chi)充(chong)電(dian)時(shi),電(dian)源(yuan)調(tiao)節(jie)電(dian)路(lu)會(hui)保(bao)護(hu)電(dian)池(chi)避(bi)免(mian)過(guo)充(chong)。同(tong)樣(yang),當(dang)溫(wen)度(du)變(bian)化(hua)時(shi),功(gong)率(lv)調(tiao)節(jie)用(yong)於(yu)穩(wen)定(ding)輸(shu)出(chu)電(dian)壓(ya)。
通過許多因素,包括輸入阻抗、功率控製和濾波,調節電路在能量收集係統中扮演關鍵角色。換能器(無論是熱、太陽光電還是振動發電源)、電源調節電路、微控製器和儲存設備(超級電容器)都是不可或缺的組件。
(本文編譯自EDN姊妹網站EE Times美國版,參考鏈接:New Thermoelectric Material Has Huge IoT Potential)
免責聲明:本文為轉載文章,轉載此文目的在於傳遞更多信息,版權歸原作者所有。本文所用視頻、圖片、文字如涉及作品版權問題,請聯係小編進行處理。
推薦閱讀:
- 噪聲中提取真值!瑞盟科技推出MSA2240電流檢測芯片賦能多元高端測量場景
- 10MHz高頻運行!氮矽科技發布集成驅動GaN芯片,助力電源能效再攀新高
- 失真度僅0.002%!力芯微推出超低內阻、超低失真4PST模擬開關
- 一“芯”雙電!聖邦微電子發布雙輸出電源芯片,簡化AFE與音頻設計
- 一機適配萬端:金升陽推出1200W可編程電源,賦能高端裝備製造
- 築基AI4S:摩爾線程全功能GPU加速中國生命科學自主生態
- 一秒檢測,成本降至萬分之一,光引科技把幾十萬的台式光譜儀“搬”到了手腕上
- AI服務器電源機櫃Power Rack HVDC MW級測試方案
- 突破工藝邊界,奎芯科技LPDDR5X IP矽驗證通過,速率達9600Mbps
- 通過直接、準確、自動測量超低範圍的氯殘留來推動反滲透膜保護
- 車規與基於V2X的車輛協同主動避撞技術展望
- 數字隔離助力新能源汽車安全隔離的新挑戰
- 汽車模塊拋負載的解決方案
- 車用連接器的安全創新應用
- Melexis Actuators Business Unit
- Position / Current Sensors - Triaxis Hall



