淺談各類MOSFET電路
發布時間:2018-07-20 責任編輯:lina
【導讀】功率 MOSFET 正向導通時可用一電阻等效,該電阻與溫度有關,溫度升高,該電阻變大;它還與門極驅動電壓的大小有關,驅動電壓升高,該電阻變小。MOSFET電路有各式各樣,你了解的有多少呢?看完本文,讓你吃透各類MOSFET電路,這是很難得的資料哦!
功率 MOSFET 正向導通時可用一電阻等效,該電阻與溫度有關,溫度升高,該電阻變大;它還與門極驅動電壓的大小有關,驅動電壓升高,該電阻變小。MOSFET電路有各式各樣,你了解的有多少呢?看完本文,讓你吃透各類MOSFET電路,這是很難得的資料哦!
功率MOSFET的正向導通等效電路
(1):等效電路

(2):說明:
功率 MOSFET 正向導通時可用一電阻等效,該電阻與溫度有關,溫度升高,該電阻變大;它還與門極驅動電壓的大小有關,驅動電壓升高,該電阻變小。詳細的關係曲線可從製造商的手冊中獲得。
功率MOSFET的反向導通等效電路(1)
(1):等效電路(門極不加控製)

(2):說明:
即內部二極管的等效電路,可用一電壓降等效,此二極管為MOSFET 的體二極管,多數情況下,因其特性很差,要避免使用。
功率MOSFET的反向導通等效電路(2)
(1):等效電路(門極加控製)

(2):說明:
功率 MOSFET 在門級控製下的反向導通,也可用一電阻等效,該電阻與溫度有關,溫度升高,該電阻變大;它還與門極驅動電壓的大小有關,驅動電壓升高,該電阻變小。詳細的關係曲線可從製造商的手冊中獲得。此工作狀態稱為MOSFET 的同步整流工作,是低壓大電流輸出開關電源中非常重要的一種工作狀態。
功率MOSFET的正向截止等效電路
(1):等效電路

(2):說明:
功率 MOSFET 正向截止時可用一電容等效,其容量與所加的正向電壓、環境溫度等有關,大小可從製造商的手冊中獲得。
功率MOSFET的穩態特性總結
(1):功率MOSFET 穩態時的電流/電壓曲線

(2):說明:
功率 MOSFET 正向飽和導通時的穩態工作點:

當門極不加控製時,其反向導通的穩態工作點同二極管。
(3):穩態特性總結:
-- 門極與源極間的電壓Vgs 控製器件的導通狀態;當Vgs<Vth時,器件處於斷開狀態,Vth一般為 3V;當Vgs>Vth時,器件處於導通狀態;器件的通態電阻與Vgs有關,Vgs大,通態電阻小;多數器件的Vgs為 12V-15V ,額定值為+-30V;
-- 器件的漏極電流額定是用它的有效值或平均值來標稱的;隻要實際的漏極電流有效值沒有超過其額定值,保證散熱沒問題,則器件就是安全的;
-- 器件的通態電阻呈正溫度係數,故原理上很容易並聯擴容,但實際並聯時,還要考慮驅動的對稱性和動態均流問題;
-- 目前的 Logic-Level的功率 MOSFET,其Vgs隻要 5V,便可保證漏源通態電阻很小;
-- 器件的同步整流工作狀態已變得愈來愈廣泛,原因是它的通態電阻非常小(目前最小的為2-4 毫歐),在低壓大電流輸出的DC/DC 中已是最關鍵的器件;
包含寄生參數的功率MOSFET等效電路
(1):等效電路

(2):說明:
實際的功率MOSFET 可用三個結電容,三個溝道電阻,和一個內部二極管及一個理想MOSFET 來等效。三個結電容均與結電壓的大小有關,而門極的溝道電阻一般很小,漏極和源極的兩個溝道電阻之和即為MOSFET 飽和時的通態電阻。
功率MOSFET的開通和關斷過程原理
(1):開通和關斷過程實驗電路

(2):MOSFET 的電壓和電流波形:

(3):開關過程原理:
開通過程[ t0 ~ t4 ]:
-- 在 t0 前,MOSFET 工作於截止狀態,t0 時,MOSFET 被驅動開通;
-- [t0-t1]區間,MOSFET 的GS 電壓經Vgg 對Cgs充電而上升,在t1時刻,到達維持電壓Vth,MOSFET 開始導電;
-- [t1-t2]區間,MOSFET 的DS 電流增加,Millier 電容在該區間內因DS 電容的放電而放電,對GS 電容的充電影響不大;
-- [t2-t3]區間,至t2 時刻,MOSFET 的DS 電壓降至與Vgs 相同的電壓,Millier 電容大大增加,外部驅動電壓對Millier 電容進行充電,GS 電容的電壓不變,Millier 電容上電壓增加,而DS電容上的電壓繼續減小;
-- [t3-t4]區間,至t3 時刻,MOSFET 的DS 電壓降至飽和導通時的電壓,Millier 電容變小並和GS 電容一起由外部驅動電壓充電,GS 電容的電壓上升,至t4 時刻為止。此時GS 電容電壓已達穩態,DS 電壓也達最小,即穩定的通態壓降。
關斷過程[ t5 ~t9 ]:
-- 在 t5 前,MOSFET 工作於導通狀態, t5 時,MOSFET 被驅動關斷;
-- [t5-t6]區間,MOSFET 的Cgs 電壓經驅動電路電阻放電而下降,在t6 時刻,MOSFET 的通態電阻微微上升,DS 電壓梢稍增加,但DS 電流不變;
-- [t6-t7]區間,在t6 時刻,MOSFET 的Millier 電容又變得很大,故GS 電容的電壓不變,放電電流流過Millier 電容,使DS 電壓繼續增加;
-- [t7-t8]區間,至t7 時刻,MOSFET 的DS 電壓升至與Vgs 相同的電壓,Millier 電容迅速減小,GS 電容開始繼續放電,此時DS 電容上的電壓迅速上升,DS 電流則迅速下降;
-- [t8-t9]區間,至t8 時刻,GS 電容已放電至Vth,MOSFET 完全關斷;該區間內GS 電容繼續放電直至零。
因二極管反向恢複引起的MOSFET開關波形
(1):實驗電路

(2):因二極管反向恢複引起的MOSFET 開關波形:

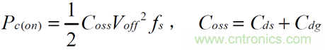
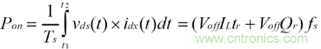
功率MOSFET的功率損耗公式
(1):導通損耗:

該公式對控製整流和同步整流均適用

該公式在體二極管導通時適用
(2):容性開通和感性關斷損耗:


為MOSFET 器件與二極管回路中的所有分布電感隻和。一般也可將這個損耗看成器件的感性關斷損耗。
(3):開關損耗:
開通損耗:

考慮二極管反向恢複後:

關斷損耗:

驅動損耗:

功率MOSFET的選擇原則與步驟
(1):選擇原則
(A):根據電源規格,合理選擇MOSFET 器件(見下表):
(B):選擇時,如工作電流較大,則在相同的器件額定參數下,
-- 應盡可能選擇正向導通電阻小的 MOSFET;
-- 應盡可能選擇結電容小的 MOSFET。

(2):選擇步驟
(A):根據電源規格,計算所選變換器中MOSFET 的穩態參數:
-- 正向阻斷電壓最大值;
-- 最大的正向電流有效值;
(B):從器件商的DATASHEET 中選擇合適的MOSFET,可多選一些以便實驗時比較;
(C):從所選的MOSFET 的其它參數,如正向通態電阻,結電容等等,估算其工作時的最大損耗,與其它元器件的損耗一起,估算變換器的效率;
(D):由實驗選擇最終的MOSFET 器件。
理想開關的基本要求
(1):符號

(2):要求
(A):穩態要求:
合上 K 後
-- 開關兩端的電壓為零;
-- 開關中的電流有外部電路決定;
-- 開關電流的方向可正可負;
-- 開關電流的容量無限。
斷開 K 後
-- 開關兩端承受的電壓可正可負;
-- 開關中的電流為零;
-- 開關兩端的電壓有外部電路決定;
-- 開關兩端承受的電壓容量無限。
(B):動態要求:
K 的開通
-- 控製開通的信號功率為零;
-- 開通過程的時間為零。
K 的關斷
-- 控製關斷的信號功率為零;
-- 關斷過程的時間為零。
(3):波形

其中:H:控製高電平;L:控製低電平
-- Ion 可正可負,其值有外部電路定;
-- Voff 可正可負,其值有外部電路定。
用電子開關實現理想開關的限製
(1):電子開關的電壓和電流方向有限製:
(2):電子開關的穩態開關特性有限製:
-- 導通時有電壓降;(正向壓降,通態電阻等)
-- 截止時有漏電流;
-- 最大的通態電流有限製;
-- 最大的阻斷電壓有限製;
-- 控製信號有功率要求,等等。
(3):電子開關的動態開關特性有限製:
-- 開通有一個過程,其長短與控製信號及器件內部結構有關;
-- 關斷有一個過程,其長短與控製信號及器件內部結構有關;
-- 最高開關頻率有限製。
目前作為開關的電子器件非常多。在開關電源中,用得最多的是二極管、MOSFET、IGBT 等,以及它們的組合。
電子開關的四種結構
(1):單象限開關

(2):電流雙向(雙象限)開關

(3):電壓雙向(雙象限)開關

(4):四單象限開關

開關器件的分類
(1):按製作材料分類:
-- (Si)功率器件;
-- (Ga)功率器件;
-- (GaAs)功率器件;
-- (SiC)功率器件;
-- (GaN)功率器件;--- 下一代
-- (Diamond)功率器件;--- 再下一代
(2):按是否可控分類:
-- 完全不控器件:如二極管器件;
-- 可控製開通,但不能控製關斷:如普通可控矽器件;
-- 全控開關器件
-- 電壓型控製器件:如MOSFET,IGBT,IGT/COMFET ,SIT 等;
-- 電流型控製期間:如GTR,GTO 等
(3):按工作頻率分類:
-- 低頻功率器件:如可控矽,普通二極管等;
-- 中頻功率器件:如GTR,IGBT,IGT/COMFET;
-- 高頻功率器件:如MOSFET,快恢複二極管,蕭特基二極管,SIT 等
(4):按額定可實現的最大容量分類:
-- 小功率器件:如MOSFET
-- 中功率器件:如IGBT
-- 大功率器件:如GTO
(5):按導電載波的粒子分類:
-- 多子器件:如MOSFET,蕭特基,SIT,JFET 等
-- 少子器件:如IGBT,GTR,GTO,快恢複,等
不同開關器件的比較
(1):幾種可關斷器件的功率處理能力比較

(2):幾種可關斷器件的工作特性比較

上麵的數據會隨器件的發展而不斷變化,僅供參考。
推薦閱讀:
特別推薦
- 噪聲中提取真值!瑞盟科技推出MSA2240電流檢測芯片賦能多元高端測量場景
- 10MHz高頻運行!氮矽科技發布集成驅動GaN芯片,助力電源能效再攀新高
- 失真度僅0.002%!力芯微推出超低內阻、超低失真4PST模擬開關
- 一“芯”雙電!聖邦微電子發布雙輸出電源芯片,簡化AFE與音頻設計
- 一機適配萬端:金升陽推出1200W可編程電源,賦能高端裝備製造
技術文章更多>>
- 築基AI4S:摩爾線程全功能GPU加速中國生命科學自主生態
- 一秒檢測,成本降至萬分之一,光引科技把幾十萬的台式光譜儀“搬”到了手腕上
- AI服務器電源機櫃Power Rack HVDC MW級測試方案
- 突破工藝邊界,奎芯科技LPDDR5X IP矽驗證通過,速率達9600Mbps
- 通過直接、準確、自動測量超低範圍的氯殘留來推動反滲透膜保護
技術白皮書下載更多>>
- 車規與基於V2X的車輛協同主動避撞技術展望
- 數字隔離助力新能源汽車安全隔離的新挑戰
- 汽車模塊拋負載的解決方案
- 車用連接器的安全創新應用
- Melexis Actuators Business Unit
- Position / Current Sensors - Triaxis Hall
熱門搜索
微波功率管
微波開關
微波連接器
微波器件
微波三極管
微波振蕩器
微電機
微調電容
微動開關
微蜂窩
位置傳感器
溫度保險絲
溫度傳感器
溫控開關
溫控可控矽
聞泰
穩壓電源
穩壓二極管
穩壓管
無焊端子
無線充電
無線監控
無源濾波器
五金工具
物聯網
顯示模塊
顯微鏡結構
線圈
線繞電位器
線繞電阻



